Skip to contents

Solves a system of ordinary differential equations resulting from 2-Dimensional partial differential equations that have been converted to ODEs by numerical differencing.

Usage

ode.2D(y, times, func, parms, nspec = NULL, dimens,
  method= c("lsodes", "euler", "rk4", "ode23", "ode45", "adams", "iteration"),
  names = NULL, cyclicBnd = NULL, ...)

Arguments

y

the initial (state) values for the ODE system, a vector. If y has a name attribute, the names will be used to label the output matrix.

times

time sequence for which output is wanted; the first value of times must be the initial time.

func

either an R-function that computes the values of the derivatives in the ODE system (the model definition) at time t, or a character string giving the name of a compiled function in a dynamically loaded shared library.

If func is an R-function, it must be defined as: func <- function(t, y, parms, ...). t is the current time point in the integration, y is the current estimate of the variables in the ODE system. If the initial values y has a names attribute, the names will be available inside func. parms is a vector or list of parameters; ... (optional) are any other arguments passed to the function.

The return value of func should be a list, whose first element is a vector containing the derivatives of y with respect to time, and whose next elements are global values that are required at each point in times. The derivatives must be specified in the same order as the state variables y.

parms

parameters passed to func.

nspec

the number of species (components) in the model.

dimens

2-valued vector with the number of boxes in two dimensions in the model.

cyclicBnd

if not NULL then a number or a 2-valued vector with the dimensions where a cyclic boundary is used - 1: x-dimension, 2: y-dimension; see details.

names

the names of the components; used for plotting.

method

the integrator. Use "lsodes" if the model is very stiff; "impAdams" may be best suited for mildly stiff problems; "euler", "rk4", "ode23", "ode45", "adams" are most efficient for non-stiff problems. Also allowed is to pass an integrator function. Use one of the other Runge-Kutta methods via rkMethod. For instance, method = rkMethod("ode45ck") will trigger the Cash-Karp method of order 4(5).

If "lsodes" is used, then also the size of the work array should be specified (lrw) (see lsodes).

Method "iteration" is special in that here the function func should return the new value of the state variables rather than the rate of change. This can be used for individual based models, for difference equations, or in those cases where the integration is performed within func)

...

additional arguments passed to lsodes.

Value

A matrix of class deSolve with up to as many rows as elements in times and as many columns as elements in y plus the number of "global" values returned in the second element of the return from func, plus an additional column (the first) for the time value. There will be one row for each element in times unless the integrator returns with an unrecoverable error. If y has a names attribute, it will be used to label the columns of the output value.

The output will have the attributes istate, and rstate, two vectors with several useful elements. The first element of istate returns the conditions under which the last call to the integrator returned. Normal is istate = 2. If verbose = TRUE, the settings of istate and rstate will be written to the screen. See the help for the selected integrator for details.

Note

It is advisable though not mandatory to specify both nspec and dimens. In this case, the solver can check whether the input makes sense (as nspec * dimens[1] * dimens[2] == length(y)).

Do not use this method for problems that are not 2D!

Author

Karline Soetaert <karline.soetaert@nioz.nl>

Details

This is the method of choice for 2-dimensional models, that are only subjected to transport between adjacent layers.

Based on the dimension of the problem, and if lsodes is used as the integrator, the method first calculates the sparsity pattern of the Jacobian, under the assumption that transport is only occurring between adjacent layers. Then lsodes is called to solve the problem.

If the model is not stiff, then it is more efficient to use one of the explicit integration routines

In some cases, a cyclic boundary condition exists. This is when the first boxes in x-or y-direction interact with the last boxes. In this case, there will be extra non-zero fringes in the Jacobian which need to be taken into account. The occurrence of cyclic boundaries can be toggled on by specifying argument cyclicBnd. For innstance, cyclicBnd = 1 indicates that a cyclic boundary is required only for the x-direction, whereas cyclicBnd = c(1,2) imposes a cyclic boundary for both x- and y-direction. The default is no cyclic boundaries.

If lsodes is used to integrate, it will probably be necessary to specify the length of the real work array, lrw.

Although a reasonable guess of lrw is made, it is likely that this will be too low. In this case, ode.2D will return with an error message telling the size of the work array actually needed. In the second try then, set lrw equal to this number.

For instance, if you get the error:


DLSODES- RWORK length is insufficient to proceed.
  Length needed is .ge. LENRW (=I1), exceeds LRW (=I2)
  In above message,  I1 =     27627   I2 =     25932

set lrw equal to 27627 or a higher value.

See lsodes for the additional options.

See also

  • ode for a general interface to most of the ODE solvers,

  • ode.band for integrating models with a banded Jacobian

  • ode.1D for integrating 1-D models

  • ode.3D for integrating 3-D models

  • lsodes for the integration options.

diagnostics to print diagnostic messages.

Examples

## =======================================================================
## A Lotka-Volterra predator-prey model with predator and prey
## dispersing in 2 dimensions
## =======================================================================

## ==================
## Model definitions
## ==================

lvmod2D <- function (time, state, pars, N, Da, dx) {
  NN <- N*N
  Prey <- matrix(nrow = N, ncol = N,state[1:NN])
  Pred <- matrix(nrow = N, ncol = N,state[(NN+1):(2*NN)])

  with (as.list(pars), {
    ## Biology
    dPrey <- rGrow * Prey * (1- Prey/K) - rIng  * Prey * Pred
    dPred <- rIng  * Prey * Pred*assEff - rMort * Pred

    zero <- rep(0, N)

    ## 1. Fluxes in x-direction; zero fluxes near boundaries
    FluxPrey <- -Da * rbind(zero,(Prey[2:N,] - Prey[1:(N-1),]), zero)/dx
    FluxPred <- -Da * rbind(zero,(Pred[2:N,] - Pred[1:(N-1),]), zero)/dx

    ## Add flux gradient to rate of change
    dPrey    <- dPrey - (FluxPrey[2:(N+1),] - FluxPrey[1:N,])/dx
    dPred    <- dPred - (FluxPred[2:(N+1),] - FluxPred[1:N,])/dx

    ## 2. Fluxes in y-direction; zero fluxes near boundaries
    FluxPrey <- -Da * cbind(zero,(Prey[,2:N] - Prey[,1:(N-1)]), zero)/dx
    FluxPred <- -Da * cbind(zero,(Pred[,2:N] - Pred[,1:(N-1)]), zero)/dx

    ## Add flux gradient to rate of change
    dPrey    <- dPrey - (FluxPrey[,2:(N+1)] - FluxPrey[,1:N])/dx
    dPred    <- dPred - (FluxPred[,2:(N+1)] - FluxPred[,1:N])/dx

    return(list(c(as.vector(dPrey), as.vector(dPred))))
 })
}


## ===================
## Model applications
## ===================

pars    <- c(rIng   = 0.2,    # /day, rate of ingestion
             rGrow  = 1.0,    # /day, growth rate of prey
             rMort  = 0.2 ,   # /day, mortality rate of predator
             assEff = 0.5,    # -, assimilation efficiency
             K      = 5  )    # mmol/m3, carrying capacity

R  <- 20                      # total length of surface, m
N  <- 50                      # number of boxes in one direction
dx <- R/N                     # thickness of each layer
Da <- 0.05                    # m2/d, dispersion coefficient

NN <- N*N                     # total number of boxes

## initial conditions
yini    <- rep(0, 2*N*N)
cc      <- c((NN/2):(NN/2+1)+N/2, (NN/2):(NN/2+1)-N/2)
yini[cc] <- yini[NN+cc] <- 1

## solve model (5000 state variables...  use Cash-Karp Runge-Kutta method
times   <- seq(0, 50, by = 1)
out <- ode.2D(y = yini, times = times, func = lvmod2D, parms = pars,
              dimens = c(N, N), names = c("Prey", "Pred"),
              N = N, dx = dx, Da = Da, method = rkMethod("rk45ck"))

diagnostics(out)
#> 
#> --------------------
#> rk return code
#> --------------------
#> 
#>   return code (idid) =  0 
#>   Integration was successful.
#> 
#> --------------------
#> INTEGER values
#> --------------------
#> 
#>   1 The return code : 0 
#>   2 The number of steps taken for the problem so far: 74 
#>   3 The number of function evaluations for the problem so far: 446 
#>  13 The number of error test failures of the integrator so far: 1 
#>  18 The order (or maximum order) of the method: 4 
#>  
summary(out)
#>                  Prey          Pred
#> Min.    -1.097020e-17 -1.601771e-19
#> 1st Qu.  2.454901e-05  1.524433e-12
#> Median   3.047291e+00  2.014444e-05
#> Mean     2.626324e+00  3.896581e-01
#> 3rd Qu.  4.936181e+00  8.264158e-02
#> Max.     4.999996e+00  3.119243e+00
#> N        1.275000e+05  1.275000e+05
#> sd       2.188556e+00  8.801305e-01

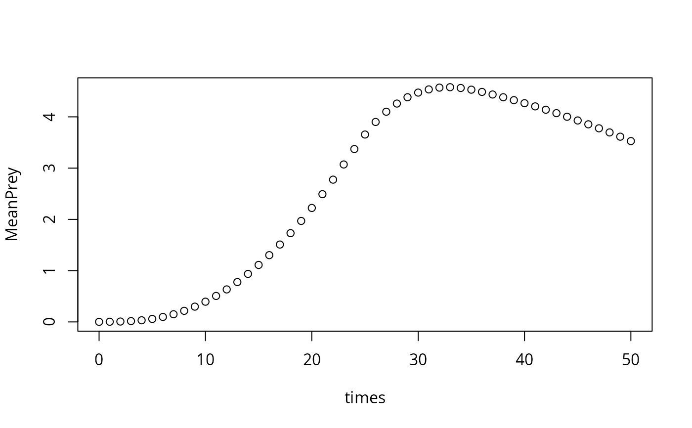
# Mean of prey concentration at each time step
Prey <- subset(out, select = "Prey", arr = TRUE)
dim(Prey)
#> [1] 50 50 51
MeanPrey <- apply(Prey, MARGIN = 3, FUN = mean)
plot(times, MeanPrey)


if (FALSE) { # \dontrun{
## plot results
Col <- colorRampPalette(c("#00007F", "blue", "#007FFF", "cyan",
                          "#7FFF7F", "yellow", "#FF7F00", "red", "#7F0000"))

for (i in seq(1, length(times), by = 1))
   image(Prey[ , ,i],
   col = Col(100), xlab = , zlim = range(out[,2:(NN+1)]))

## similar, plotting both and adding a margin text with times:
image(out, xlab = "x", ylab = "y", mtext = paste("time = ", times))
} # }

select <- c(1, 40)
image(out, xlab = "x", ylab = "y", mtext = "Lotka-Volterra in 2-D",
      subset = select, mfrow = c(2,2), legend =  TRUE)



# plot prey and pred at t = 10; first use subset to select data
prey10 <-  matrix (nrow = N, ncol = N, 
     data = subset(out, select = "Prey", subset = (time == 10)))
pred10 <-  matrix (nrow = N, ncol = N, 
     data = subset(out, select = "Pred", subset = (time == 10)))

mf <- par(mfrow = c(1, 2))
image(prey10)
image(pred10)

par (mfrow = mf)

# same, using deSolve's image:
image(out, subset = (time == 10))


## =======================================================================
## An example with a cyclic boundary condition.
## Diffusion in 2-D; extra flux on 2 boundaries,
## cyclic boundary in y
## =======================================================================


diffusion2D <- function(t, Y, par) {
  y    <- matrix(nrow = nx, ncol = ny, data = Y)  # vector to 2-D matrix
  dY   <- -r * y       # consumption
  BNDx <- rep(1, nx)   # boundary concentration
  BNDy <- rep(1, ny)   # boundary concentration

  ## diffusion in X-direction; boundaries=imposed concentration
  Flux <- -Dx * rbind(y[1,] - BNDy, (y[2:nx,] - y[1:(nx-1),]), BNDy - y[nx,])/dx
  dY   <- dY - (Flux[2:(nx+1),] - Flux[1:nx,])/dx

  ## diffusion in Y-direction
  Flux <- -Dy * cbind(y[,1] - BNDx, (y[,2:ny]-y[,1:(ny-1)]), BNDx - y[,ny])/dy
  dY   <- dY - (Flux[,2:(ny+1)] - Flux[,1:ny])/dy

  ## extra flux on two sides
  dY[,1] <- dY[,1] + 10
  dY[1,] <- dY[1,] + 10

  ## and exchange between sides on y-direction
  dY[,ny] <- dY[,ny] + (y[,1] - y[,ny]) * 10
  return(list(as.vector(dY)))
}

## parameters
dy <- dx <- 1  # grid size
Dy <- Dx <- 1  # diffusion coeff, X- and Y-direction
r  <- 0.05     # consumption rate

nx <- 50
ny <- 100
y  <- matrix(nrow = nx, ncol = ny, 1)

## model most efficiently solved with lsodes - need to specify lrw

print(system.time(
  ST3 <- ode.2D(y, times = 1:100, func = diffusion2D, parms = NULL,
                dimens = c(nx, ny), verbose = TRUE, names = "Y",
                lrw = 400000, atol = 1e-10, rtol = 1e-10, cyclicBnd = 2)
))
#> 
#> -------------------- 
#> Time settings 
#> --------------------
#>  
#>   Normal computation of output values of y(t) at t = TOUT 
#> 
#> -------------------- 
#> Integration settings 
#> --------------------
#>  
#>   Model function an R-function:  
#>   Jacobian not specified 
#> 
#> 
#> -------------------- 
#> Integration method 
#> --------------------
#>  
#>   The nonzero elements are according to a 2-D model,
#>         the Jacobian will be estimated internally, by differences 
#> 
#> --------------------
#> lsodes return code
#> --------------------
#> 
#>   return code (idid) =  2 
#>   Integration was successful.
#> 
#> --------------------
#> INTEGER values
#> --------------------
#> 
#>   1 The return code : 2 
#>   2 The number of steps taken for the problem so far: 529 
#>   3 The number of function evaluations for the problem so far: 664 
#>   5 The method order last used (successfully): 5 
#>   6 The order of the method to be attempted on the next step: 5 
#>   7 If return flag =-4,-5: the largest component in error vector 0 
#>   8 The length of the real work array actually required: 376027 
#>   9 The length of the integer work array actually required: 29831 
#>  14 The number of Jacobian evaluations and LU decompositions so far: 11 
#>  17 The number of nonzero elements in the sparse Jacobian: 24800 
#>  
#> --------------------
#> RSTATE values
#> --------------------
#> 
#>   1 The step size in t last used (successfully): 1 
#>   2 The step size to be attempted on the next step: 1 
#>   3 The current value of the independent variable which the solver has reached: 100.786 
#>   4 Tolerance scale factor > 1.0 computed when requesting too much accuracy: 0 
#>  
#>    user  system elapsed 
#>   0.745   0.002   0.747 

# summary of 2-D variable
summary(ST3)
#>                    Y
#> Min.    2.667149e-02
#> 1st Qu. 2.627932e-01
#> Median  6.615007e-01
#> Mean    1.636228e+00
#> 3rd Qu. 1.887133e+00
#> Max.    1.031178e+01
#> N       5.000000e+05
#> sd      2.216479e+00

# plot output at t = 10
t10 <-  matrix (nrow = nx, ncol = ny, 
     data = subset(ST3, select = "Y", subset = (time == 10)))

persp(t10, theta = 30, border = NA, phi = 70, 
     col = "lightblue", shade = 0.5, box = FALSE)

# image plot, using deSolve's image function
image(ST3, subset = time == 10, method = "persp",
      theta = 30, border = NA, phi = 70, main = "", 
      col = "lightblue", shade = 0.5, box = FALSE)



if (FALSE) { # \dontrun{
zlim <- range(ST3[, -1])
for (i in 2:nrow(ST3)) {
  y <- matrix(nrow = nx, ncol = ny, data = ST3[i, -1])
  filled.contour(y, zlim = zlim, main = i)
}

# same
image(ST3, method = "filled.contour")
} # }