Skip to contents

Solving initial value problems for systems of first-order ordinary differential equations (ODEs) using Euler's method or the classical Runge-Kutta 4th order integration.

Usage

euler(y, times, func, parms, verbose = FALSE, ynames = TRUE,
  dllname = NULL, initfunc = dllname, initpar = parms,
  rpar = NULL, ipar = NULL, nout = 0, outnames = NULL,
  forcings = NULL, initforc = NULL, fcontrol = NULL, ...)

rk4(y, times, func, parms, verbose = FALSE, ynames = TRUE,
  dllname = NULL, initfunc = dllname, initpar = parms,
  rpar = NULL, ipar = NULL, nout = 0, outnames = NULL,
  forcings = NULL, initforc = NULL, fcontrol = NULL, ...)

euler.1D(y, times, func, parms, nspec = NULL, dimens = NULL,
  names = NULL, verbose = FALSE, ynames = TRUE,
  dllname = NULL, initfunc = dllname, initpar = parms,
  rpar = NULL,  ipar = NULL, nout = 0, outnames = NULL,
  forcings = NULL, initforc = NULL, fcontrol = NULL, ...)

Arguments

y

the initial (state) values for the ODE system. If y has a name attribute, the names will be used to label the output matrix.

times

times at which explicit estimates for y are desired. The first value in times must be the initial time.

func

either an R-function that computes the values of the derivatives in the ODE system (the model definition) at time t, or a character string giving the name of a compiled function in a dynamically loaded shared library.

If func is an R-function, it must be defined as: func <- function(t, y, parms,...). t is the current time point in the integration, y is the current estimate of the variables in the ODE system. If the initial values y has a names attribute, the names will be available inside func. parms is a vector or list of parameters; ... (optional) are any other arguments passed to the function.

The return value of func should be a list, whose first element is a vector containing the derivatives of y with respect to time, and whose next elements are global values that are required at each point in times. The derivatives must be specified in the same order as the state variables y.

If func is a string, then dllname must give the name of the shared library (without extension) which must be loaded before rk4 is called. See package vignette "compiledCode" for more details.

parms

vector or list of parameters used in func.

nspec

for 1D models only: the number of species (components) in the model. If NULL, then dimens should be specified.

dimens

for 1D models only: the number of boxes in the model. If NULL, then nspec should be specified.

names

for 1D models only: the names of the components; used for plotting.

verbose

a logical value that, when TRUE, triggers more verbose output from the ODE solver.

ynames

if FALSE: names of state variables are not passed to function func ; this may speed up the simulation especially for large models.

dllname

a string giving the name of the shared library (without extension) that contains all the compiled function or subroutine definitions refered to in func. See package vignette "compiledCode".

initfunc

if not NULL, the name of the initialisation function (which initialises values of parameters), as provided in dllname. See package vignette "compiledCode",

initpar

only when dllname is specified and an initialisation function initfunc is in the DLL: the parameters passed to the initialiser, to initialise the common blocks (FORTRAN) or global variables (C, C++).

rpar

only when dllname is specified: a vector with double precision values passed to the DLL-functions whose names are specified by func and jacfunc.

ipar

only when dllname is specified: a vector with integer values passed to the dll-functions whose names are specified by func and jacfunc.

nout

only used if dllname is specified and the model is defined in compiled code: the number of output variables calculated in the compiled function func, present in the shared library. Note: it is not automatically checked whether this is indeed the number of output variables calculated in the DLL - you have to perform this check in the code. See package vignette "compiledCode".

outnames

only used if dllname is specified and nout > 0: the names of output variables calculated in the compiled function func, present in the shared library.

forcings

only used if dllname is specified: a list with the forcing function data sets, each present as a two-columned matrix, with (time, value); interpolation outside the interval [min(times), max(times)] is done by taking the value at the closest data extreme.

See forcings or package vignette "compiledCode".

initforc

if not NULL, the name of the forcing function initialisation function, as provided in dllname. It MUST be present if forcings has been given a value. See forcings or package vignette "compiledCode".

fcontrol

A list of control parameters for the forcing functions. See forcings or vignette compiledCode.

...

additional arguments passed to func allowing this to be a generic function.

Author

Thomas Petzoldt thomas.petzoldt@tu-dresden.de

Details

rk4 and euler are special versions of the two fixed step solvers with less overhead and less functionality (e.g. no interpolation and no events) compared to the generic Runge-Kutta codes called by ode resp. rk.

If you need different internal and external time steps or want to use events, please use: rk(y, times, func, parms, method = "rk4") or rk(y, times, func, parms, method = "euler").

See help pages of rk and rkMethod for details.

Function euler.1D essentially calls function euler but contains additional code to support plotting of 1D models, see ode.1D and plot.1D for details.

Note

For most practical cases, solvers with flexible timestep (e.g. rk(method = "ode45") and especially solvers of the Livermore family (ODEPACK, e.g. lsoda) are superior.

Value

A matrix of class deSolve with up to as many rows as elements in times and as many columns as elements in y plus the number of "global" values returned in the next elements of the return from func, plus and additional column for the time value. There will be a row for each element in times unless the integration routine returns with an unrecoverable error. If y has a names attribute, it will be used to label the columns of the output value.

See also

  • rkMethod for a list of available Runge-Kutta parameter sets,

  • rk for the more general Runge-Code,

  • lsoda, lsode, lsodes, lsodar, vode, daspk for solvers of the Livermore family,

  • ode for a general interface to most of the ODE solvers,

  • ode.band for solving models with a banded Jacobian,

  • ode.1D for integrating 1-D models,

  • ode.2D for integrating 2-D models,

  • ode.3D for integrating 3-D models,

  • dede for integrating models with delay differential equations,

diagnostics to print diagnostic messages.

Examples

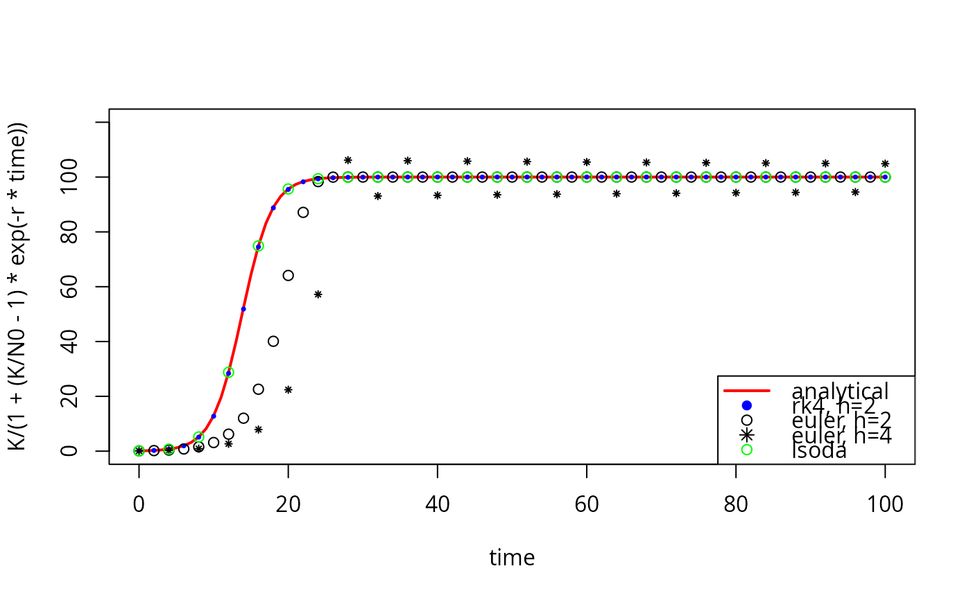
## =======================================================================
## Example: Analytical and numerical solutions of logistic growth
## =======================================================================

## the derivative of the logistic
logist <- function(t, x, parms) {
  with(as.list(parms), {
    dx <- r * x[1] * (1 - x[1]/K)
    list(dx)
  })
}

time  <- 0:100
N0    <- 0.1; r <- 0.5; K <- 100
parms <- c(r = r, K = K)
x <- c(N = N0)

## analytical solution
plot(time, K/(1 + (K/N0-1) * exp(-r*time)), ylim = c(0, 120),
  type = "l", col = "red", lwd = 2)

## reasonable numerical solution with rk4
time <- seq(0, 100, 2)
out <- as.data.frame(rk4(x, time, logist, parms))
points(out$time, out$N, pch = 16, col = "blue", cex = 0.5)

## same time step with euler, systematic under-estimation
time <- seq(0, 100, 2)
out <- as.data.frame(euler(x, time, logist, parms))
points(out$time, out$N, pch = 1)

## unstable result
time <- seq(0, 100, 4)
out <- as.data.frame(euler(x, time, logist, parms))
points(out$time, out$N, pch = 8, cex = 0.5)

## method with automatic time step
out <- as.data.frame(lsoda(x, time, logist, parms))
points(out$time, out$N, pch = 1, col = "green")

legend("bottomright",
  c("analytical","rk4, h=2", "euler, h=2",
    "euler, h=4", "lsoda"),
  lty = c(1, NA, NA, NA, NA), lwd = c(2, 1, 1, 1, 1),
  pch = c(NA, 16, 1, 8, 1),
  col = c("red", "blue", "black", "black", "green"))