Fits a generalized additive model (GAM) to a very large data set, the term `GAM' being taken to include any quadratically penalized GLM (the extended families listed in family.mgcv can also be used). The degree of smoothness of model terms is estimated as part of fitting. In use the function is much like gam, except that the numerical methods are designed for datasets containing upwards of several tens of thousands of data (see Wood, Goude and Shaw, 2015). The advantage of bam is much lower memory footprint than gam, but it can also be much faster, for large datasets. bam can also compute on a cluster set up by the parallel package.

An alternative fitting approach (Wood et al. 2017, Li and Wood, 2019) is provided by the discrete==TRUE method. In this case a method based on discretization of covariate values and C code level parallelization (controlled by the nthreads argument instead of the cluster argument) is used. This extends both the data set and model size that are practical. Number of response data can not exceed .Machine$integer.max.

bam(formula,family=gaussian(),data=list(),weights=NULL,subset=NULL,
    na.action=na.omit, offset=NULL,method="fREML",control=list(),
    select=FALSE,scale=0,gamma=1,knots=NULL,sp=NULL,min.sp=NULL,
    paraPen=NULL,chunk.size=10000,rho=0,AR.start=NULL,discrete=FALSE,
    cluster=NULL,nthreads=1,gc.level=0,use.chol=FALSE,samfrac=1,
    coef=NULL,drop.unused.levels=TRUE,G=NULL,fit=TRUE,drop.intercept=NULL,
    in.out=NULL,nei=NULL,...)

Arguments

formula

A GAM formula (see formula.gam and also gam.models). This is exactly like the formula for a GLM except that smooth terms, s and te can be added to the right hand side to specify that the linear predictor depends on smooth functions of predictors (or linear functionals of these).

family

This is a family object specifying the distribution and link to use in fitting etc. See glm and family for more details. The extended families listed in family.mgcv can also be used.

data

A data frame or list containing the model response variable and covariates required by the formula. By default the variables are taken from environment(formula): typically the environment from which gam is called.

weights

prior weights on the contribution of the data to the log likelihood. Note that a weight of 2, for example, is equivalent to having made exactly the same observation twice. If you want to reweight the contributions of each datum without changing the overall magnitude of the log likelihood, then you should normalize the weights (e.g. weights <- weights/mean(weights)).

subset

an optional vector specifying a subset of observations to be used in the fitting process.

na.action

a function which indicates what should happen when the data contain `NA's. The default is set by the `na.action' setting of `options', and is `na.fail' if that is unset. The “factory-fresh” default is `na.omit'.

offset

Can be used to supply a model offset for use in fitting. Note that this offset will always be completely ignored when predicting, unlike an offset included in formula (this used to conform to the behaviour of lm and glm).

method

The smoothing parameter estimation method. "GCV.Cp" to use GCV for unknown scale parameter and Mallows' Cp/UBRE/AIC for known scale. "GACV.Cp" is equivalent, but using GACV in place of GCV. "REML" for REML estimation, including of unknown scale, "P-REML" for REML estimation, but using a Pearson estimate of the scale. "ML" and "P-ML" are similar, but using maximum likelihood in place of REML. Default "fREML" uses fast REML computation. When discrete=TRUE then "NCV" is also possible.

control

A list of fit control parameters to replace defaults returned by gam.control. Any control parameters not supplied stay at their default values.

select

Should selection penalties be added to the smooth effects, so that they can in principle be penalized out of the model? See gamma to increase penalization. Has the side effect that smooths no longer have a fixed effect component (improper prior from a Bayesian perspective) allowing REML comparison of models with the same fixed effect structure.

scale

If this is positive then it is taken as the known scale parameter. Negative signals that the scale paraemter is unknown. 0 signals that the scale parameter is 1 for Poisson and binomial and unknown otherwise. Note that (RE)ML methods can only work with scale parameter 1 for the Poisson and binomial cases.

gamma

Increase above 1 to force smoother fits. gamma is used to multiply the effective degrees of freedom in the GCV/UBRE/AIC score (so log(n)/2 is BIC like). n/gamma can be viewed as an effective sample size, which allows it to play a similar role for RE/ML smoothing parameter estimation.

knots

this is an optional list containing user specified knot values to be used for basis construction. For most bases the user simply supplies the knots to be used, which must match up with the k value supplied (note that the number of knots is not always just k). See tprs for what happens in the "tp"/"ts" case. Different terms can use different numbers of knots, unless they share a covariate.

sp

A vector of smoothing parameters can be provided here. Smoothing parameters must be supplied in the order that the smooth terms appear in the model formula. Negative elements indicate that the parameter should be estimated, and hence a mixture of fixed and estimated parameters is possible. If smooths share smoothing parameters then length(sp) must correspond to the number of underlying smoothing parameters. Note that discrete=TRUEmay result in re-ordering of variables in tensor product smooths for improved efficiency, and sp must be supplied in re-ordered order.

min.sp

Lower bounds can be supplied for the smoothing parameters. Note that if this option is used then the smoothing parameters full.sp, in the returned object, will need to be added to what is supplied here to get the smoothing parameters actually multiplying the penalties. length(min.sp) should always be the same as the total number of penalties (so it may be longer than sp, if smooths share smoothing parameters).

paraPen

optional list specifying any penalties to be applied to parametric model terms. gam.models explains more.

chunk.size

The model matrix is created in chunks of this size, rather than ever being formed whole. Reset to 4*p if chunk.size < 4*p where p is the number of coefficients.

rho

An AR1 error model can be used for the residuals (based on dataframe order), of Gaussian-identity link models. This is the AR1 correlation parameter. Standardized residuals (approximately uncorrelated under correct model) returned in std.rsd if non zero. Also usable with other models when discrete=TRUE, in which case the AR model is applied to the working residuals and corresponds to a GEE approximation.

AR.start

logical variable of same length as data, TRUE at first observation of an independent section of AR1 correlation. Very first observation in data frame does not need this. If NULL then there are no breaks in AR1 correlaion.

discrete

with method="fREML" it is possible to discretize covariates for storage and efficiency reasons. If discrete is TRUE, a number or a vector of numbers for each smoother term, then discretization happens. If numbers are supplied they give the number of discretization bins. Parametric terms use the maximum number specified.

cluster

bam can compute the computationally dominant QR decomposition in parallel using parLapply from the parallel package, if it is supplied with a cluster on which to do this (a cluster here can be some cores of a single machine). See details and example code.

nthreads

Number of threads to use for non-cluster computation (e.g. combining results from cluster nodes). If NA set to max(1,length(cluster)). See details.

gc.level

to keep the memory footprint down, it can help to call the garbage collector often, but this takes a substatial amount of time. Setting this to zero means that garbage collection only happens when R decides it should. Setting to 2 gives frequent garbage collection. 1 is in between. Not as much of a problem as it used to be, but can really matter for very large datasets.

use.chol

By default bam uses a very stable QR update approach to obtaining the QR decomposition of the model matrix. For well conditioned models an alternative accumulates the crossproduct of the model matrix and then finds its Choleski decomposition, at the end. This is somewhat more efficient, computationally.

samfrac

For very large sample size Generalized additive models the number of iterations needed for the model fit can be reduced by first fitting a model to a random sample of the data, and using the results to supply starting values. This initial fit is run with sloppy convergence tolerances, so is typically very low cost. samfrac is the sampling fraction to use. 0.1 is often reasonable.

coef

initial values for model coefficients

drop.unused.levels

by default unused levels are dropped from factors before fitting. For some smooths involving factor variables you might want to turn this off. Only do so if you know what you are doing.

G

if not NULL then this should be the object returned by a previous call to bam with fit=FALSE. Causes all other arguments to be ignored except sp, chunk.size, gamma,nthreads, cluster, rho, gc.level, samfrac, use.chol, method and scale (if >0).

fit

if FALSE then the model is set up for fitting but not estimated, and an object is returned, suitable for passing as the G argument to bam.

drop.intercept

Set to TRUE to force the model to really not have the a constant in the parametric model part, even with factor variables present.

in.out

If supplied then this is a two item list of intial values. sp is initial smoothing parameter estiamtes and scale the initial scale parameter estimate (set to 1 if famiy does not have one).

nei

list describing neighbourhood structure for NCV model smoothing parameter selection. See NCV for details.

...

further arguments for passing on e.g. to gam.fit (such as mustart).

Value

An object of class "gam" as described in gamObject.

Details

When discrete=FALSE, bam operates by first setting up the basis characteristics for the smooths, using a representative subsample of the data. Then the model matrix is constructed in blocks using predict.gam. For each block the factor R, from the QR decomposition of the whole model matrix is updated, along with Q'y. and the sum of squares of y. At the end of block processing, fitting takes place, without the need to ever form the whole model matrix.

In the generalized case, the same trick is used with the weighted model matrix and weighted pseudodata, at each step of the PIRLS. Smoothness selection is performed on the working model at each stage (performance oriented iteration), to maintain the small memory footprint. This is trivial to justify in the case of GCV or Cp/UBRE/AIC based model selection, and for REML/ML is justified via the asymptotic multivariate normality of Q'z where z is the IRLS pseudodata.

For full method details see Wood, Goude and Shaw (2015).

Note that POI is not as stable as the default nested iteration used with gam, but that for very large, information rich, datasets, this is unlikely to matter much.

Note also that it is possible to spend most of the computational time on basis evaluation, if an expensive basis is used. In practice this means that the default "tp" basis should be avoided: almost any other basis (e.g. "cr" or "ps") can be used in the 1D case, and tensor product smooths (te) are typically much less costly in the multi-dimensional case.

If cluster is provided as a cluster set up using makeCluster (or makeForkCluster) from the parallel package, then the rate limiting QR decomposition of the model matrix is performed in parallel using this cluster. Note that the speed ups are often not that great. On a multi-core machine it is usually best to set the cluster size to the number of physical cores, which is often less than what is reported by detectCores. Using more than the number of physical cores can result in no speed up at all (or even a slow down). Note that a highly parallel BLAS may negate all advantage from using a cluster of cores. Computing in parallel of course requires more memory than computing in series. See examples.

When discrete=TRUE the covariate data are first discretized. Discretization takes place on a smooth by smooth basis, or in the case of tensor product smooths (or any smooth that can be represented as such, such as random effects), separately for each marginal smooth. The required spline bases are then evaluated at the discrete values, and stored, along with index vectors indicating which original observation they relate to. Fitting is by a version of performance oriented iteration/PQL using REML smoothing parameter selection on each iterative working model (as for the default method). The iteration is based on the derivatives of the REML score, without computing the score itself, allowing the expensive computations to be reduced to one parallel block Cholesky decomposition per iteration (plus two basic operations of equal cost, but easily parallelized). Unlike standard POI/PQL, only one step of the smoothing parameter update for the working model is taken at each step (rather than iterating to the optimal set of smoothing parameters for each working model). At each step a weighted model matrix crossproduct of the model matrix is required - this is efficiently computed from the pre-computed basis functions evaluated at the discretized covariate values. Efficient computation with tensor product terms means that some terms within a tensor product may be re-ordered for maximum efficiency. See Wood et al (2017) and Li and Wood (2019) for full details.

With discrete=TRUE NCV can be used for smoothing parameter estimation. See NCV for details of how to set up neighbourhoods using the nei argument. NCV is applied to the working penalized linear model using in iterative fitting. The computation is more efficient than that used by gam provided neighbourhoods are small, but is still costly. It is not efficient for k-fold cross validation, for example. The small neighbourhood restriction is because a matrix of side length given by the neibourhood side needs to be inverted for each neighbourhood. Because computational cost is typically much higher than for REML, for large data/models it is usually worth basing the NCV criterion on a sub-sample of the full data set. Supplying a sample element of the nei list is the way to do this. See NCV.

When discrete=TRUE parallel computation is controlled using the nthreads argument. For this method no cluster computation is used, and the parallel package is not required. Note that actual speed up from parallelization depends on the BLAS installed and your hardware. With the (R default) reference BLAS using several threads can make a substantial difference, but with a single threaded tuned BLAS, such as openblas, the effect is less marked (since cache use is typically optimized for one thread, and is then sub optimal for several). However the tuned BLAS is usually much faster than using the reference BLAS, however many threads you use. If you have a multi-threaded BLAS installed then you should leave nthreads at 1, since calling a multi-threaded BLAS from multiple threads usually slows things down: the only exception to this is that you might choose to form discrete matrix cross products (the main cost in the fitting routine) in a multi-threaded way, but use single threaded code for other computations: this can be achieved by e.g. nthreads=c(2,1), which would use 2 threads for discrete inner products, and 1 for most code calling BLAS. Not that the basic reason that multi-threaded performance is often disappointing is that most computers are heavily memory bandwidth limited, not flop rate limited. It is hard to get data to one core fast enough, let alone trying to get data simultaneously to several cores.

discrete=TRUE will often produce identical results to the methods without discretization, since covariates often only take a modest number of discrete values anyway, so no approximation at all is involved in the discretization process. Even when some approximation is involved, the differences are often very small as the algorithms discretize marginally whenever possible. For example each margin of a tensor product smooth is discretized separately, rather than discretizing onto a grid of covariate values (for an equivalent isotropic smooth we would have to discretize onto a grid). The marginal approach allows quite fine scale discretization and hence very low approximation error. Note that when using the smooth id mechanism to link smoothing parameters, the discrete method cannot force the linked bases to be identical, so some differences to the none discrete methods will be noticable.

The extended families given in family.mgcv can also be used. The extra parameters of these are estimated by maximizing the penalized likelihood, rather than the restricted marginal likelihood as in gam. So estimates may differ slightly from those returned by gam. Estimation is accomplished by a Newton iteration to find the extra parameters (e.g. the theta parameter of the negative binomial or the degrees of freedom and scale of the scaled t) maximizing the log likelihood given the model coefficients at each iteration of the fitting procedure.

References

Wood, S.N., Goude, Y. & Shaw S. (2015) Generalized additive models for large datasets. Journal of the Royal Statistical Society, Series C 64(1): 139-155. doi:10.1111/rssc.12068

Wood, S.N., Li, Z., Shaddick, G. & Augustin N.H. (2017) Generalized additive models for gigadata: modelling the UK black smoke network daily data. Journal of the American Statistical Association. 112(519):1199-1210 doi:10.1080/01621459.2016.1195744

Li, Z & S.N. Wood (2020) Faster model matrix crossproducts for large generalized linear models with discretized covariates. Statistics and Computing. 30:19-25 doi:10.1007/s11222-019-09864-2

Author

Simon N. Wood simon.wood@r-project.org

WARNINGS

For method set to "fREML", "REML" or "ML" the returned smoothness criterion value is for the model itself, otherwise for the working model. The former is comparable to gam (but typically a little larger, since it was the working model version that was actually optimized), the latter not.

The routine may be slower than optimal if the default "tp" basis is used.

This routine is less stable than `gam' for the same dataset.

With discrete=TRUE, te terms are efficiently computed, but t2 are not.

Anything close to the maximum n of .Machine$integer.max will need a very large amount of RAM and probably gc.level=1.

Examples

library(mgcv)
## See help("mgcv-parallel") for using bam in parallel

## Sample sizes are small for fast run times.

set.seed(3)
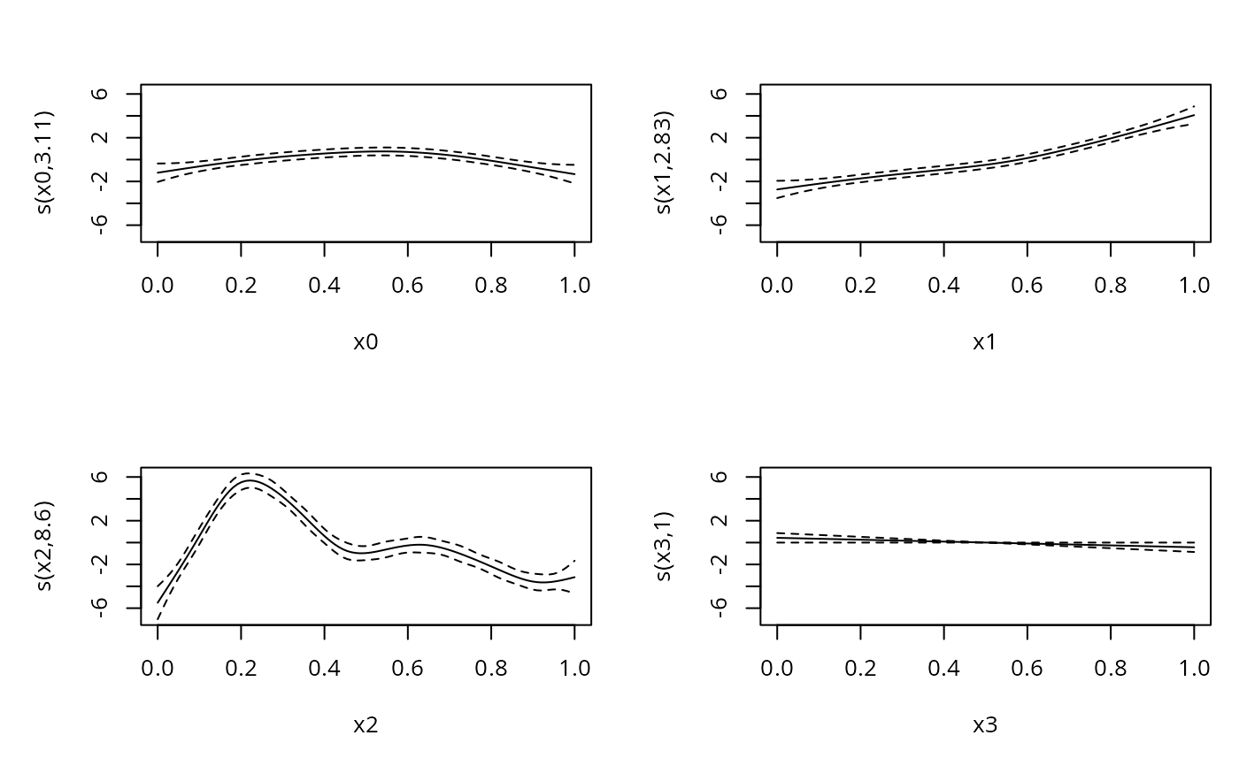
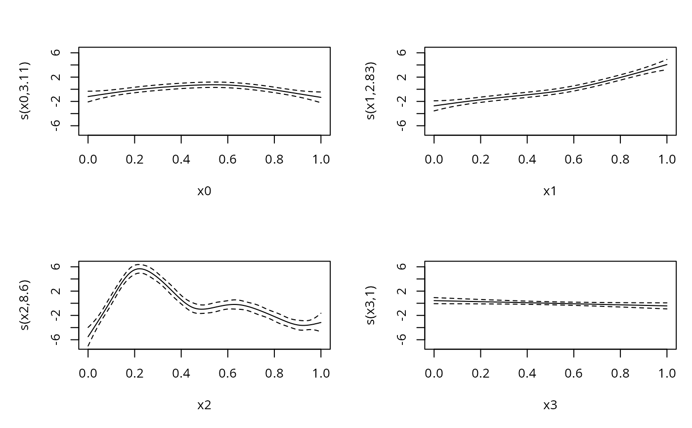
dat <- gamSim(1,n=25000,dist="normal",scale=20)
#> Gu & Wahba 4 term additive model
bs <- "cr";k <- 12
b <- bam(y ~ s(x0,bs=bs)+s(x1,bs=bs)+s(x2,bs=bs,k=k)+
           s(x3,bs=bs),data=dat)
summary(b)
#> 
#> Family: gaussian 
#> Link function: identity 
#> 
#> Formula:
#> y ~ s(x0, bs = bs) + s(x1, bs = bs) + s(x2, bs = bs, k = k) + 
#>     s(x3, bs = bs)
#> 
#> Parametric coefficients:
#>             Estimate Std. Error t value Pr(>|t|)    
#> (Intercept)   7.9459     0.1276   62.29   <2e-16 ***
#> ---
#> Signif. codes:  0 ‘***’ 0.001 ‘**’ 0.01 ‘*’ 0.05 ‘.’ 0.1 ‘ ’ 1
#> 
#> Approximate significance of smooth terms:
#>         edf Ref.df      F p-value    
#> s(x0) 3.113  3.863  6.664   4e-05 ***
#> s(x1) 2.826  3.509 63.026  <2e-16 ***
#> s(x2) 8.602  9.889 52.098  <2e-16 ***
#> s(x3) 1.002  1.004  3.829  0.0503 .  
#> ---
#> Signif. codes:  0 ‘***’ 0.001 ‘**’ 0.01 ‘*’ 0.05 ‘.’ 0.1 ‘ ’ 1
#> 
#> R-sq.(adj) =  0.0295   Deviance explained = 3.01%
#> fREML = 1.1057e+05  Scale est. = 406.15    n = 25000
plot(b,pages=1,rug=FALSE)  ## plot smooths, but not rug

plot(b,pages=1,rug=FALSE,seWithMean=TRUE) ## `with intercept' CIs


# \donttest{ 
ba <- bam(y ~ s(x0,bs=bs,k=k)+s(x1,bs=bs,k=k)+s(x2,bs=bs,k=k)+
            s(x3,bs=bs,k=k),data=dat,method="GCV.Cp") ## use GCV
summary(ba)# }
#> 
#> Family: gaussian 
#> Link function: identity 
#> 
#> Formula:
#> y ~ s(x0, bs = bs, k = k) + s(x1, bs = bs, k = k) + s(x2, bs = bs, 
#>     k = k) + s(x3, bs = bs, k = k)
#> 
#> Parametric coefficients:
#>             Estimate Std. Error t value Pr(>|t|)    
#> (Intercept)   7.9449     0.1276   62.27   <2e-16 ***
#> ---
#> Signif. codes:  0 ‘***’ 0.001 ‘**’ 0.01 ‘*’ 0.05 ‘.’ 0.1 ‘ ’ 1
#> 
#> Approximate significance of smooth terms:
#>         edf Ref.df      F  p-value    
#> s(x0) 2.602  3.242  7.364 4.36e-05 ***
#> s(x1) 2.722  3.390 65.177  < 2e-16 ***
#> s(x2) 7.893  9.272 55.005  < 2e-16 ***
#> s(x3) 6.680  8.048  1.635    0.109    
#> ---
#> Signif. codes:  0 ‘***’ 0.001 ‘**’ 0.01 ‘*’ 0.05 ‘.’ 0.1 ‘ ’ 1
#> 
#> R-sq.(adj) =  0.0297   Deviance explained = 3.05%
#> GCV = 406.39  Scale est. = 406.05    n = 25000

## A Poisson example...

k <- 15
dat <- gamSim(1,n=21000,dist="poisson",scale=.1)
#> Gu & Wahba 4 term additive model

system.time(b1 <- bam(y ~ s(x0,bs=bs)+s(x1,bs=bs)+s(x2,bs=bs,k=k),
            data=dat,family=poisson()))
#>    user  system elapsed 
#>   0.728   1.249   1.068 
b1
#> 
#> Family: poisson 
#> Link function: log 
#> 
#> Formula:
#> y ~ s(x0, bs = bs) + s(x1, bs = bs) + s(x2, bs = bs, k = k)
#> 
#> Estimated degrees of freedom:
#>  4.77  4.36 12.41  total = 22.54 
#> 
#> fREML score: 36899.64     

## Similar using faster discrete method...

# \donttest{ 
system.time(b2 <- bam(y ~ s(x0,bs=bs,k=k)+s(x1,bs=bs,k=k)+s(x2,bs=bs,k=k)+
            s(x3,bs=bs,k=k),data=dat,family=poisson(),discrete=TRUE))
#>    user  system elapsed 
#>   0.159   0.178   0.170 
b2
#> 
#> Family: poisson 
#> Link function: log 
#> 
#> Formula:
#> y ~ s(x0, bs = bs, k = k) + s(x1, bs = bs, k = k) + s(x2, bs = bs, 
#>     k = k) + s(x3, bs = bs, k = k)
#> 
#> Estimated degrees of freedom:
#>  4.96  4.44 12.43  1.02  total = 23.85 
#> 
#> fREML score: 36908.18     
# }