Function used in definition of smooth terms within gam model formulae. The function does not evaluate a (spline) smooth - it exists purely to help set up a model using spline based smooths.

s(..., k=-1,fx=FALSE,bs="tp",m=NA,by=NA,xt=NULL,id=NULL,sp=NULL,pc=NULL)

Arguments

...

a list of variables that are the covariates that this smooth is a function of. Transformations whose form depends on the values of the data are best avoided here: e.g. s(log(x)) is fine, but s(I(x/sd(x))) is not (see predict.gam).

k

the dimension of the basis used to represent the smooth term. The default depends on the number of variables that the smooth is a function of. k should not be less than the dimension of the null space of the penalty for the term (see null.space.dimension), but will be reset if it is. See choose.k for further information.

fx

indicates whether the term is a fixed d.f. regression spline (TRUE) or a penalized regression spline (FALSE).

bs

a two letter character string indicating the (penalized) smoothing basis to use. (eg "tp" for thin plate regression spline, "cr" for cubic regression spline). see smooth.terms for an over view of what is available.

m

The order of the penalty for this term (e.g. 2 for normal cubic spline penalty with 2nd derivatives when using default t.p.r.s basis). NA signals autoinitialization. Only some smooth classes use this. The "ps" class can use a 2 item array giving the basis and penalty order separately.

by

a numeric or factor variable of the same dimension as each covariate. In the numeric vector case the elements multiply the smooth, evaluated at the corresponding covariate values (a `varying coefficient model' results). For the numeric by variable case the resulting smooth is not usually subject to a centering constraint (so the by variable should not be added as an additional main effect). In the factor by variable case a replicate of the smooth is produced for each factor level (these smooths will be centered, so the factor usually needs to be added as a main effect as well). See gam.models for further details. A by variable may also be a matrix if covariates are matrices: in this case implements linear functional of a smooth (see gam.models and linear.functional.terms for details).

xt

Any extra information required to set up a particular basis. Used e.g. to set large data set handling behaviour for "tp" basis. If xt$sumConv exists and is FALSE then the summation convention for matrix arguments is turned off.

id

A label or integer identifying this term in order to link its smoothing parameters to others of the same type. If two or more terms have the same id then they will have the same smoothing paramsters, and, by default, the same bases (first occurance defines basis type, but data from all terms used in basis construction). An id with a factor by variable causes the smooths at each factor level to have the same smoothing parameter.

sp

any supplied smoothing parameters for this term. Must be an array of the same length as the number of penalties for this smooth. Positive or zero elements are taken as fixed smoothing parameters. Negative elements signal auto-initialization. Over-rides values supplied in sp argument to gam. Ignored by gamm.

pc

If not NULL, signals a point constraint: the smooth should pass through zero at the point given here (as a vector or list with names corresponding to the smooth names). Never ignored if supplied as a number. See identifiability. Can also be supplied as a list of lists to specify general linear constraints as described in scasm - ignored by other modelling routines.

Details

The function does not evaluate the variable arguments. To use this function to specify use of your own smooths, note the relationships between the inputs and the output object and see the example in smooth.construct.

Value

A class xx.smooth.spec object, where xx is a basis identifying code given by the bs argument of s. These smooth.spec objects define smooths and are turned into bases and penalties by smooth.construct method functions.

The returned object contains the following items:

term

An array of text strings giving the names of the covariates that the term is a function of.

bs.dim

The dimension of the basis used to represent the smooth.

fixed

TRUE if the term is to be treated as a pure regression spline (with fixed degrees of freedom); FALSE if it is to be treated as a penalized regression spline

dim

The dimension of the smoother - i.e. the number of covariates that it is a function of.

p.order

The order of the t.p.r.s. penalty, or 0 for auto-selection of the penalty order.

by

is the name of any by variable as text ("NA" for none).

label

A suitable text label for this smooth term.

xt

The object passed in as argument xt.

id

An identifying label or number for the smooth, linking it to other smooths. Defaults to NULL for no linkage.

sp

array of smoothing parameters for the term (negative for auto-estimation). Defaults to NULL.

Author

Simon N. Wood simon.wood@r-project.org

References

Wood, S.N. (2003) Thin plate regression splines. J.R.Statist.Soc.B 65(1):95-114

Wood S.N. (2017) Generalized Additive Models: An Introduction with R (2nd edition). Chapman and Hall/CRC Press.

See also

Examples

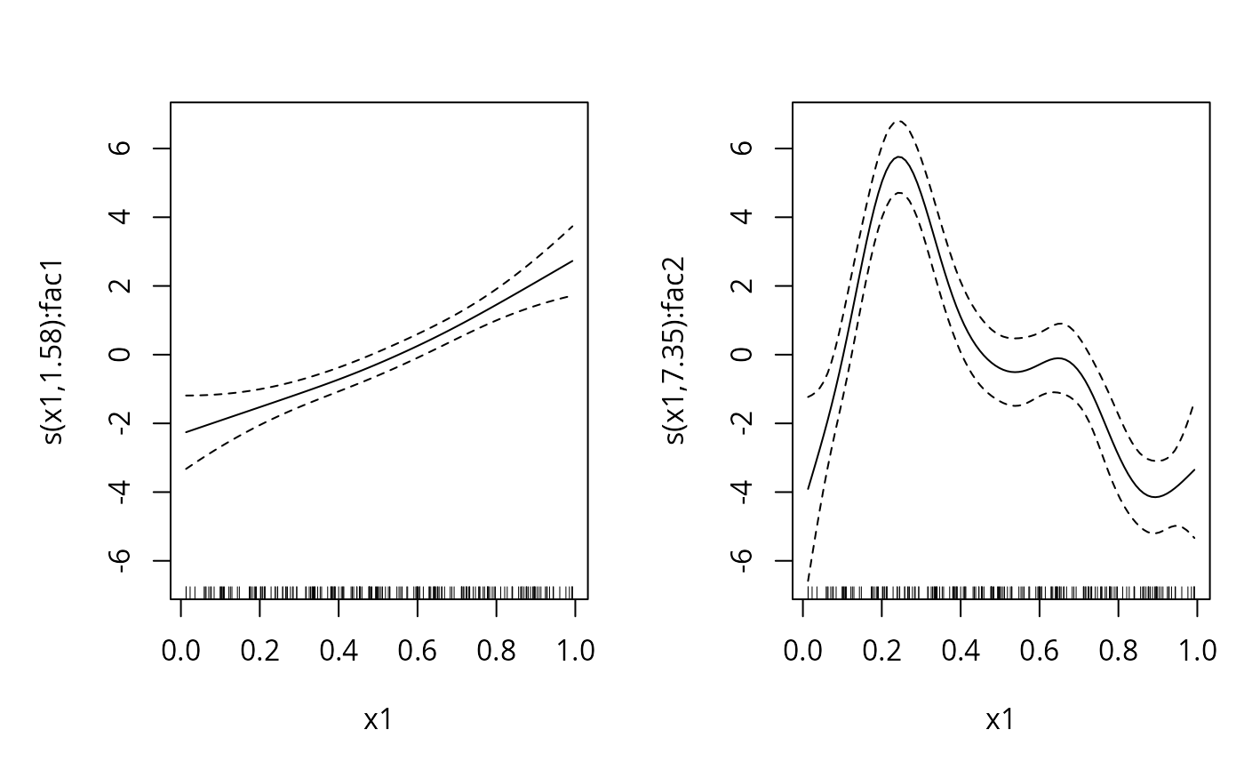
# example utilising `by' variables
library(mgcv)
set.seed(0)
n<-200;sig2<-4
x1 <- runif(n, 0, 1);x2 <- runif(n, 0, 1);x3 <- runif(n, 0, 1)
fac<-c(rep(1,n/2),rep(2,n/2)) # create factor
fac.1<-rep(0,n)+(fac==1);fac.2<-1-fac.1 # and dummy variables
fac<-as.factor(fac)
f1 <-  exp(2 * x1) - 3.75887
f2 <-  0.2 * x1^11 * (10 * (1 - x1))^6 + 10 * (10 * x1)^3 * (1 - x1)^10
f<-f1*fac.1+f2*fac.2+x2
e <- rnorm(n, 0, sqrt(abs(sig2)))
y <- f + e
# NOTE: smooths will be centered, so need to include fac in model....
b<-gam(y~fac+s(x1,by=fac)+x2) 
plot(b,pages=1)