Smooth terms are generally only identifiable up to an additive constant. In consequence sum-to-zero identifiability constraints are imposed on most smooth terms. The exceptions are terms with by variables which cause the smooth to be identifiable without constraint (that doesn't include factor by variables), and random effect terms. Alternatively smooths can be set up to pass through zero at a user specified point.

Details

By default each smooth term is subject to the sum-to-zero constraint $$\sum_i f(x_i) = 0.$$ The constraint is imposed by reparameterization. The sum-to-zero constraint causes the term to be orthogonal to the intercept: alternative constraints lead to wider confidence bands for the constrained smooth terms.

No constraint is used for random effect terms, since the penalty (random effect covariance matrix) anyway ensures identifiability in this case. Also if a by variable means that the smooth is anyway identifiable, then no extra constraint is imposed. Constraints are imposed for factor by variables, so that the main effect of the factor must usually be explicitly added to the model (the example below is an exception).

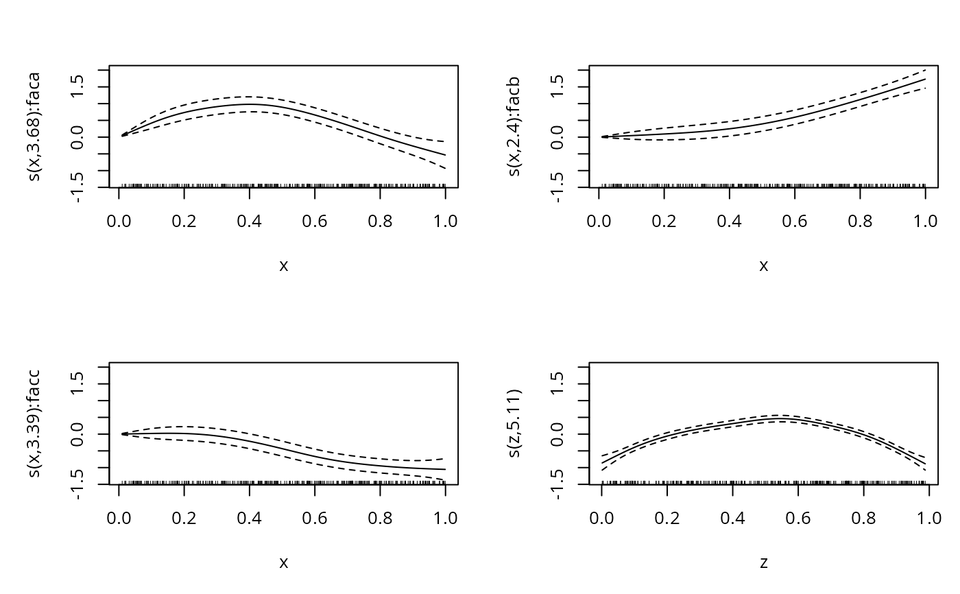
Occasionally it is desirable to substitute the constraint that a particular smooth curve should pass through zero at a particular point: the pc argument to s, te, ti and t2 allows this: if specified then such constraints are always applied.

Author

Simon N. Wood (s.wood@r-project.org)

Examples


## Example of three groups, each with a different smooth dependence on x
## but each starting at the same value...
require(mgcv)
set.seed(53)
n <- 100;x <- runif(3*n);z <- runif(3*n)
fac <- factor(rep(c("a","b","c"),each=100))
y <- c(sin(x[1:100]*4),exp(3*x[101:200])/10-.1,exp(-10*(x[201:300]-.5))/
       (1+exp(-10*(x[201:300]-.5)))-0.9933071) + z*(1-z)*5 + rnorm(100)*.4

## 'pc' used to constrain smooths to 0 at x=0...
b <- gam(y~s(x,by=fac,pc=0)+s(z)) 
plot(b,pages=1)