Solves least squares problems with quadratic penalties subject to linear equality and inequality constraints using quadratic programming.

pcls(M)

Arguments

M

is the single list argument to pcls. It should have the following elements:

y

The response data vector.

w

A vector of weights for the data (often proportional to the reciprocal of the variance).

X

The design matrix for the problem, note that ncol(M$X) must give the number of model parameters, while nrow(M$X) should give the number of data.

C

Matrix containing any linear equality constraints on the problem (e.g. \( \bf C\) in \( {\bf Cp}={\bf c} \)). If you have no equality constraints initialize this to a zero by zero matrix. Note that there is no need to supply the vector \( \bf c\), it is defined implicitly by the initial parameter estimates \( \bf p\).

S

A list of penalty matrices. S[[i]] is the smallest contiguous matrix including all the non-zero elements of the ith penalty matrix. The first parameter it penalizes is given by off[i]+1 (starting counting at 1).

off

Offset values locating the elements of M$S in the correct location within each penalty coefficient matrix. (Zero offset implies starting in first location)

sp

An array of smoothing parameter estimates.

p

An array of feasible initial parameter estimates - these must satisfy the constraints, but should avoid satisfying the inequality constraints as equality constraints (unless these are constraints in active).

Ain

Matrix for the inequality constraints \( {\bf A}_{in} {\bf p} > {\bf b}_{in}\).

bin

vector in the inequality constraints.

active

if present this indexes any inequality constraints currently active. Typically only used in applications calling pcls sequentially. Must never exceed dimension of p minus the number of fixed constraints.

Details

This solves the problem:

$$ minimise~ \| { \bf W}^{1/2} ({ \bf Xp - y} ) \|^2 + \sum_{i=1}^m \lambda_i {\bf p^\prime S}_i{\bf p} $$ subject to constraints \( {\bf Cp}={\bf c}\) and \( {\bf A}_{in}{\bf p}>{\bf b}_{in}\), w.r.t. \(\bf p\) given the smoothing parameters \(\lambda_i\). \( {\bf X}\) is a design matrix, \(\bf p\) a parameter vector, \(\bf y\) a data vector, \(\bf W\) a diagonal weight matrix, \( {\bf S}_i\) a positive semi-definite matrix of coefficients defining the ith penalty and \(\bf C\) a matrix of coefficients defining the linear equality constraints on the problem. The smoothing parameters are the \(\lambda_i\). Note that \( {\bf X}\) must be of full column rank, at least when projected into the null space of any equality constraints. \( {\bf A}_{in}\) is a matrix of coefficients defining the inequality constraints, while \( {\bf b}_{in}\) is a vector involved in defining the inequality constraints.

Quadratic programming is used to perform the solution. The method used is designed for maximum stability with least squares problems: i.e. \( {\bf X}^\prime {\bf X}\) is not formed explicitly. See Gill et al. 1981.

Value

The function returns a vector of the estimated parameter values. This has an attribute active giving the indices of the active constraints. If none are active this attribute will be of length 0.

References

Gill, P.E., Murray, W. and Wright, M.H. (1981) Practical Optimization. Academic Press, London.

Wood, S.N. (1994) Monotonic smoothing splines fitted by cross validation SIAM Journal on Scientific Computing 15(5):1126-1133

Author

Simon N. Wood simon.wood@r-project.org

See also

Examples

require(mgcv)
# first an un-penalized example - fit E(y)=a+bx subject to a>0
set.seed(0)
n <- 100
x <- runif(n); y <- x - 0.2 + rnorm(n)*0.1
M <- list(X=matrix(0,n,2),p=c(0.1,0.5),off=array(0,0),S=list(),
Ain=matrix(0,1,2),bin=0,C=matrix(0,0,0),sp=array(0,0),y=y,w=y*0+1)
M$X[,1] <- 1; M$X[,2] <- x; M$Ain[1,] <- c(1,0)
pcls(M) -> M$p
plot(x,y); abline(M$p,col=2); abline(coef(lm(y~x)),col=3)


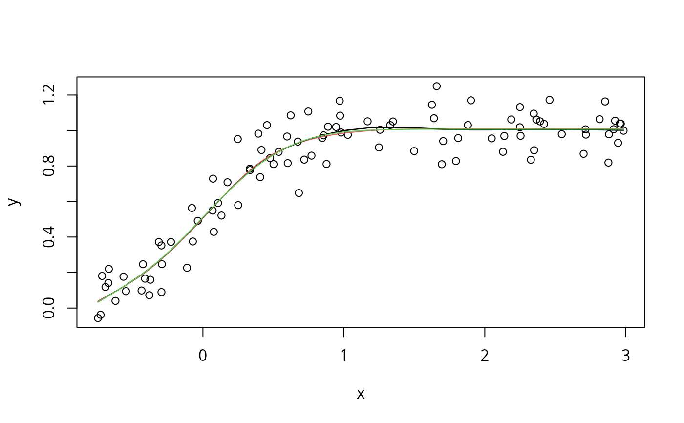
# Penalized example: monotonic penalized regression spline .....

# Generate data from a monotonic truth.
x <- runif(100)*4-1;x <- sort(x);
f <- exp(4*x)/(1+exp(4*x)); y <- f+rnorm(100)*0.1; plot(x,y)
dat <- data.frame(x=x,y=y)
# Show regular spline fit (and save fitted object)
f.ug <- gam(y~s(x,k=10,bs="cr")); lines(x,fitted(f.ug))
# Create Design matrix, constraints etc. for monotonic spline....
sm <- smoothCon(s(x,k=10,bs="cr"),dat,knots=NULL)[[1]]
F <- mono.con(sm$xp);   # get constraints
G <- list(X=sm$X,C=matrix(0,0,0),sp=f.ug$sp,p=sm$xp,y=y,w=y*0+1)
G$Ain <- F$A;G$bin <- F$b;G$S <- sm$S;G$off <- 0

p <- pcls(G);  # fit spline (using s.p. from unconstrained fit)

fv<-Predict.matrix(sm,data.frame(x=x))%*%p
lines(x,fv,col=2)

# now a tprs example of the same thing....

f.ug <- gam(y~s(x,k=10)); lines(x,fitted(f.ug))
# Create Design matrix, constriants etc. for monotonic spline....
sm <- smoothCon(s(x,k=10,bs="tp"),dat,knots=NULL)[[1]]
xc <- 0:39/39 # points on [0,1]  
nc <- length(xc)  # number of constraints
xc <- xc*4-1  # points at which to impose constraints
A0 <- Predict.matrix(sm,data.frame(x=xc)) 
# ... A0%*%p evaluates spline at xc points
A1 <- Predict.matrix(sm,data.frame(x=xc+1e-6)) 
A <- (A1-A0)/1e-6    
##  ... approx. constraint matrix (A%*%p is -ve 
## spline gradient at points xc)
G <- list(X=sm$X,C=matrix(0,0,0),sp=f.ug$sp,y=y,w=y*0+1,S=sm$S,off=0)
G$Ain <- A;    # constraint matrix
G$bin <- rep(0,nc);  # constraint vector
G$p <- rep(0,10); G$p[10] <- 0.1  
# ... monotonic start params, got by setting coefs of polynomial part
p <- pcls(G);  # fit spline (using s.p. from unconstrained fit)

fv2 <- Predict.matrix(sm,data.frame(x=x))%*%p
lines(x,fv2,col=3)


######################################
## monotonic additive model example...
######################################

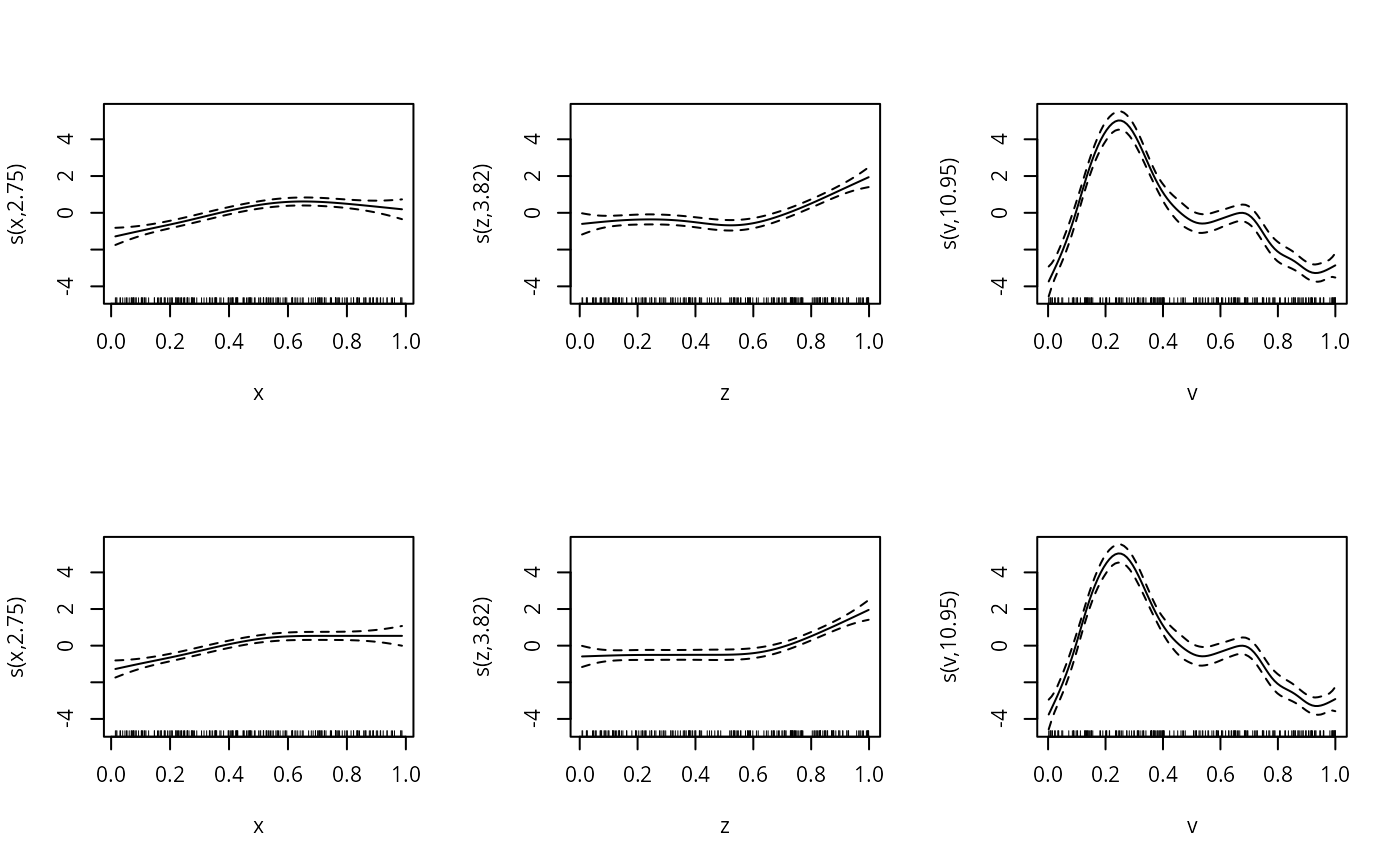
## First simulate data...

set.seed(10)
f1 <- function(x) 5*exp(4*x)/(1+exp(4*x));
f2 <- function(x) {
  ind <- x > .5
  f <- x*0
  f[ind] <- (x[ind] - .5)^2*10
  f 
}
f3 <- function(x) 0.2 * x^11 * (10 * (1 - x))^6 + 
      10 * (10 * x)^3 * (1 - x)^10
n <- 200
x <- runif(n); z <- runif(n); v <- runif(n)
mu <- f1(x) + f2(z) + f3(v)
y <- mu + rnorm(n)

## Preliminary unconstrained gam fit...
G <- gam(y~s(x)+s(z)+s(v,k=20),fit=FALSE)
b <- gam(G=G)

## generate constraints, by finite differencing
## using predict.gam ....
eps <- 1e-7
pd0 <- data.frame(x=seq(0,1,length=100),z=rep(.5,100),
                  v=rep(.5,100))
pd1 <- data.frame(x=seq(0,1,length=100)+eps,z=rep(.5,100),
                  v=rep(.5,100))
X0 <- predict(b,newdata=pd0,type="lpmatrix")
X1 <- predict(b,newdata=pd1,type="lpmatrix")
Xx <- (X1 - X0)/eps ## Xx %*% coef(b) must be positive 
pd0 <- data.frame(z=seq(0,1,length=100),x=rep(.5,100),
                  v=rep(.5,100))
pd1 <- data.frame(z=seq(0,1,length=100)+eps,x=rep(.5,100),
                  v=rep(.5,100))
X0 <- predict(b,newdata=pd0,type="lpmatrix")
X1 <- predict(b,newdata=pd1,type="lpmatrix")
Xz <- (X1-X0)/eps
G$Ain <- rbind(Xx,Xz) ## inequality constraint matrix
G$bin <- rep(0,nrow(G$Ain))
G$C = matrix(0,0,ncol(G$X))
G$sp <- b$sp
G$p <- coef(b)
G$off <- G$off-1 ## to match what pcls is expecting
## force inital parameters to meet constraint
G$p[11:18] <- G$p[2:9]<- 0
p <- pcls(G) ## constrained fit
par(mfrow=c(2,3))
plot(b) ## original fit
b$coefficients <- p
plot(b) ## constrained fit

## note that standard errors in preceding plot are obtained from
## unconstrained fit