Family for use with gam or bam, implementing regression for censored data that can be modelled as Gaussian after Box-Cox transformation. If \(y>0\) is the response and $$z= \left \{ \begin{array}{ll} (y^\lambda-1)/\lambda & \lambda \ne 0 \\ \log(y) & \lambda =0 \end{array} \right . $$ with mean \(\mu\) and standard deviation \(w^{-1/2}\exp(\theta)\), then \(w^{1/2}(z-\mu)\exp(-\theta)\) follows an \(N(0,1)\) distribution. That is $$z \sim N(\mu,e^{2\theta}w^{-1}).$$ \(\theta\) is a single scalar for all observations, and similarly Box-Cox parameter \(\lambda\) is a single scalar. Observations may be left, interval or right censored or uncensored.

Note that the regression model here specifies the mean of the Box-Cox transformed response, not the mean of the response itself: this is rather different to the usual GLM approach.

bcg(theta=NULL,link="identity")

Arguments

theta

a 2-vector containing the Box-Cox parameter \(\lambda\) and the log standard deviation parameter \(\theta\). If supplied and positive then taken as a fixed value of \(\lambda\) and \(\exp(\theta)\). If supplied and second element negative taken as initial value and negative of initial value respectively.

The link function: "identity", "log" or "sqrt".

Value

An object of class extended.family.

Details

If the family is used with a vector response, then it is assumed that there is no censoring. If there is censoring then the response should be supplied as a two column matrix. The first column is always numeric. Entries in the second column are as follows.

  • If an entry is identical to the corresponding first column entry, then it is an uncensored observation.

  • If an entry is numeric and different to the first column entry then there is interval censoring. The first column entry is the lower interval limit and the second column entry is the upper interval limit. \(y\) is only known to be between these limits.

  • If the second column entry is 0 then the observation is left censored at the value of the entry in the first column. It is only known that \(y\) is less than or equal to the first column value.

  • If the second column entry is Inf then the observation is right censored at the value of the entry in the first column. It is only known that \(y\) is greater than or equal to the first column value.

Any mixture of censored and uncensored data is allowed, but be aware that data consisting only of right and/or left censored data contain very little information.

Author

Simon N. Wood simon.wood@r-project.org

See also

References

Wood, S.N., N. Pya and B. Saefken (2016), Smoothing parameter and model selection for general smooth models. Journal of the American Statistical Association 111, 1548-1575 doi:10.1080/01621459.2016.1180986

Examples

library(mgcv)

set.seed(3) ## Simulate some gamma data?
dat <- gamSim(1,n=400,dist="normal",scale=1)
#> Gu & Wahba 4 term additive model
dat$f <- dat$f/4 ## true linear predictor 
Ey <- exp(dat$f);scale <- .5 ## mean and GLM scale parameter
dat$y <- rgamma(Ey*0,shape=1/scale,scale=Ey*scale)

## Just Box-Cox no censoring...
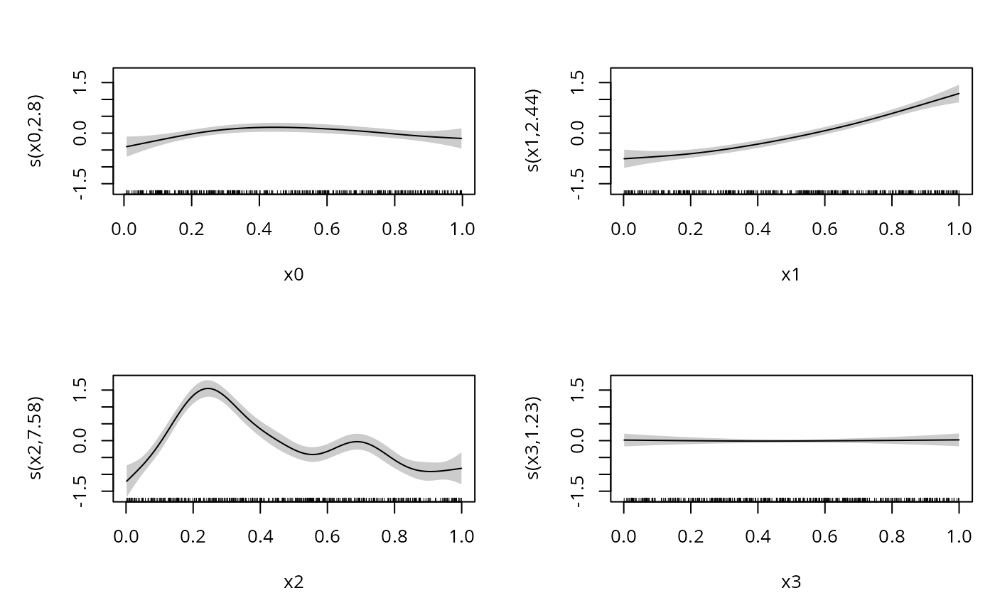
b <- gam(y~s(x0)+s(x1)+s(x2)+s(x3),family=bcg,data=dat)
summary(b)
#> 
#> Family: bcg(0.079,0.928) 
#> Link function: identity 
#> 
#> Formula:
#> y ~ s(x0) + s(x1) + s(x2) + s(x3)
#> 
#> Parametric coefficients:
#>             Estimate Std. Error z value Pr(>|z|)    
#> (Intercept)   1.9160     0.0464   41.29   <2e-16 ***
#> ---
#> Signif. codes:  0 ‘***’ 0.001 ‘**’ 0.01 ‘*’ 0.05 ‘.’ 0.1 ‘ ’ 1
#> 
#> Approximate significance of smooth terms:
#>         edf Ref.df Chi.sq p-value    
#> s(x0) 2.798  3.483  10.88  0.0187 *  
#> s(x1) 2.441  3.038 152.84  <2e-16 ***
#> s(x2) 7.585  8.483 265.46  <2e-16 ***
#> s(x3) 1.229  1.422   0.08  0.9132    
#> ---
#> Signif. codes:  0 ‘***’ 0.001 ‘**’ 0.01 ‘*’ 0.05 ‘.’ 0.1 ‘ ’ 1
#> 
#> R-sq.(adj) =  0.0527   Deviance explained = 52.1%
#> -REML = 1198.6  Scale est. = 1         n = 400
plot(b,pages=1,scheme=1)


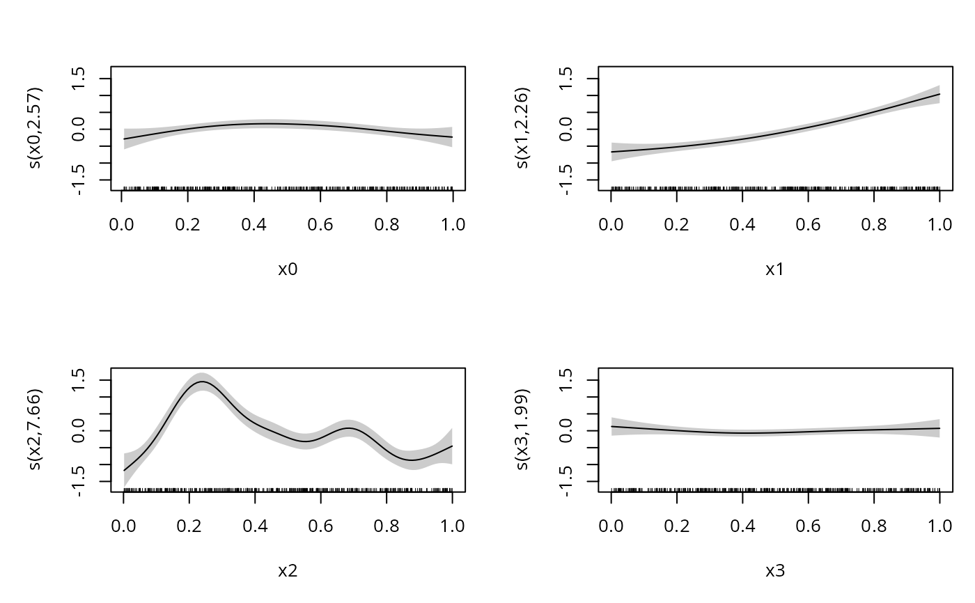
## try various censoring...
yb <- cbind(dat$y,dat$y)
ind <- 1:100
yb[ind,2] <- yb[ind,1] + runif(100)*3
yb[51:100,2] <- 0 ## left censored
yb[101:140,2] <- Inf ## right censored

b <- gam(yb~s(x0)+s(x1)+s(x2)+s(x3),family=bcg,data=dat)
summary(b)
#> 
#> Family: bcg(0.05,0.948) 
#> Link function: identity 
#> 
#> Formula:
#> yb ~ s(x0) + s(x1) + s(x2) + s(x3)
#> 
#> Parametric coefficients:
#>             Estimate Std. Error z value Pr(>|z|)    
#> (Intercept)  1.84207    0.04977   37.01   <2e-16 ***
#> ---
#> Signif. codes:  0 ‘***’ 0.001 ‘**’ 0.01 ‘*’ 0.05 ‘.’ 0.1 ‘ ’ 1
#> 
#> Approximate significance of smooth terms:
#>         edf Ref.df  Chi.sq p-value    
#> s(x0) 2.568  3.199   8.111  0.0506 .  
#> s(x1) 2.256  2.808 103.527  <2e-16 ***
#> s(x2) 7.661  8.533 192.256  <2e-16 ***
#> s(x3) 1.990  2.480   1.032  0.5643    
#> ---
#> Signif. codes:  0 ‘***’ 0.001 ‘**’ 0.01 ‘*’ 0.05 ‘.’ 0.1 ‘ ’ 1
#> 
#> R-sq.(adj) =  0.0429   Deviance explained =   42%
#> -REML = 1008.3  Scale est. = 1         n = 400
plot(b,pages=1,scheme=1)