Fits a generalized additive model (GAM) to data, the term `GAM' being taken to include any quadratically penalized GLM and a variety of other models estimated by a quadratically penalised likelihood type approach (see family.mgcv). The degree of smoothness of model terms is estimated as part of fitting. gam can also fit any GLM subject to multiple quadratic penalties (including estimation of degree of penalization). Confidence/credible intervals are readily available for any quantity predicted using a fitted model.

Smooth terms are represented using penalized regression splines (or similar smoothers) with smoothing parameters selected by GCV/UBRE/AIC/REML/NCV or by regression splines with fixed degrees of freedom (mixtures of the two are permitted). Multi-dimensional smooths are available using penalized thin plate regression splines (isotropic) or tensor product splines (when an isotropic smooth is inappropriate), and users can add smooths. Linear functionals of smooths can also be included in models. For an overview of the smooths available see smooth.terms. For more on specifying models see gam.models, random.effects and linear.functional.terms. For more on model selection see gam.selection. Do read gam.check and choose.k.

See package gam, for GAMs via the original Hastie and Tibshirani approach (see details for differences to this implementation).

For very large datasets see bam, for mixed GAM see gamm and random.effects.

gam(formula,family=gaussian(),data=list(),weights=NULL,subset=NULL,
    na.action,offset=NULL,method="GCV.Cp",
    optimizer=c("outer","newton"),control=list(),scale=0,
    select=FALSE,knots=NULL,sp=NULL,min.sp=NULL,H=NULL,gamma=1,
    fit=TRUE,paraPen=NULL,G=NULL,in.out,drop.unused.levels=TRUE,
    drop.intercept=NULL,nei=NULL,discrete=FALSE,...)

Arguments

formula

A GAM formula, or a list of formulae (see formula.gam and also gam.models). These are exactly like the formula for a GLM except that smooth terms, s, te, ti and t2, can be added to the right hand side to specify that the linear predictor depends on smooth functions of predictors (or linear functionals of these).

family

This is a family object specifying the distribution and link to use in fitting etc (see glm and family). See family.mgcv for a full list of what is available, which goes well beyond exponential family. Note that quasi families actually result in the use of extended quasi-likelihood if method is set to a RE/ML method (McCullagh and Nelder, 1989, 9.6).

data

A data frame or list containing the model response variable and covariates required by the formula. By default the variables are taken from environment(formula): typically the environment from which gam is called.

weights

prior weights on the contribution of the data to the log likelihood. Note that a weight of 2, for example, is equivalent to having made exactly the same observation twice. If you want to re-weight the contributions of each datum without changing the overall magnitude of the log likelihood, then you should normalize the weights (e.g. weights <- weights/mean(weights)).

subset

an optional vector specifying a subset of observations to be used in the fitting process.

na.action

a function which indicates what should happen when the data contain `NA's. The default is set by the `na.action' setting of `options', and is `na.fail' if that is unset. The “factory-fresh” default is `na.omit'.

offset

Can be used to supply a model offset for use in fitting. Note that this offset will always be completely ignored when predicting, unlike an offset included in formula (this used to conform to the behaviour of lm and glm).

control

A list of fit control parameters to replace defaults returned by gam.control. Values not set assume default values.

method

The smoothing parameter estimation method. "GCV.Cp" to use GCV for unknown scale parameter and Mallows' Cp/UBRE/AIC for known scale. "GACV.Cp" is equivalent, but using GACV in place of GCV. "NCV" for neighbourhood cross-validation using the neighbourhood structure speficied by nei ("QNCV" for numerically more ribust version). "REML" for REML estimation, including of unknown scale, "P-REML" for REML estimation, but using a Pearson estimate of the scale. "ML" and "P-ML" are similar, but using maximum likelihood in place of REML. Beyond the exponential family "REML" is the default, and the only other options are "ML", "NCV" or "QNCV".

optimizer

An array specifying the numerical optimization method to use to optimize the smoothing parameter estimation criterion (given by method). "outer" for the direct nested optimization approach. "outer" can use several alternative optimizers, specified in the second element of optimizer: "newton" (default), "bfgs", "optim" or "nlm". "efs" for the extended Fellner Schall method of Wood and Fasiolo (2017).

scale

If this is positive then it is taken as the known scale parameter. Negative signals that the scale parameter is unknown. 0 signals that the scale parameter is 1 for Poisson and binomial and unknown otherwise. Note that (RE)ML methods can only work with scale parameter 1 for the Poisson and binomial cases.

select

If this is TRUE then gam can add an extra penalty to each term so that it can be penalized to zero. This means that the smoothing parameter estimation that is part of fitting can completely remove terms from the model. If the corresponding smoothing parameter is estimated as zero then the extra penalty has no effect. Use gamma to increase level of penalization.

knots

this is an optional list containing user specified knot values to be used for basis construction. For most bases the user simply supplies the knots to be used, which must match up with the k value supplied (note that the number of knots is not always just k). See tprs for what happens in the "tp"/"ts" case. Different terms can use different numbers of knots, unless they share a covariate.

sp

A vector of smoothing parameters can be provided here. Smoothing parameters must be supplied in the order that the smooth terms appear in the model formula. Negative elements indicate that the parameter should be estimated, and hence a mixture of fixed and estimated parameters is possible. If smooths share smoothing parameters then length(sp) must correspond to the number of underlying smoothing parameters.

min.sp

Lower bounds can be supplied for the smoothing parameters. Note that if this option is used then the smoothing parameters full.sp, in the returned object, will need to be added to what is supplied here to get the smoothing parameters actually multiplying the penalties. length(min.sp) should always be the same as the total number of penalties (so it may be longer than sp, if smooths share smoothing parameters).

H

A user supplied fixed quadratic penalty on the parameters of the GAM can be supplied, with this as its coefficient matrix. A common use of this term is to add a ridge penalty to the parameters of the GAM in circumstances in which the model is close to un-identifiable on the scale of the linear predictor, but perfectly well defined on the response scale.

gamma

Increase this beyond 1 to produce smoother models. gamma multiplies the effective degrees of freedom in the GCV or UBRE/AIC. n/gamma can be viewed as an effective sample size in the GCV score, and this also enables it to be used with REML/ML. Ignored with P-RE/ML or the efs optimizer.

fit

If this argument is TRUE then gam sets up the model and fits it, but if it is FALSE then the model is set up and an object G containing what would be required to fit is returned is returned. See argument G.

paraPen

optional list specifying any penalties to be applied to parametric model terms. gam.models explains more.

G

Usually NULL, but may contain the object returned by a previous call to gam with fit=FALSE, in which case all other arguments are ignored except for sp, gamma, in.out, scale, control, method optimizer and fit.

in.out

optional list for initializing outer iteration. If supplied then this must contain two elements: sp should be an array of initialization values for all smoothing parameters (there must be a value for all smoothing parameters, whether fixed or to be estimated, but those for fixed s.p.s are not used); scale is the typical scale of the GCV/UBRE function, for passing to the outer optimizer, or the the initial value of the scale parameter, if this is to be estimated by RE/ML.

drop.unused.levels

by default unused levels are dropped from factors before fitting. For some smooths involving factor variables you might want to turn this off. Only do so if you know what you are doing.

drop.intercept

Set to TRUE to force the model to really not have a constant in the parametric model part, even with factor variables present. Can be vector when formula is a list.

nei

A list specifying the neighbourhood structure for NCV. a is the vector of indices to be dropped for each neighbourhood and ma gives the end of each neighbourhood. So nei$a[(nei$ma[j-1]+1):nei$ma[j]] gives the points dropped for the neighbourhood j. d is the vector of indices of points to predict, with corresponding endpoints md. So nei$d[(nei$md[j-1]+1):nei$md[j]] indexes the points to predict for neighbourhood j. If nei==NULL (or a or ma are missing) then leave-one-out cross validation is obtained. If jackknife is supplied then TRUE indicates to use raw jackknife covariances estimator and FALSE to use the conventional Bayes estimate. If not supplied then the estimator accounting for neighbourhood structure is used. jackknife ignored when method is not NCV.

discrete

experimental option for setting up models for use with discrete methods employed in bam. Do not modify.

...

further arguments for passing on e.g. to gam.fit3 (such as mustart).

Value

If fit=FALSE the function returns a list G of items needed to fit a GAM, but doesn't actually fit it.

Otherwise the function returns an object of class "gam" as described in gamObject.

Details

A generalized additive model (GAM) is a generalized linear model (GLM) in which the linear predictor is given by a user specified sum of smooth functions of the covariates plus a conventional parametric component of the linear predictor. A simple example is: $$\log\{E(y_i)\} = \alpha + f_1(x_{1i})+f_2(x_{2i})$$ where the (independent) response variables \(y_i \sim {\rm Poi }\), and \(f_1\) and \(f_2\) are smooth functions of covariates \(x_1\) and \(x_2\). The log is an example of a link function. Note that to be identifiable the model requires constraints on the smooth functions. By default these are imposed automatically and require that the function sums to zero over the observed covariate values (the presence of a metric by variable is the only case which usually suppresses this).

If absolutely any smooth functions were allowed in model fitting then maximum likelihood estimation of such models would invariably result in complex over-fitting estimates of \(f_1\) and \(f_2\). For this reason the models are usually fit by penalized likelihood maximization, in which the model (negative log) likelihood is modified by the addition of a penalty for each smooth function, penalizing its `wiggliness'. To control the trade-off between penalizing wiggliness and penalizing badness of fit each penalty is multiplied by an associated smoothing parameter: how to estimate these parameters, and how to practically represent the smooth functions are the main statistical questions introduced by moving from GLMs to GAMs.

The mgcv implementation of gam represents the smooth functions using penalized regression splines, and by default uses basis functions for these splines that are designed to be optimal, given the number basis functions used. The smooth terms can be functions of any number of covariates and the user has some control over how smoothness of the functions is measured.

gam in mgcv solves the smoothing parameter estimation problem by using the Generalized Cross Validation (GCV) criterion $$n D / (n - DoF)^2$$ or an Un-Biased Risk Estimator (UBRE )criterion $$D/n + 2 s DoF / n - s $$ where \(D\) is the deviance, \(n\) the number of data, \(s\) the scale parameter and \(DoF\) the effective degrees of freedom of the model. Notice that UBRE is effectively just AIC rescaled, but is only used when \(s\) is known.

Alternatives are GACV, NCV or a Laplace approximation to REML. There is some evidence that the latter may actually be the most effective choice. The main computational challenge solved by the mgcv package is to optimize the smoothness selection criteria efficiently and reliably.

Broadly gam works by first constructing basis functions and one or more quadratic penalty coefficient matrices for each smooth term in the model formula, obtaining a model matrix for the strictly parametric part of the model formula, and combining these to obtain a complete model matrix (/design matrix) and a set of penalty matrices for the smooth terms. The linear identifiability constraints are also obtained at this point. The model is fit using gam.fit3 or variants, which are modifications of glm.fit. The GAM penalized likelihood maximization problem is solved by Penalized Iteratively Re-weighted Least Squares (P-IRLS) (see e.g. Wood 2000). Smoothing parameter selection is possible in one of three ways. (i) `Performance iteration' uses the fact that at each P-IRLS step a working penalized linear model is estimated, and the smoothing parameter estimation can be performed for each such working model. Eventually, in most cases, both model parameter estimates and smoothing parameter estimates converge. This option is available in bam and gamm. (ii) Alternatively the P-IRLS scheme is iterated to convergence for each trial set of smoothing parameters, and GCV, UBRE or REML scores are only evaluated on convergence - optimization is then `outer' to the P-IRLS loop: in this case the P-IRLS iteration has to be differentiated, to facilitate optimization, and gam.fit3 or one of its variants is used. (iii) The extended Fellner-Schall algorithm of Wood and Fasiolo (2017) alternates estimation of model coefficients with simple updates of smoothing parameters, eventually approximately maximizing the marginal likelihood of the model (REML). gam uses the second method, outer iteration, by default.

Several alternative basis-penalty types are built in for representing model smooths, but alternatives can easily be added (see smooth.terms for an overview and smooth.construct for how to add smooth classes). The choice of the basis dimension (k in the s, te, ti and t2 terms) is something that should be considered carefully (the exact value is not critical, but it is important not to make it restrictively small, nor very large and computationally costly). The basis should be chosen to be larger than is believed to be necessary to approximate the smooth function concerned. The effective degrees of freedom for the smooth will then be controlled by the smoothing penalty on the term, and (usually) selected automatically (with an upper limit set by k-1 or occasionally k). Of course the k should not be made too large, or computation will be slow (or in extreme cases there will be more coefficients to estimate than there are data).

Note that gam assumes a very inclusive definition of what counts as a GAM: basically any penalized GLM can be used: to this end gam allows the non smooth model components to be penalized via argument paraPen and allows the linear predictor to depend on general linear functionals of smooths, via the summation convention mechanism described in linear.functional.terms. link{family.mgcv} details what is available beyond GLMs and the exponential family.

Details of the default underlying fitting methods are given in Wood (2011, 2004) and Wood, Pya and Saefken (2016). Some alternative methods are discussed in Wood (2000, 2017).

gam() is not a clone of Trevor Hastie's original (as supplied in S-PLUS or package gam). The major differences are (i) that by default estimation of the degree of smoothness of model terms is part of model fitting, (ii) a Bayesian approach to variance estimation is employed that makes for easier confidence interval calculation (with good coverage probabilities), (iii) that the model can depend on any (bounded) linear functional of smooth terms, (iv) the parametric part of the model can be penalized, (v) simple random effects can be incorporated, and (vi) the facilities for incorporating smooths of more than one variable are different: specifically there are no lo smooths, but instead (a) s terms can have more than one argument, implying an isotropic smooth and (b) te, ti or t2 smooths are provided as an effective means for modelling smooth interactions of any number of variables via scale invariant tensor product smooths. Splines on the sphere, Duchon splines and Gaussian Markov Random Fields are also available. (vii) Models beyond the exponential family are available. See package gam, for GAMs via the original Hastie and Tibshirani approach.

References

Key References on this implementation:

Wood, S.N. (2025) Generalized Additive Models. Annual Review of Statistics and Its Applications 12:497-526 doi:10.1146/annurev-statistics-112723-034249

Wood, S.N., N. Pya and B. Saefken (2016), Smoothing parameter and model selection for general smooth models (with discussion). Journal of the American Statistical Association 111, 1548-1575 doi:10.1080/01621459.2016.1180986

Wood, S.N. (2011) Fast stable restricted maximum likelihood and marginal likelihood estimation of semiparametric generalized linear models. Journal of the Royal Statistical Society (B) 73(1):3-36 doi:10.1111/j.1467-9868.2010.00749.x

Wood, S.N. (2004) Stable and efficient multiple smoothing parameter estimation for generalized additive models. J. Amer. Statist. Ass. 99:673-686. [Default method for additive case by GCV (but no longer for generalized)]

Wood, S.N. (2003) Thin plate regression splines. J.R.Statist.Soc.B 65(1):95-114 doi:10.1111/1467-9868.00374

Wood, S.N. (2006a) Low rank scale invariant tensor product smooths for generalized additive mixed models. Biometrics 62(4):1025-1036

Wood S.N. (2017) Generalized Additive Models: An Introduction with R (2nd edition). Chapman and Hall/CRC Press. doi:10.1201/9781315370279

Wood, S.N. and M. Fasiolo (2017) A generalized Fellner-Schall method for smoothing parameter optimization with application to Tweedie location, scale and shape models. Biometrics 73 (4), 1071-1081 doi:10.1111/biom.12666

Wood S.N., F. Scheipl and J.J. Faraway (2013) Straightforward intermediate rank tensor product smoothing in mixed models. Statistics and Computing 23: 341-360. doi:10.1007/s11222-012-9314-z

Marra, G and S.N. Wood (2012) Coverage Properties of Confidence Intervals for Generalized Additive Model Components. Scandinavian Journal of Statistics, 39(1), 53-74. doi:10.1111/j.1467-9469.2011.00760.x

Key Reference on GAMs and related models:

Wood, S. N. (2020) Inference and computation with generalized additive models and their extensions. Test 29(2): 307-339. doi:10.1007/s11749-020-00711-5

Hastie (1993) in Chambers and Hastie (1993) Statistical Models in S. Chapman and Hall.

Hastie and Tibshirani (1990) Generalized Additive Models. Chapman and Hall.

Wahba (1990) Spline Models of Observational Data. SIAM

Wood, S.N. (2000) Modelling and Smoothing Parameter Estimation with Multiple Quadratic Penalties. J.R.Statist.Soc.B 62(2):413-428 [The original mgcv paper, but no longer the default methods.]

Background References:

Green and Silverman (1994) Nonparametric Regression and Generalized Linear Models. Chapman and Hall.

Gu and Wahba (1991) Minimizing GCV/GML scores with multiple smoothing parameters via the Newton method. SIAM J. Sci. Statist. Comput. 12:383-398

Gu (2002) Smoothing Spline ANOVA Models, Springer.

McCullagh and Nelder (1989) Generalized Linear Models 2nd ed. Chapman & Hall.

O'Sullivan, Yandall and Raynor (1986) Automatic smoothing of regression functions in generalized linear models. J. Am. Statist.Ass. 81:96-103

Wood (2001) mgcv:GAMs and Generalized Ridge Regression for R. R News 1(2):20-25

Wood and Augustin (2002) GAMs with integrated model selection using penalized regression splines and applications to environmental modelling. Ecological Modelling 157:157-177

https://webhomes.maths.ed.ac.uk/~swood34/

Author

Simon N. Wood simon.wood@r-project.org

Front end design inspired by the S function of the same name based on the work of Hastie and Tibshirani (1990). Underlying methods owe much to the work of Wahba (e.g. 1990) and Gu (e.g. 2002).

WARNINGS

The default basis dimensions used for smooth terms are essentially arbitrary, and it should be checked that they are not too small. See choose.k and gam.check.

Automatic smoothing parameter selection is not likely to work well when fitting models to very few response data.

For data with many zeroes clustered together in the covariate space it is quite easy to set up GAMs which suffer from identifiability problems, particularly when using Poisson or binomial families. The problem is that with e.g. log or logit links, mean value zero corresponds to an infinite range on the linear predictor scale.

Examples

## see also examples in ?gam.models (e.g. 'by' variables, 
## random effects and tricks for large binary datasets)

library(mgcv)
set.seed(2) ## simulate some data... 
dat <- gamSim(1,n=400,dist="normal",scale=2)
#> Gu & Wahba 4 term additive model
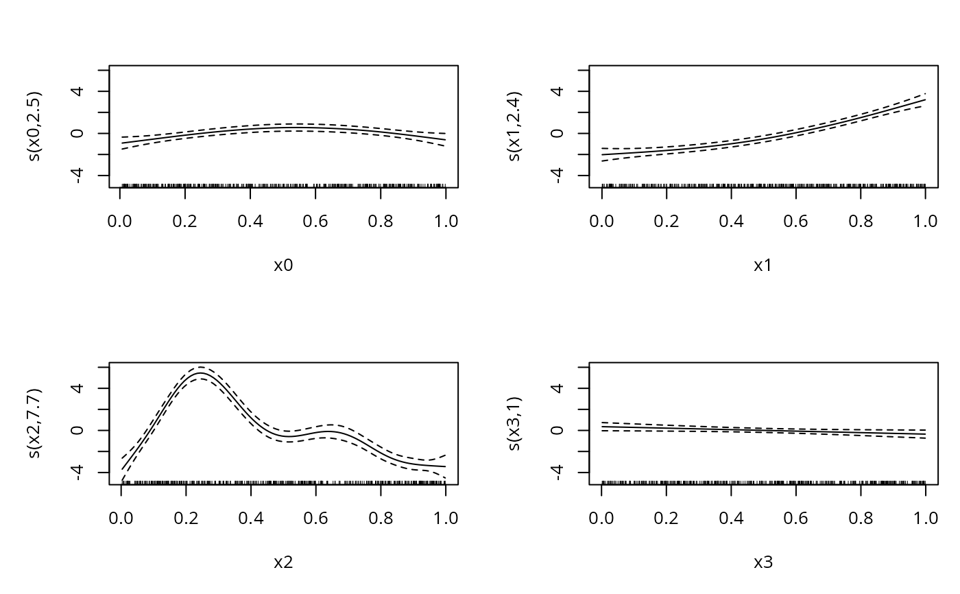
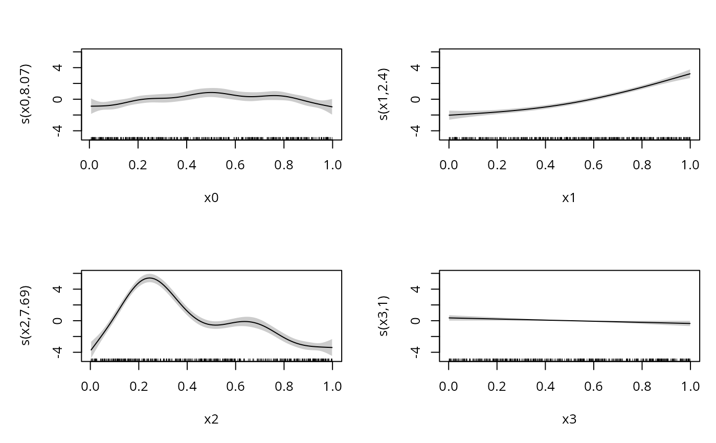
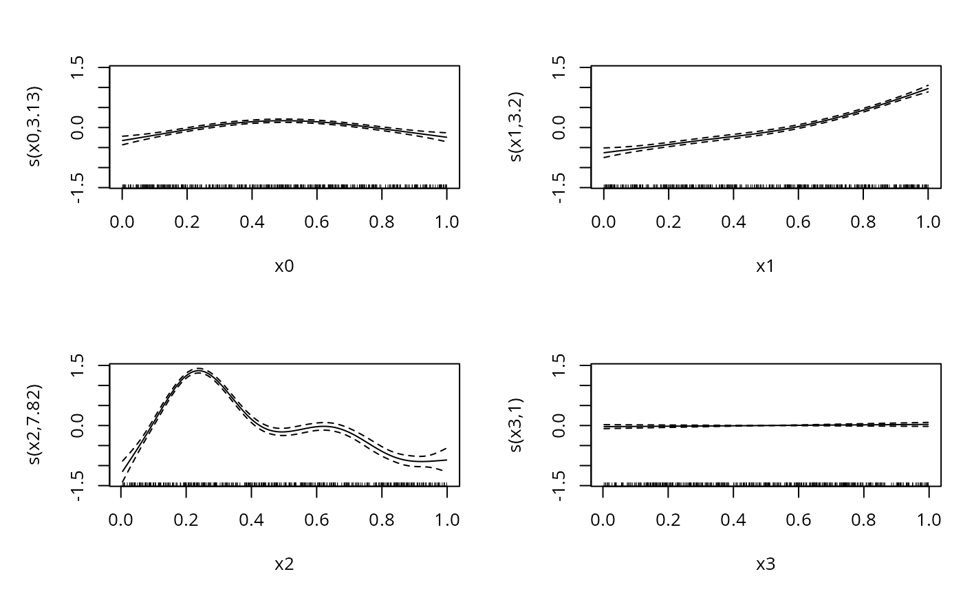
b <- gam(y~s(x0)+s(x1)+s(x2)+s(x3),data=dat)
summary(b)
#> 
#> Family: gaussian 
#> Link function: identity 
#> 
#> Formula:
#> y ~ s(x0) + s(x1) + s(x2) + s(x3)
#> 
#> Parametric coefficients:
#>             Estimate Std. Error t value Pr(>|t|)    
#> (Intercept)  7.83328    0.09878    79.3   <2e-16 ***
#> ---
#> Signif. codes:  0 ‘***’ 0.001 ‘**’ 0.01 ‘*’ 0.05 ‘.’ 0.1 ‘ ’ 1
#> 
#> Approximate significance of smooth terms:
#>         edf Ref.df      F  p-value    
#> s(x0) 2.500  3.115  6.921 0.000131 ***
#> s(x1) 2.401  2.984 81.858  < 2e-16 ***
#> s(x2) 7.698  8.564 88.158  < 2e-16 ***
#> s(x3) 1.000  1.000  4.343 0.037818 *  
#> ---
#> Signif. codes:  0 ‘***’ 0.001 ‘**’ 0.01 ‘*’ 0.05 ‘.’ 0.1 ‘ ’ 1
#> 
#> R-sq.(adj) =  0.715   Deviance explained = 72.5%
#> GCV = 4.0505  Scale est. = 3.9027    n = 400
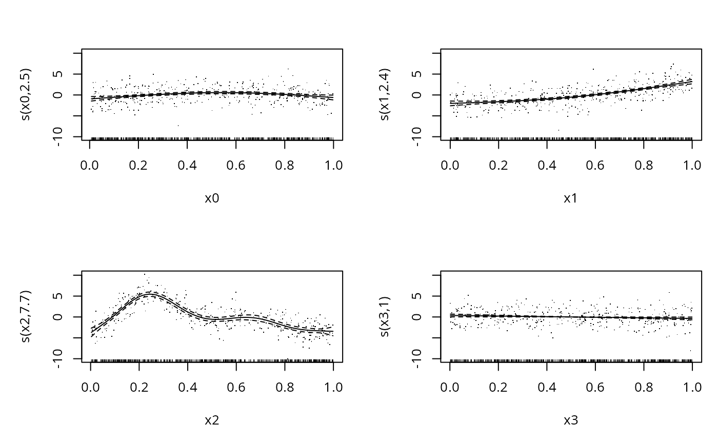
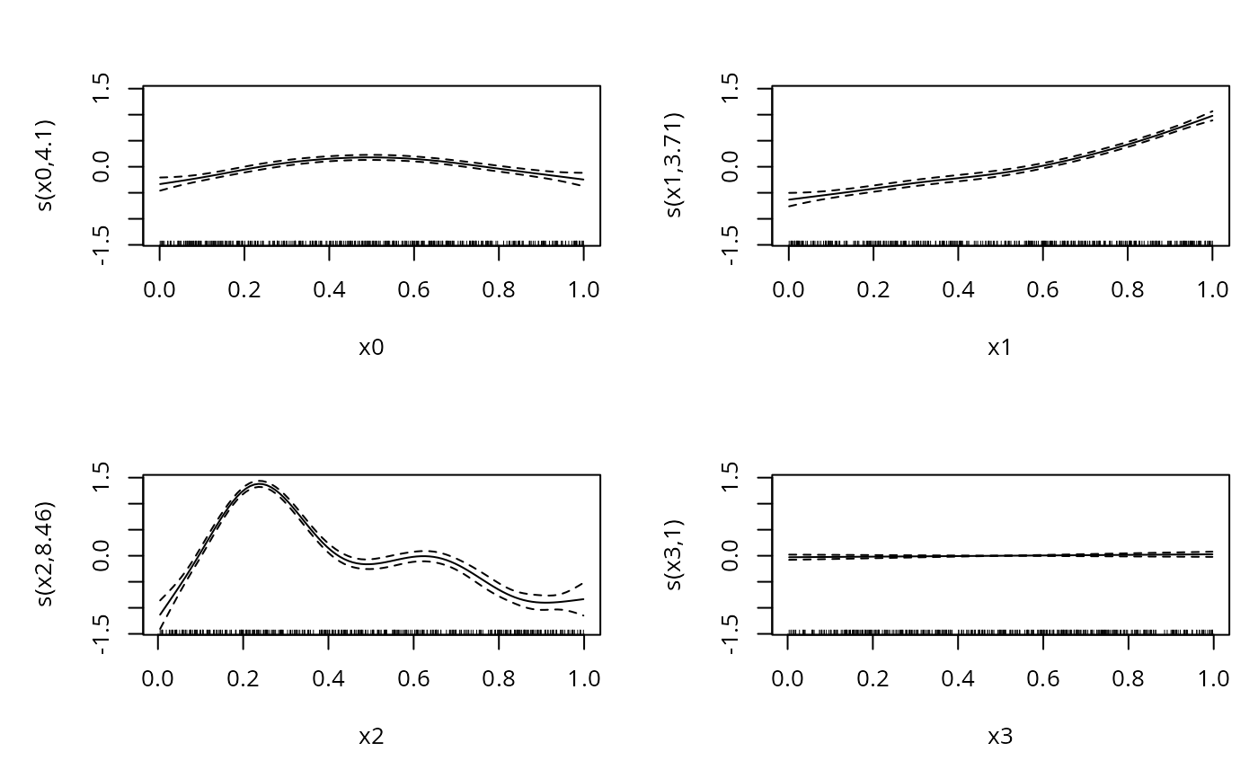
plot(b,pages=1,residuals=TRUE)  ## show partial residuals

plot(b,pages=1,seWithMean=TRUE) ## `with intercept' CIs


## plot derivaives of smooths w.r.t. covariates - the
## direct analogue of linear model regression coefficients
## - also selecting a more colourful plotting scheme...
plot(b,pages=1,scale=0,deriv=TRUE,scheme=2)


## run some basic model checks, including checking
## smoothing basis dimensions...
gam.check(b)

#> 
#> Method: GCV   Optimizer: magic
#> Smoothing parameter selection converged after 12 iterations.
#> The RMS GCV score gradient at convergence was 1.739918e-07 .
#> The Hessian was positive definite.
#> Model rank =  37 / 37 
#> 
#> Basis dimension (k) checking results. Low p-value (k-index<1) may
#> indicate that k is too low, especially if edf is close to k'.
#> 
#>        k' edf k-index p-value
#> s(x0) 9.0 2.5    1.04    0.77
#> s(x1) 9.0 2.4    1.03    0.68
#> s(x2) 9.0 7.7    0.97    0.23
#> s(x3) 9.0 1.0    1.03    0.70

## same fit in two parts .....
G <- gam(y~s(x0)+s(x1)+s(x2)+s(x3),fit=FALSE,data=dat)
b <- gam(G=G)
print(b)
#> 
#> Family: gaussian 
#> Link function: identity 
#> 
#> Formula:
#> y ~ s(x0) + s(x1) + s(x2) + s(x3)
#> 
#> Estimated degrees of freedom:
#> 2.5 2.4 7.7 1.0  total = 14.6 
#> 
#> GCV score: 4.050519     

## 2 part fit enabling manipulation of smoothing parameters...
G <- gam(y~s(x0)+s(x1)+s(x2)+s(x3),fit=FALSE,data=dat,sp=b$sp)
G$lsp0 <- log(b$sp*10) ## provide log of required sp vec
gam(G=G) ## it's smoother
#> 
#> Family: gaussian 
#> Link function: identity 
#> 
#> Formula:
#> y ~ s(x0) + s(x1) + s(x2) + s(x3)
#> 
#> Estimated degrees of freedom:
#> 1.43 1.39 5.20 1.00  total = 10.02 
#> 
#> GCV score: 4.365998     

## change the smoothness selection method to REML
b0 <- gam(y~s(x0)+s(x1)+s(x2)+s(x3),data=dat,method="REML")
## use alternative plotting scheme, and way intervals include
## smoothing parameter uncertainty...
plot(b0,pages=1,scheme=1,unconditional=TRUE) 


## Would a smooth interaction of x0 and x1 be better?
## Use tensor product smooth of x0 and x1, basis 
## dimension 49 (see ?te for details, also ?t2).
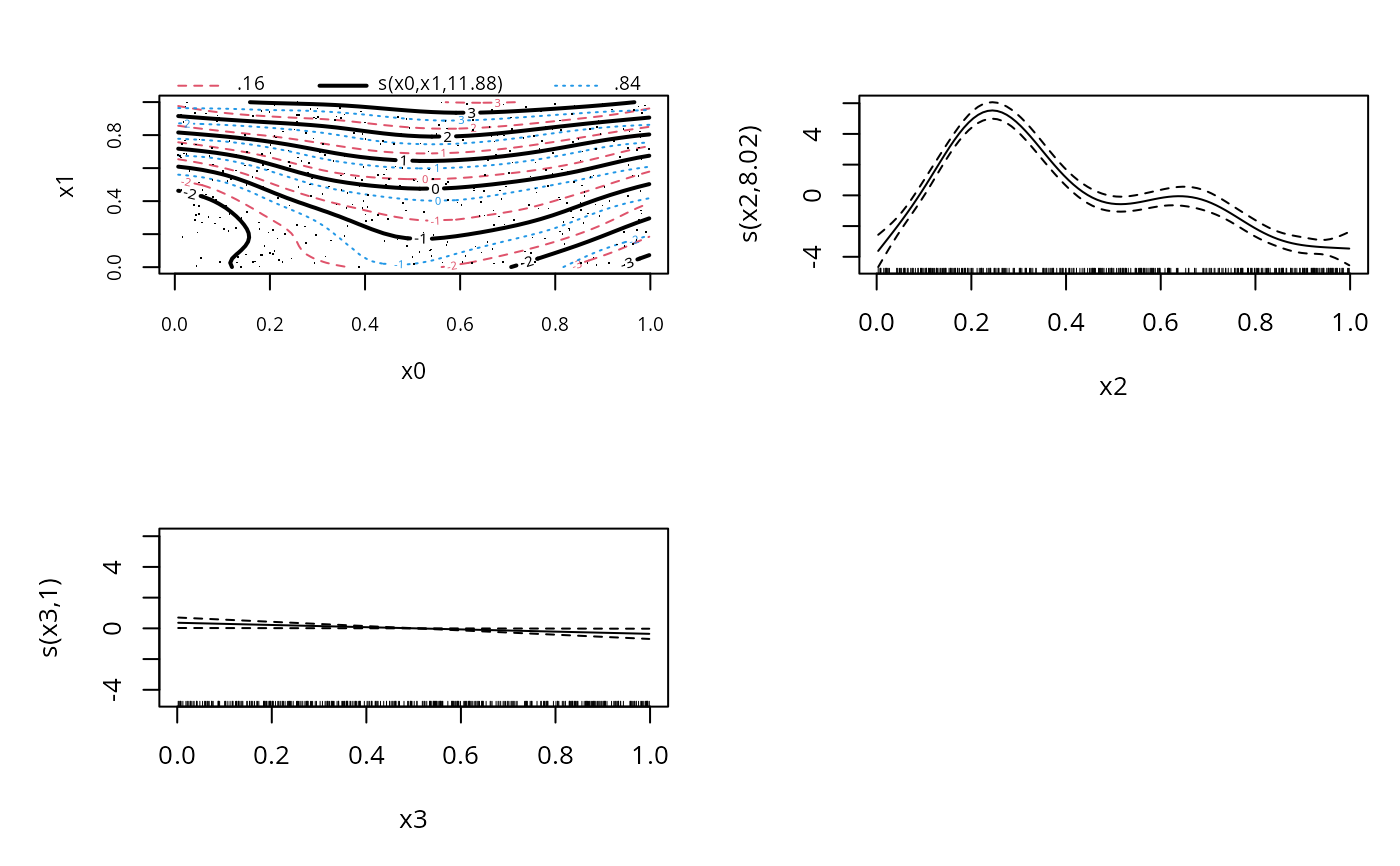
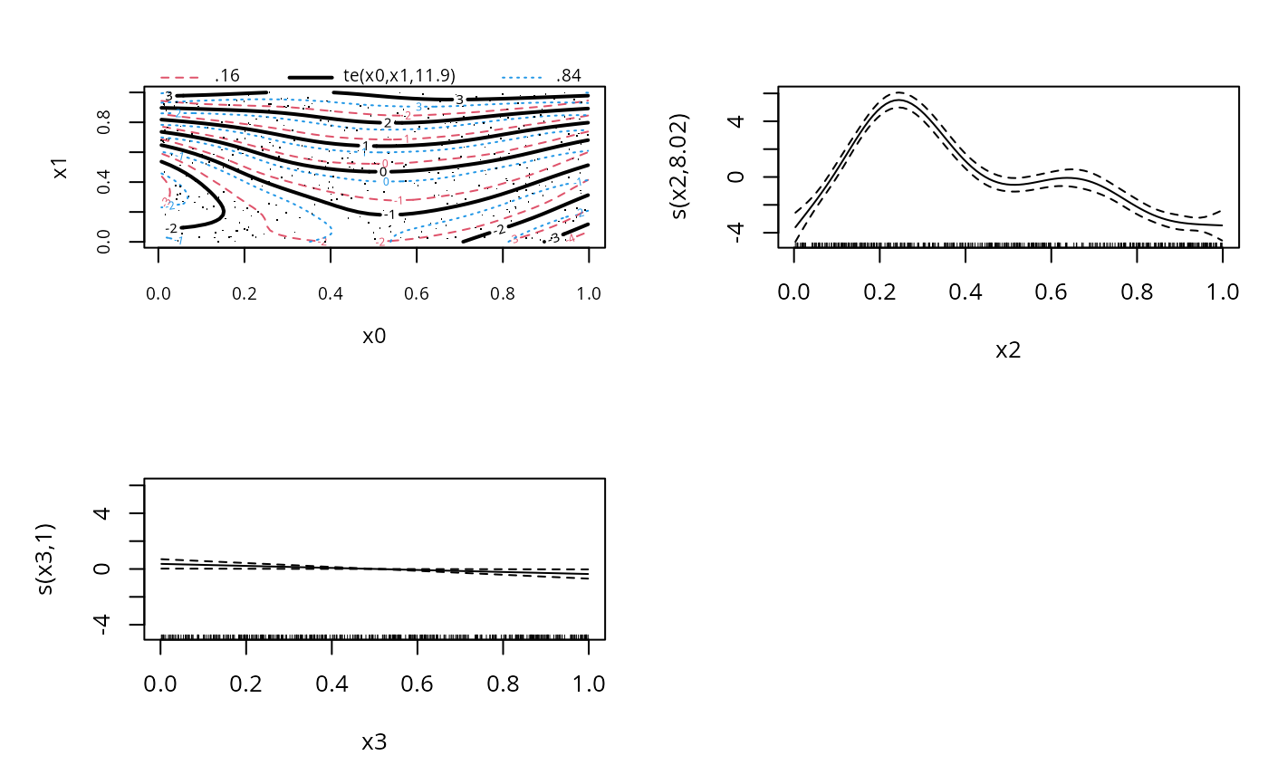
bt <- gam(y~te(x0,x1,k=7)+s(x2)+s(x3),data=dat,
          method="REML")
plot(bt,pages=1) 

plot(bt,pages=1,scheme=2) ## alternative visualization

AIC(b0,bt) ## interaction worse than additive
#>          df      AIC
#> b0 17.68999 1698.504
#> bt 24.48943 1698.189

## Alternative: test for interaction with a smooth ANOVA 
## decomposition (this time between x2 and x1)
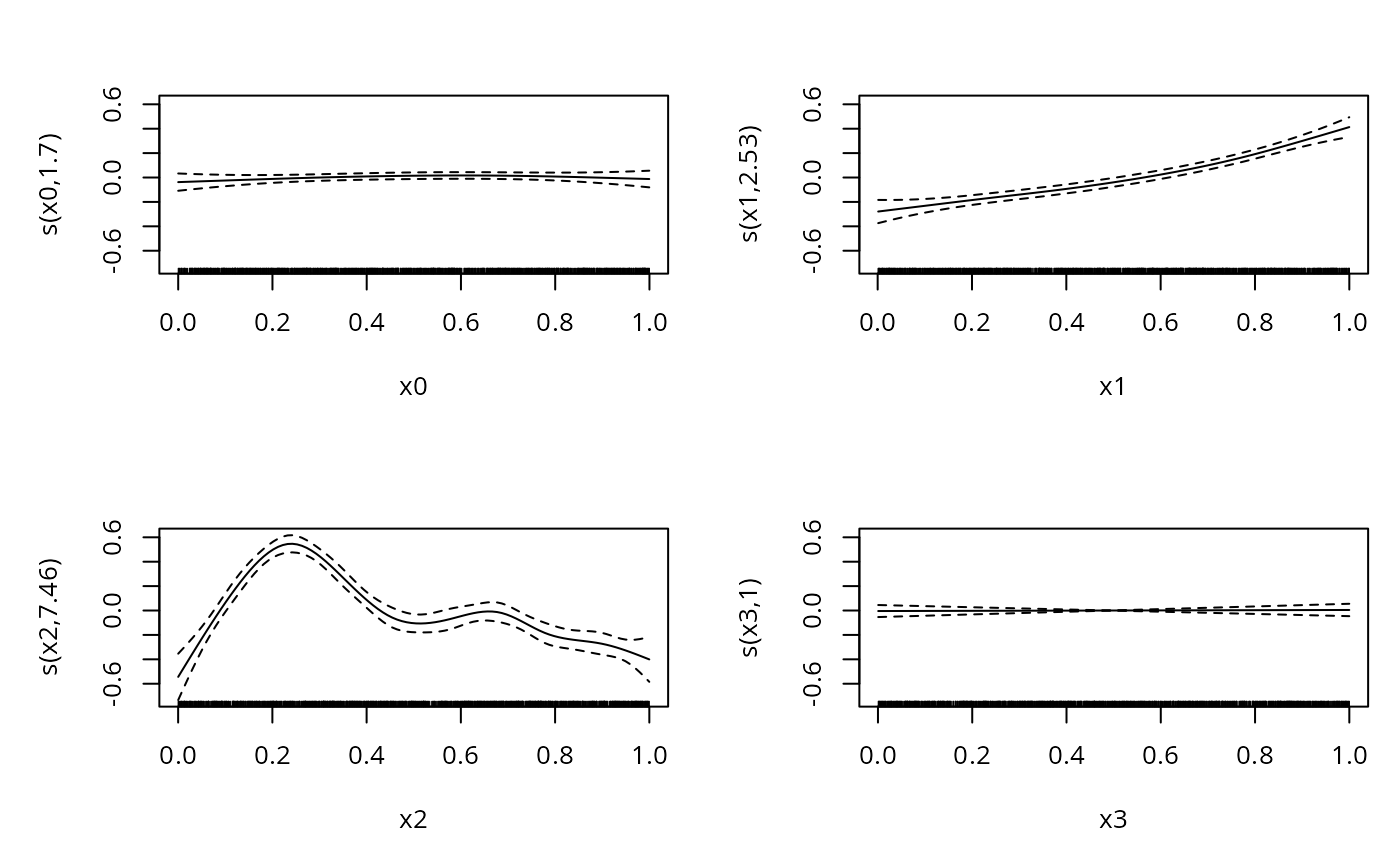
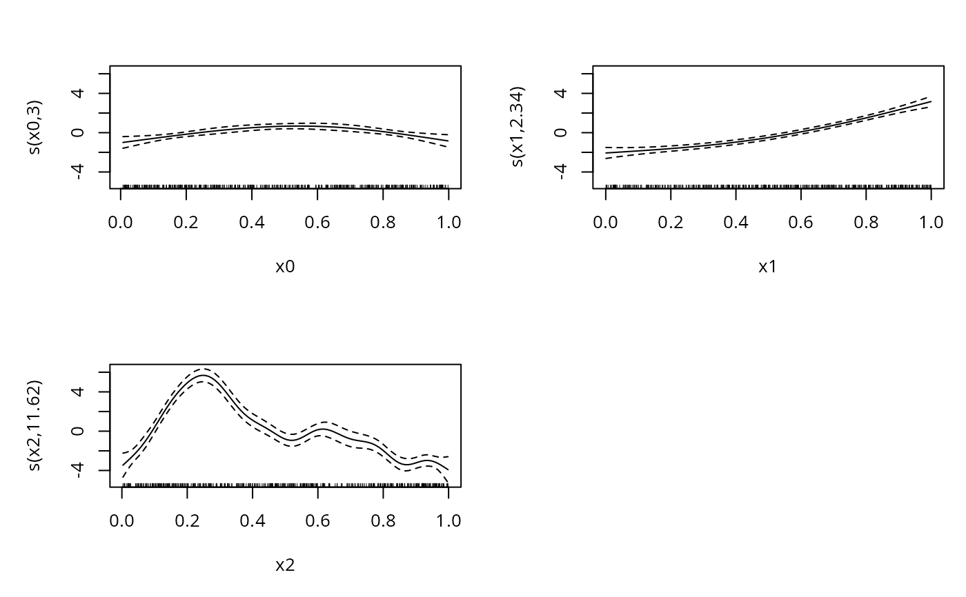
bt <- gam(y~s(x0)+s(x1)+s(x2)+s(x3)+ti(x1,x2,k=6),
            data=dat,method="REML")
summary(bt)
#> 
#> Family: gaussian 
#> Link function: identity 
#> 
#> Formula:
#> y ~ s(x0) + s(x1) + s(x2) + s(x3) + ti(x1, x2, k = 6)
#> 
#> Parametric coefficients:
#>             Estimate Std. Error t value Pr(>|t|)    
#> (Intercept)  7.83338    0.09883   79.26   <2e-16 ***
#> ---
#> Signif. codes:  0 ‘***’ 0.001 ‘**’ 0.01 ‘*’ 0.05 ‘.’ 0.1 ‘ ’ 1
#> 
#> Approximate significance of smooth terms:
#>             edf Ref.df      F  p-value    
#> s(x0)     3.013  3.744  6.226 0.000148 ***
#> s(x1)     2.840  3.524 69.568  < 2e-16 ***
#> s(x2)     8.012  8.736 85.971  < 2e-16 ***
#> s(x3)     1.000  1.000  4.176 0.041676 *  
#> ti(x1,x2) 1.006  1.011  0.087 0.779671    
#> ---
#> Signif. codes:  0 ‘***’ 0.001 ‘**’ 0.01 ‘*’ 0.05 ‘.’ 0.1 ‘ ’ 1
#> 
#> R-sq.(adj) =  0.715   Deviance explained = 72.6%
#> -REML = 860.37  Scale est. = 3.9068    n = 400

## If it is believed that x0 and x1 are naturally on 
## the same scale, and should be treated isotropically 
## then could try...
bs <- gam(y~s(x0,x1,k=40)+s(x2)+s(x3),data=dat,
          method="REML")
plot(bs,pages=1)

AIC(b0,bt,bs) ## additive still better. 
#>          df      AIC
#> b0 17.68999 1698.504
#> bt 18.79727 1700.592
#> bs 23.78889 1699.827

## Now do automatic terms selection as well
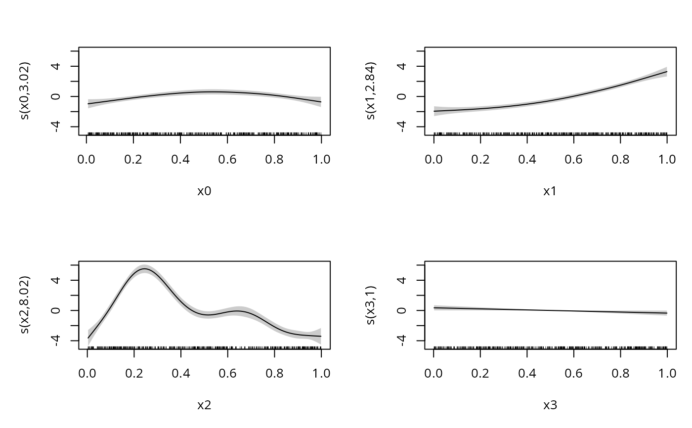
b1 <- gam(y~s(x0)+s(x1)+s(x2)+s(x3),data=dat,
       method="REML",select=TRUE)
plot(b1,pages=1)



## set the smoothing parameter for the first term, estimate rest ...
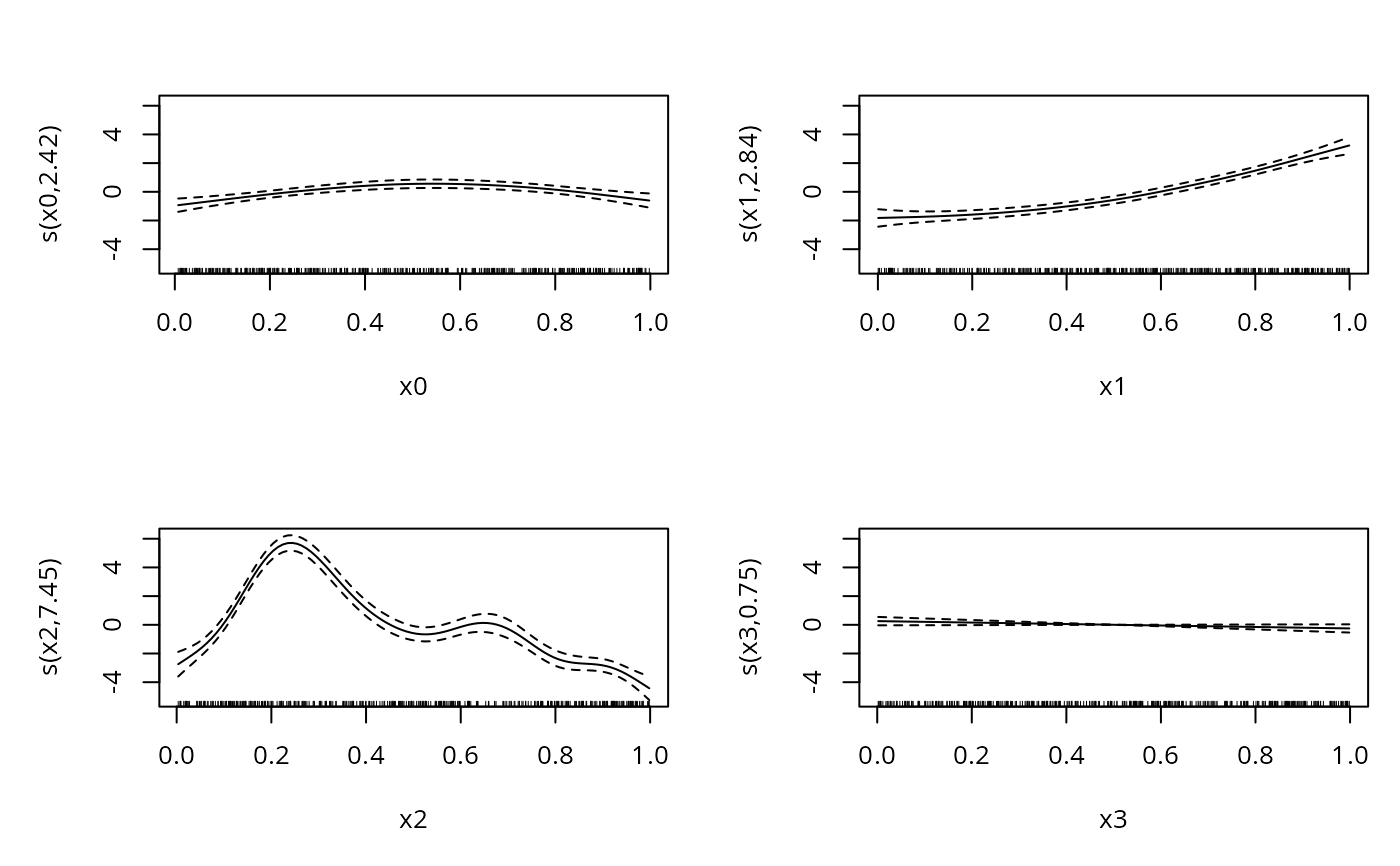
bp <- gam(y~s(x0)+s(x1)+s(x2)+s(x3),sp=c(0.01,-1,-1,-1),data=dat)
plot(bp,pages=1,scheme=1)

## alternatively...
bp <- gam(y~s(x0,sp=.01)+s(x1)+s(x2)+s(x3),data=dat)


# set lower bounds on smoothing parameters ....
bp<-gam(y~s(x0)+s(x1)+s(x2)+s(x3),
        min.sp=c(0.001,0.01,0,10),data=dat) 
print(b);print(bp)
#> 
#> Family: gaussian 
#> Link function: identity 
#> 
#> Formula:
#> y ~ s(x0) + s(x1) + s(x2) + s(x3)
#> 
#> Estimated degrees of freedom:
#> 2.5 2.4 7.7 1.0  total = 14.6 
#> 
#> GCV score: 4.050519     
#> 
#> Family: gaussian 
#> Link function: identity 
#> 
#> Formula:
#> y ~ s(x0) + s(x1) + s(x2) + s(x3)
#> 
#> Estimated degrees of freedom:
#> 2.5 2.4 7.7 1.0  total = 14.6 
#> 
#> GCV score: 4.050519     

# same with REML
bp<-gam(y~s(x0)+s(x1)+s(x2)+s(x3),
        min.sp=c(0.1,0.1,0,10),data=dat,method="REML") 
print(b0);print(bp)
#> 
#> Family: gaussian 
#> Link function: identity 
#> 
#> Formula:
#> y ~ s(x0) + s(x1) + s(x2) + s(x3)
#> 
#> Estimated degrees of freedom:
#> 3.02 2.84 8.02 1.00  total = 15.89 
#> 
#> REML score: 861.1296     
#> 
#> Family: gaussian 
#> Link function: identity 
#> 
#> Formula:
#> y ~ s(x0) + s(x1) + s(x2) + s(x3)
#> 
#> Estimated degrees of freedom:
#> 3.02 2.84 8.02 1.00  total = 15.88 
#> 
#> REML score: 861.1292     


## now a GAM with 3df regression spline term & 2 penalized terms

b0 <- gam(y~s(x0,k=4,fx=TRUE,bs="tp")+s(x1,k=12)+s(x2,k=15),data=dat)
plot(b0,pages=1)


# \donttest{
## now simulate poisson data...
set.seed(6)
dat <- gamSim(1,n=2000,dist="poisson",scale=.1)
#> Gu & Wahba 4 term additive model

## use "cr" basis to save time, with 2000 data...
b2<-gam(y~s(x0,bs="cr")+s(x1,bs="cr")+s(x2,bs="cr")+
        s(x3,bs="cr"),family=poisson,data=dat,method="REML")
plot(b2,pages=1)


## drop x3, but initialize sp's from previous fit, to 
## save more time...

b2a<-gam(y~s(x0,bs="cr")+s(x1,bs="cr")+s(x2,bs="cr"),
         family=poisson,data=dat,method="REML",
         in.out=list(sp=b2$sp[1:3],scale=1))
par(mfrow=c(2,2))
plot(b2a)

par(mfrow=c(1,1))

## similar example using GACV...

dat <- gamSim(1,n=400,dist="poisson",scale=.25)
#> Gu & Wahba 4 term additive model

b4<-gam(y~s(x0)+s(x1)+s(x2)+s(x3),family=poisson,
        data=dat,method="GACV.Cp",scale=-1)
plot(b4,pages=1)


## repeat using REML as in Wood 2011...

b5<-gam(y~s(x0)+s(x1)+s(x2)+s(x3),family=poisson,
        data=dat,method="REML")
plot(b5,pages=1)


 
## a binary example (see ?gam.models for large dataset version)...

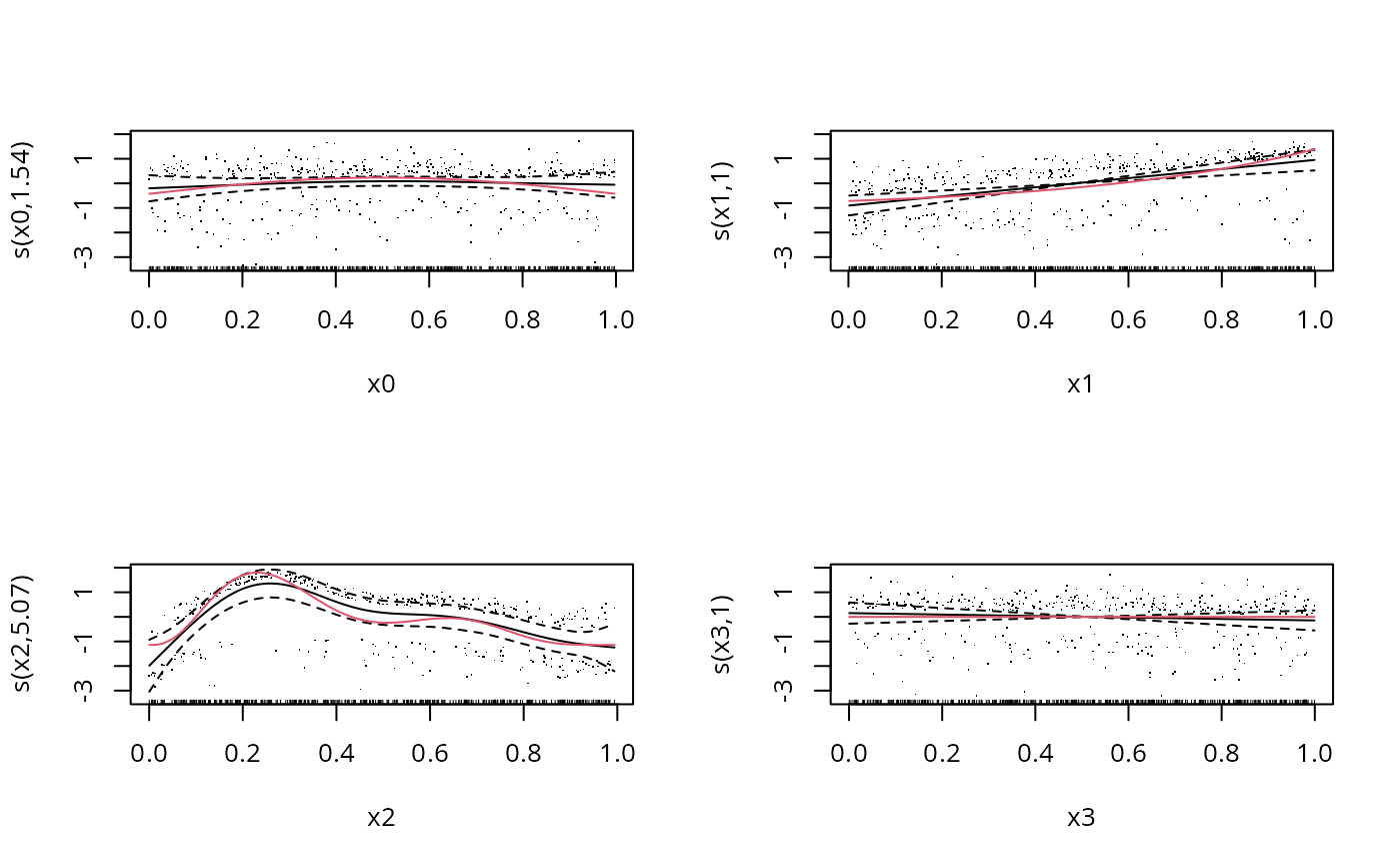
dat <- gamSim(1,n=400,dist="binary",scale=.33)
#> Gu & Wahba 4 term additive model

lr.fit <- gam(y~s(x0)+s(x1)+s(x2)+s(x3),family=binomial,
              data=dat,method="REML")

## plot model components with truth overlaid in red
op <- par(mfrow=c(2,2))
fn <- c("f0","f1","f2","f3");xn <- c("x0","x1","x2","x3")
for (k in 1:4) {
  plot(lr.fit,residuals=TRUE,select=k)
  ff <- dat[[fn[k]]];xx <- dat[[xn[k]]]
  ind <- sort.int(xx,index.return=TRUE)$ix
  lines(xx[ind],(ff-mean(ff))[ind]*.33,col=2)
}

par(op)
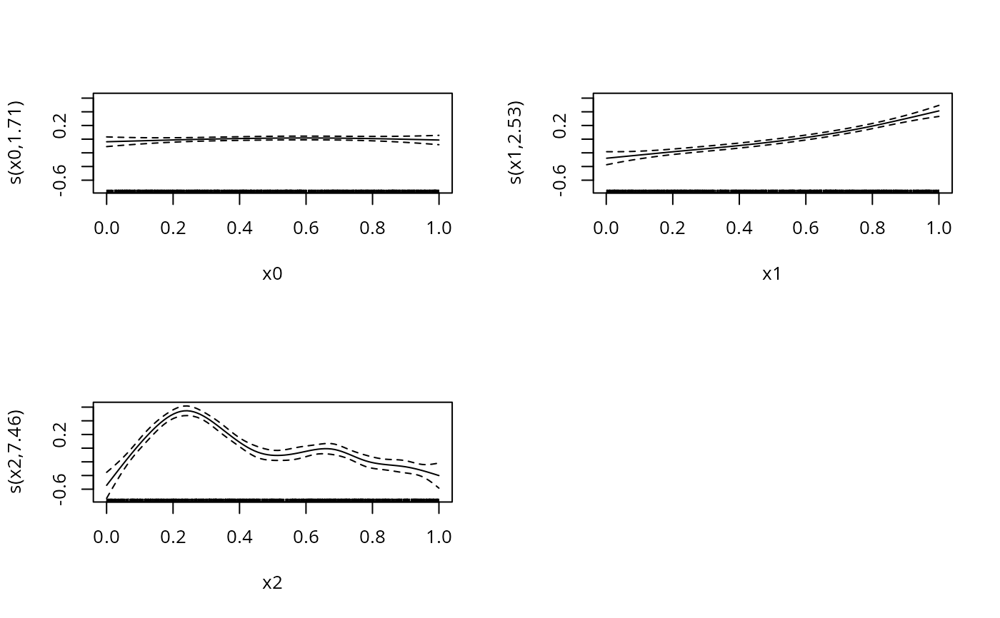
anova(lr.fit)
#> 
#> Family: binomial 
#> Link function: logit 
#> 
#> Formula:
#> y ~ s(x0) + s(x1) + s(x2) + s(x3)
#> 
#> Approximate significance of smooth terms:
#>         edf Ref.df Chi.sq  p-value
#> s(x0) 1.545  1.903  0.685    0.654
#> s(x1) 1.000  1.000 19.110 1.22e-05
#> s(x2) 5.073  6.186 42.870  < 2e-16
#> s(x3) 1.000  1.000  0.486    0.486
lr.fit1 <- gam(y~s(x0)+s(x1)+s(x2),family=binomial,
               data=dat,method="REML")
lr.fit2 <- gam(y~s(x1)+s(x2),family=binomial,
               data=dat,method="REML")
AIC(lr.fit,lr.fit1,lr.fit2)
#>                df      AIC
#> lr.fit  11.089965 430.2261
#> lr.fit1 10.069774 428.7262
#> lr.fit2  7.779755 425.5283

## For a Gamma example, see ?summary.gam...

## For inverse Gaussian, see ?rig

## now 2D smoothing...

eg <- gamSim(2,n=500,scale=.1)
#> Bivariate smoothing example
attach(eg)

op <- par(mfrow=c(2,2),mar=c(4,4,1,1))

contour(truth$x,truth$z,truth$f) ## contour truth
b4 <- gam(y~s(x,z),data=data) ## fit model
fit1 <- matrix(predict.gam(b4,pr,se=FALSE),40,40)
contour(truth$x,truth$z,fit1)   ## contour fit
persp(truth$x,truth$z,truth$f)    ## persp truth
vis.gam(b4)                     ## persp fit

detach(eg)
par(op)

##################################################
## largish dataset example with user defined knots
##################################################

par(mfrow=c(2,2))
n <- 5000
eg <- gamSim(2,n=n,scale=.5)
#> Bivariate smoothing example
attach(eg)

ind<-sample(1:n,200,replace=FALSE)
b5<-gam(y~s(x,z,k=40),data=data,
        knots=list(x=data$x[ind],z=data$z[ind]))
## various visualizations
vis.gam(b5,theta=30,phi=30)
plot(b5)
plot(b5,scheme=1,theta=50,phi=20)
plot(b5,scheme=2)


par(mfrow=c(1,1))
## and a pure "knot based" spline of the same data
b6<-gam(y~s(x,z,k=64),data=data,knots=list(x= rep((1:8-0.5)/8,8),
        z=rep((1:8-0.5)/8,rep(8,8))))
vis.gam(b6,color="heat",theta=30,phi=30)


## varying the default large dataset behaviour via `xt'
b7 <- gam(y~s(x,z,k=40,xt=list(max.knots=500,seed=2)),data=data)
vis.gam(b7,theta=30,phi=30)

detach(eg)
# }