gam can use univariate penalized cubic regression spline smooths, specified via terms like s(x,bs="cr"). s(x,bs="cs") specifies a penalized cubic regression spline which has had its penalty modified to shrink towards zero at high enough smoothing parameters (as the smoothing parameter goes to infinity a normal cubic spline tends to a straight line.) s(x,bs="cc") specifies a cyclic penalized cubic regression spline smooth.

`Cardinal' spline bases are used: Wood (2017) sections 5.3.1 and 5.3.2 gives full details. These bases have very low setup costs. For a given basis dimension, k, they typically perform a little less well then thin plate regression splines, but a little better than p-splines. See te to use these bases in tensor product smooths of several variables.

Default k is 10.

# S3 method for class 'cr.smooth.spec'
smooth.construct(object, data, knots)
# S3 method for class 'cs.smooth.spec'
smooth.construct(object, data, knots)
# S3 method for class 'cc.smooth.spec'
smooth.construct(object, data, knots)

Arguments

object

a smooth specification object, usually generated by a term s(...,bs="cr",...), s(...,bs="cs",...) or s(...,bs="cc",...)

data

a list containing just the data (including any by variable) required by this term, with names corresponding to object$term (and object$by). The by variable is the last element.

knots

a list containing any knots supplied for basis setup — in same order and with same names as data. Can be NULL. See details.

Value

An object of class "cr.smooth" "cs.smooth" or "cyclic.smooth". In addition to the usual elements of a smooth class documented under smooth.construct, this object will contain:

xp

giving the knot locations used to generate the basis.

F

For class "cr.smooth" and "cs.smooth" objects t(F) transforms function values at the knots to second derivatives at the knots.

BD

class "cyclic.smooth" objects include matrix BD which transforms function values at the knots to second derivatives at the knots.

Details

The constructor is not normally called directly, but is rather used internally by gam. To use for basis setup it is recommended to use smooth.construct2.

If they are not supplied then the knots of the spline are placed evenly throughout the covariate values to which the term refers: For example, if fitting 101 data with an 11 knot spline of x then there would be a knot at every 10th (ordered) x value. The parameterization used represents the spline in terms of its values at the knots. The values at neighbouring knots are connected by sections of cubic polynomial constrained to be continuous up to and including second derivative at the knots. The resulting curve is a natural cubic spline through the values at the knots (given two extra conditions specifying that the second derivative of the curve should be zero at the two end knots).

The shrinkage version of the smooth, eigen-decomposes the wiggliness penalty matrix, and sets its 2 zero eigenvalues to small multiples of the smallest strictly positive eigenvalue. The penalty is then set to the matrix with eigenvectors corresponding to those of the original penalty, but eigenvalues set to the peturbed versions. This penalty matrix has full rank and shrinks the curve to zero at high enough smoothing parameters.

Note that the cyclic smoother will wrap at the smallest and largest covariate values, unless knots are supplied. If only two knots are supplied then they are taken as the end points of the smoother (provided all the data lie between them), and the remaining knots are generated automatically.

The cyclic smooth is not subject to the condition that second derivatives go to zero at the first and last knots.

References

Wood S.N. (2017) Generalized Additive Models: An Introduction with R (2nd edition). Chapman and Hall/CRC Press.

Author

Simon N. Wood simon.wood@r-project.org

Examples

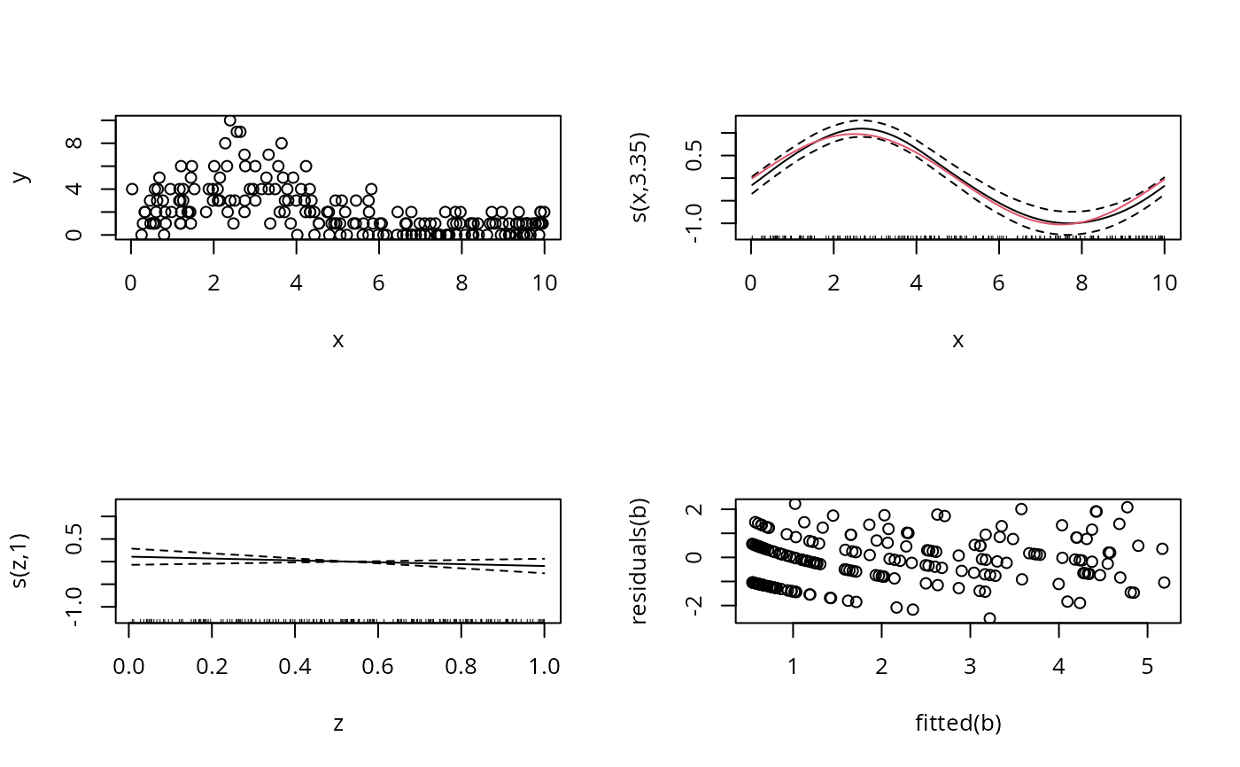
## cyclic spline example...
  require(mgcv)
  set.seed(6)
  x <- sort(runif(200)*10)
  z <- runif(200)
  f <- sin(x*2*pi/10)+.5
  y <- rpois(exp(f),exp(f)) 

## finished simulating data, now fit model...
  b <- gam(y ~ s(x,bs="cc",k=12) + s(z),family=poisson,
                      knots=list(x=seq(0,10,length=12)))
## or more simply
   b <- gam(y ~ s(x,bs="cc",k=12) + s(z),family=poisson,
                      knots=list(x=c(0,10)))

## plot results...
  par(mfrow=c(2,2))
  plot(x,y);plot(b,select=1,shade=TRUE);lines(x,f-mean(f),col=2)
  plot(b,select=2,shade=TRUE);plot(fitted(b),residuals(b))