Tweedie family in which the mean, scale and power parameters can all depend on smooth linear predictors. Restricted to estimation via the extended Fellner Schall method of Wood and Fasiolo (2017). Only usable with gam. Tweedie distributions are exponential family with variance given by \(\phi \mu^p\) where \(\phi\) is a scale parameter, \(p\) a parameter (here between 1 and 2) and \(\mu\) is the mean.

twlss(link=list("log","identity","identity"),a=1.01,b=1.99)

Arguments

The link function list: currently no choise.

a

lower limit on the power parameter relating variance to mean.

b

upper limit on power parameter.

Value

An object inheriting from class general.family.

Details

The first linear predictor defines the mean parameter \(\mu\) (default link log). The Tweedie variance is given by \(\phi\mu^p\). The second linear predictor defines the log scale parameter \(\rho=\log(\phi)\) (no link choice). The third linear predictor, \(\theta\), defines \(p = \{a + b\exp(\theta)\}/\{1+\exp(\theta)\}\) (again with no choice of link).

A Tweedie random variable with 1<p<2 is a sum of N gamma random variables where N has a Poisson distribution. The p=1 case is a generalization of a Poisson distribution and is a discrete distribution supported on integer multiples of the scale parameter. For 1<p<2 the distribution is supported on the positive reals with a point mass at zero. p=2 is a gamma distribution. As p gets very close to 1 the continuous distribution begins to converge on the discretely supported limit at p=1, and is therefore highly multimodal. See ldTweedie for more on this behaviour.

The Tweedie density involves a normalizing constant with no closed form, so this is evaluated using the series evaluation method of Dunn and Smyth (2005), with extensions to also compute the derivatives w.r.t. p and the scale parameter. Without restricting p to (1,2) the calculation of Tweedie densities is more difficult, and there does not currently seem to be an implementation which offers any benefit over quasi. If you need this case then the tweedie package is the place to start.

Author

Simon N. Wood simon.wood@r-project.org.

References

Dunn, P.K. and G.K. Smyth (2005) Series evaluation of Tweedie exponential dispersion model densities. Statistics and Computing 15:267-280

Tweedie, M. C. K. (1984). An index which distinguishes between some important exponential families. Statistics: Applications and New Directions. Proceedings of the Indian Statistical Institute Golden Jubilee International Conference (Eds. J. K. Ghosh and J. Roy), pp. 579-604. Calcutta: Indian Statistical Institute.

Wood, S.N. and Fasiolo, M., (2017). A generalized Fellner-Schall method for smoothing parameter optimization with application to Tweedie location, scale and shape models. Biometrics, 73(4), pp.1071-1081. doi:10.1111/biom.12666

Wood, S.N., N. Pya and B. Saefken (2016). Smoothing parameter and model selection for general smooth models. Journal of the American Statistical Association 111, 1548-1575 doi:10.1080/01621459.2016.1180986

Examples

library(mgcv)
set.seed(3)
n<-400
## Simulate data...
dat <- gamSim(1,n=n,dist="poisson",scale=.2)
#> Gu & Wahba 4 term additive model
dat$y <- rTweedie(exp(dat$f),p=1.3,phi=.5) ## Tweedie response

## Fit a fixed p Tweedie ...
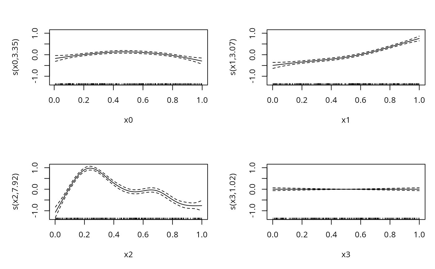
b <- gam(list(y~s(x0)+s(x1)+s(x2)+s(x3),~1,~1),family=twlss(),
         data=dat)
plot(b,pages=1)

print(b)
#> 
#> Family: twlss 
#> Link function: log identity identity 
#> 
#> Formula:
#> y ~ s(x0) + s(x1) + s(x2) + s(x3)
#> <environment: 0x5efdee680420>
#> ~1
#> <environment: 0x5efdee680420>
#> ~1
#> <environment: 0x5efdee680420>
#> 
#> Estimated degrees of freedom:
#> 3.35 3.07 7.92 1.02  total = 18.36 
#> 
#> REML score: 848.503     

eb <- exp(coef(b));nb <- length(eb)
eb[nb-1] ## scale
#> (Intercept).1 
#>     0.6319804 
(1+2*eb[nb])/(1+eb[nb]) ## p
#> (Intercept).2 
#>      1.281327 

rm(dat)