Simple factor smooth interactions, which are efficient when used with gamm. This smooth class allows a separate smooth for each level of a factor, with the same smoothing parameter for all smooths. It is an alternative to using factor by variables.

See factor.smooth for more genral alternatives for factor smooth interactions (including interactions of tensor product smooths with factors).

# S3 method for class 'fs.smooth.spec'
smooth.construct(object, data, knots)
# S3 method for class 'fs.interaction'
Predict.matrix(object, data)

Arguments

object

For the smooth.construct method a smooth specification object, usually generated by a term s(x,...,bs="fs",). May have a gamm attribute: see details. For the predict.Matrix method an object of class "fs.interaction" produced by the smooth.construct method.

data

a list containing just the data (including any by variable) required by this term, with names corresponding to object$term.

knots

a list containing any knots supplied for smooth basis setup.

Value

An object of class "fs.interaction" or a matrix mapping the coefficients of the factor smooth interaction to the smooths themselves. The contents of an "fs.interaction" object will depend on whether or not smooth.construct was called with an object with attribute gamm: see below.

Details

This class produces a smooth for each level of a single factor variable. Within a gam formula this is done with something like s(x,fac,bs="fs"), which is almost equivalent to s(x,by=fac,id=1) (with the gam argument select=TRUE). The terms are fully penalized, with separate penalties on each null space component: for this reason they are not centred (no sum-to-zero constraint).

The class is particularly useful for use with gamm, where estimation efficiently exploits the nesting of the smooth within the factor. Note however that: i) gamm only allows one conditioning factor for smooths, so s(x)+s(z,fac,bs="fs")+s(v,fac,bs="fs") is OK, but s(x)+s(z,fac1,bs="fs")+s(v,fac2,bs="fs") is not; ii) all aditional random effects and correlation structures will be treated as nested within the factor of the smooth factor interaction. To facilitate this the constructor is called from gamm with an attribute "gamm" attached to the smooth specification object. The result differs from that resulting from the case where this is not done.

Note that gamm4 from the gamm4 package suffers from none of the restrictions that apply to gamm, and "fs" terms can be used without side-effects. Constructor is still called with a smooth specification object having a "gamm" attribute.

Any singly penalized basis can be used to smooth at each factor level. The default is "tp", but alternatives can be supplied in the xt argument of s (e.g. s(x,fac,bs="fs",xt="cr") or s(x,fac,bs="fs",xt=list(bs="cr")). The k argument to s(...,bs="fs") refers to the basis dimension to use for each level of the factor variable.

Note one computational bottleneck: currently gamm (or gamm4) will produce the full posterior covariance matrix for the smooths, including the smooths at each level of the factor. This matrix can get large and computationally costly if there are more than a few hundred levels of the factor. Even at one or two hundred levels, care should be taken to keep down k.

The plot method for this class has two schemes. scheme==0 is in colour, while scheme==1 is black and white.

Author

Simon N. Wood simon.wood@r-project.org with input from Matteo Fasiolo.

Examples

library(mgcv)
set.seed(0)
## simulate data...
f0 <- function(x) 2 * sin(pi * x)
f1 <- function(x,a=2,b=-1) exp(a * x)+b
f2 <- function(x) 0.2 * x^11 * (10 * (1 - x))^6 + 10 * 
            (10 * x)^3 * (1 - x)^10
n <- 500;nf <- 25
fac <- sample(1:nf,n,replace=TRUE)
x0 <- runif(n);x1 <- runif(n);x2 <- runif(n)
a <- rnorm(nf)*.2 + 2;b <- rnorm(nf)*.5
f <- f0(x0) + f1(x1,a[fac],b[fac]) + f2(x2)
fac <- factor(fac)
y <- f + rnorm(n)*2
## so response depends on global smooths of x0 and 
## x2, and a smooth of x1 for each level of fac.

## fit model...
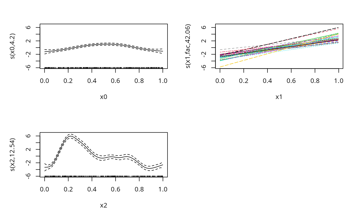
bm <- gamm(y~s(x0)+ s(x1,fac,bs="fs",k=5)+s(x2,k=20))
plot(bm$gam,pages=1)

summary(bm$gam)
#> 
#> Family: gaussian 
#> Link function: identity 
#> 
#> Formula:
#> y ~ s(x0) + s(x1, fac, bs = "fs", k = 5) + s(x2, k = 20)
#> 
#> Parametric coefficients:
#>             Estimate Std. Error t value Pr(>|t|)    
#> (Intercept)   7.6370     0.1865   40.95   <2e-16 ***
#> ---
#> Signif. codes:  0 ‘***’ 0.001 ‘**’ 0.01 ‘*’ 0.05 ‘.’ 0.1 ‘ ’ 1
#> 
#> Approximate significance of smooth terms:
#>              edf  Ref.df      F p-value    
#> s(x0)      3.927   3.927 17.548  <2e-16 ***
#> s(x1,fac) 41.832 124.000  4.571  <2e-16 ***
#> s(x2)     12.433  12.433 81.272  <2e-16 ***
#> ---
#> Signif. codes:  0 ‘***’ 0.001 ‘**’ 0.01 ‘*’ 0.05 ‘.’ 0.1 ‘ ’ 1
#> 
#> R-sq.(adj) =  0.784   
#>   Scale est. = 3.7697    n = 500

## Also efficient using bam(..., discrete=TRUE)
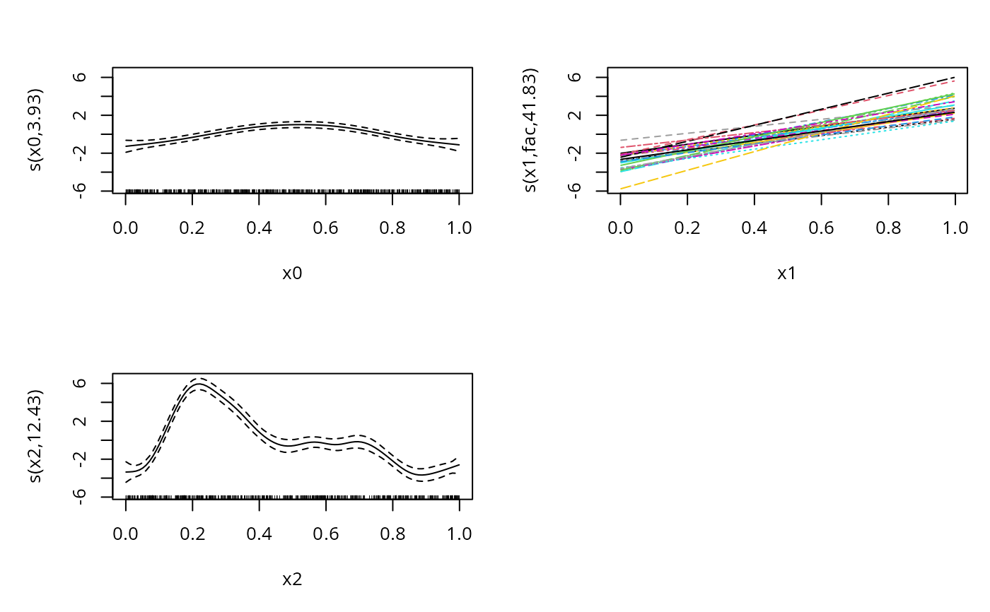
bd <- bam(y~s(x0)+ s(x1,fac,bs="fs",k=5)+s(x2,k=20),discrete=TRUE)
plot(bd,pages=1)

summary(bd)
#> 
#> Family: gaussian 
#> Link function: identity 
#> 
#> Formula:
#> y ~ s(x0) + s(x1, fac, bs = "fs", k = 5) + s(x2, k = 20)
#> 
#> Parametric coefficients:
#>             Estimate Std. Error t value Pr(>|t|)    
#> (Intercept)   7.6379     0.1904   40.11   <2e-16 ***
#> ---
#> Signif. codes:  0 ‘***’ 0.001 ‘**’ 0.01 ‘*’ 0.05 ‘.’ 0.1 ‘ ’ 1
#> 
#> Approximate significance of smooth terms:
#>              edf  Ref.df      F p-value    
#> s(x0)      4.201   5.148 13.487  <2e-16 ***
#> s(x1,fac) 42.060 124.000  4.567  <2e-16 ***
#> s(x2)     12.543  14.926 67.768  <2e-16 ***
#> ---
#> Signif. codes:  0 ‘***’ 0.001 ‘**’ 0.01 ‘*’ 0.05 ‘.’ 0.1 ‘ ’ 1
#> 
#> R-sq.(adj) =  0.784   Deviance explained =   81%
#> fREML = 1127.9  Scale est. = 3.7735    n = 500

## Could also use...
## b <- gam(y~s(x0)+ s(x1,fac,bs="fs",k=5)+s(x2,k=20),method="ML")
## ... but its slower (increasingly so with increasing nf)
## b <- gam(y~s(x0)+ t2(x1,fac,bs=c("tp","re"),k=5,full=TRUE)+
##        s(x2,k=20),method="ML"))
## ... is exactly equivalent.