Tweedie families, designed for use with gam from the mgcv library. Restricted to variance function powers between 1 and 2. A useful alternative to quasi when a full likelihood is desirable. Tweedie is for use with fixed p. tw is for use when p is to be estimated during fitting. For fixed p between 1 and 2 the Tweedie is an exponential family distribution with variance given by the mean to the power p.

tw is only useable with gam and bam but not gamm. Tweedie works with all three.

Tweedie(p=1, link = power(0))
tw(theta = NULL, link = "log",a=1.01,b=1.99)

Arguments

p

the variance of an observation is proportional to its mean to the power p. p must be greater than 1 and less than or equal to 2. 1 would be Poisson, 2 is gamma.

The link function: one of "log", "identity", "inverse", "sqrt", or a power link (Tweedie only).

theta

Related to the Tweedie power parameter by \(p=(a+b \exp(\theta))/(1+\exp(\theta))\). If this is supplied as a positive value then it is taken as the fixed value for p. If it is a negative values then its absolute value is taken as the initial value for p.

a

lower limit on p for optimization.

b

upper limit on p for optimization.

Value

For Tweedie, an object inheriting from class family, with additional elements

dvar

the function giving the first derivative of the variance function w.r.t. mu.

d2var

the function giving the second derivative of the variance function w.r.t. mu.

ls

A function returning a 3 element array: the saturated log likelihood followed by its first 2 derivatives w.r.t. the scale parameter.

For tw, an object of class extended.family.

Details

A Tweedie random variable with 1<p<2 is a sum of N gamma random variables where N has a Poisson distribution. The p=1 case is a generalization of a Poisson distribution and is a discrete distribution supported on integer multiples of the scale parameter. For 1<p<2 the distribution is supported on the positive reals with a point mass at zero. p=2 is a gamma distribution. As p gets very close to 1 the continuous distribution begins to converge on the discretely supported limit at p=1, and is therefore highly multimodal. See ldTweedie for more on this behaviour.

Tweedie is based partly on the poisson family, and partly on tweedie from the statmod package. It includes extra components to work with all mgcv GAM fitting methods as well as an aic function.

The Tweedie density involves a normalizing constant with no closed form, so this is evaluated using the series evaluation method of Dunn and Smyth (2005), with extensions to also compute the derivatives w.r.t. p and the scale parameter. Without restricting p to (1,2) the calculation of Tweedie densities is more difficult, and there does not currently seem to be an implementation which offers any benefit over quasi. If you need this case then the tweedie package is the place to start.

Author

Simon N. Wood simon.wood@r-project.org.

References

Dunn, P.K. and G.K. Smyth (2005) Series evaluation of Tweedie exponential dispersion model densities. Statistics and Computing 15:267-280

Tweedie, M. C. K. (1984). An index which distinguishes between some important exponential families. Statistics: Applications and New Directions. Proceedings of the Indian Statistical Institute Golden Jubilee International Conference (Eds. J. K. Ghosh and J. Roy), pp. 579-604. Calcutta: Indian Statistical Institute.

Wood, S.N., N. Pya and B. Saefken (2016), Smoothing parameter and model selection for general smooth models. Journal of the American Statistical Association 111, 1548-1575 doi:10.1080/01621459.2016.1180986

WARNINGS

As p and the scale parameter tend to 1 the Tweedie distribution tends towards a Poisson, however it remains continuously supported, meaning that the corresponding log likelihood does not converge on the Poisson log likelihood. For example, AIC can be radically different for Poisson and Tweedie models for which the fit is almost identical.

See also

Examples

library(mgcv)
set.seed(3)
n<-400
## Simulate data...
dat <- gamSim(1,n=n,dist="poisson",scale=.2)
#> Gu & Wahba 4 term additive model
dat$y <- rTweedie(exp(dat$f),p=1.3,phi=.5) ## Tweedie response

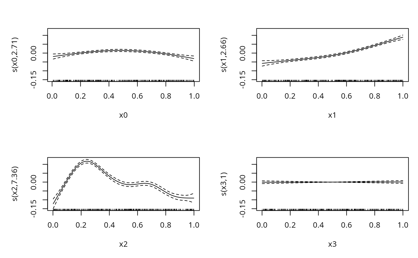
## Fit a fixed p Tweedie, with wrong link ...
b <- gam(y~s(x0)+s(x1)+s(x2)+s(x3),family=Tweedie(1.25,power(.1)),
         data=dat)
plot(b,pages=1)

print(b)
#> 
#> Family: Tweedie(1.25) 
#> Link function: mu^0.1 
#> 
#> Formula:
#> y ~ s(x0) + s(x1) + s(x2) + s(x3)
#> 
#> Estimated degrees of freedom:
#> 2.71 2.66 7.36 1.00  total = 14.73 
#> 
#> GCV score: 0.5404011     

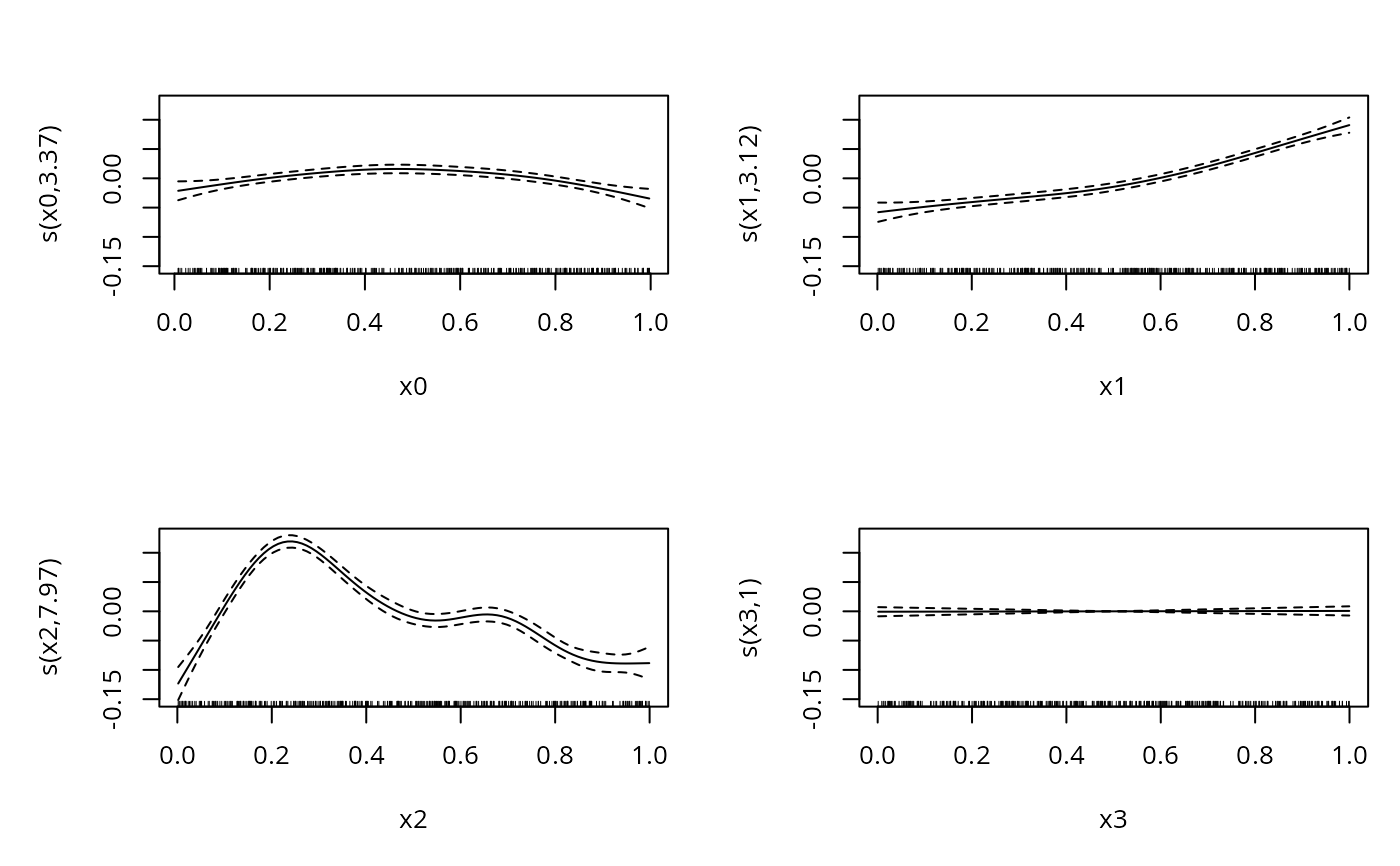
## Same by approximate REML...
b1 <- gam(y~s(x0)+s(x1)+s(x2)+s(x3),family=Tweedie(1.25,power(.1)),
          data=dat,method="REML")
plot(b1,pages=1)

print(b1)
#> 
#> Family: Tweedie(1.25) 
#> Link function: mu^0.1 
#> 
#> Formula:
#> y ~ s(x0) + s(x1) + s(x2) + s(x3)
#> 
#> Estimated degrees of freedom:
#> 3.37 3.12 7.97 1.00  total = 16.46 
#> 
#> REML score: 860.0066     

## estimate p as part of fitting

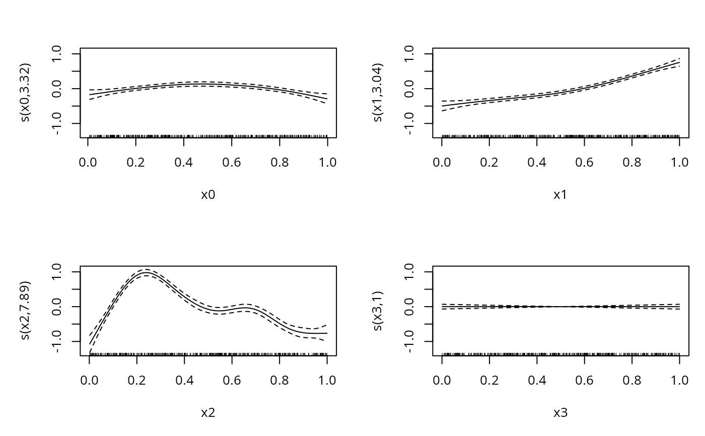
b2 <- gam(y~s(x0)+s(x1)+s(x2)+s(x3),family=tw(),
          data=dat,method="REML")
plot(b2,pages=1)

print(b2)
#> 
#> Family: Tweedie(p=1.401) 
#> Link function: log 
#> 
#> Formula:
#> y ~ s(x0) + s(x1) + s(x2) + s(x3)
#> 
#> Estimated degrees of freedom:
#> 3.32 3.04 7.89 1.00  total = 16.26 
#> 
#> REML score: 846.1687     

rm(dat)