Family for use with gam, implementing regression for categorical response data. Categories must be coded 0 to K, where K is a positive integer. gam should be called with a list of K formulae, one for each category except category zero (extra formulae for shared terms may also be supplied: see formula.gam). The first formula also specifies the response variable.

multinom(K=1)

Arguments

K

There are K+1 categories and K linear predictors.

Value

An object of class general.family.

Details

The model has K linear predictors, \(\eta_j\), each dependent on smooth functions of predictor variables, in the usual way. If response variable, y, contains the class labels 0,...,K then the likelihood for y>0 is \(\exp(\eta_y)/\{1+\sum_j \exp(\eta_j) \}\). If y=0 the likelihood is \(1/\{1+\sum_j \exp(\eta_j) \}\). In the two class case this is just a binary logistic regression model. The implementation uses the approach to GAMLSS models described in Wood, Pya and Saefken (2016).

The residuals returned for this model are simply the square root of -2 times the deviance for each observation, with a positive sign if the observed y is the most probable class for this observation, and a negative sign otherwise.

Use predict with type="response" to get the predicted probabilities in each category.

Note that the model is not completely invariant to category relabelling, even if all linear predictors have the same form. Realistically this model is unlikely to be suitable for problems with large numbers of categories. Missing categories are not supported.

Author

Simon N. Wood simon.wood@r-project.org, with a variance bug fix from Max Goplerud.

References

Wood, S.N., N. Pya and B. Saefken (2016), Smoothing parameter and model selection for general smooth models. Journal of the American Statistical Association 111, 1548-1575 doi:10.1080/01621459.2016.1180986

See also

Examples

library(mgcv)
set.seed(6)
## simulate some data from a three class model
n <- 1000
f1 <- function(x) sin(3*pi*x)*exp(-x)
f2 <- function(x) x^3
f3 <- function(x) .5*exp(-x^2)-.2
f4 <- function(x) 1
x1 <- runif(n);x2 <- runif(n)
eta1 <- 2*(f1(x1) + f2(x2))-.5
eta2 <- 2*(f3(x1) + f4(x2))-1
p <- exp(cbind(0,eta1,eta2))
p <- p/rowSums(p) ## prob. of each category 
cp <- t(apply(p,1,cumsum)) ## cumulative prob.
## simulate multinomial response with these probabilities
## see also ?rmultinom
y <- apply(cp,1,function(x) min(which(x>runif(1))))-1
## plot simulated data...
plot(x1,x2,col=y+3)


## now fit the model...
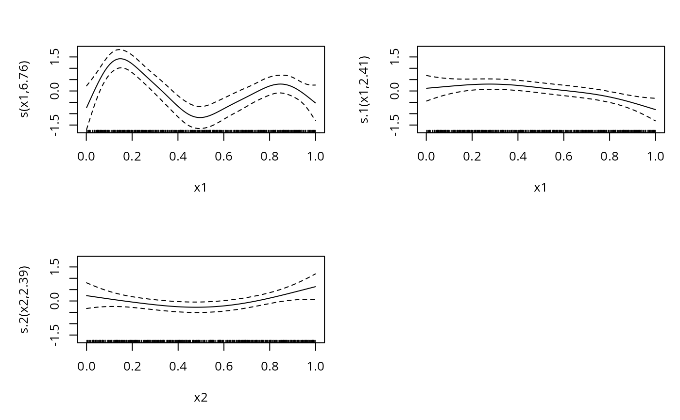
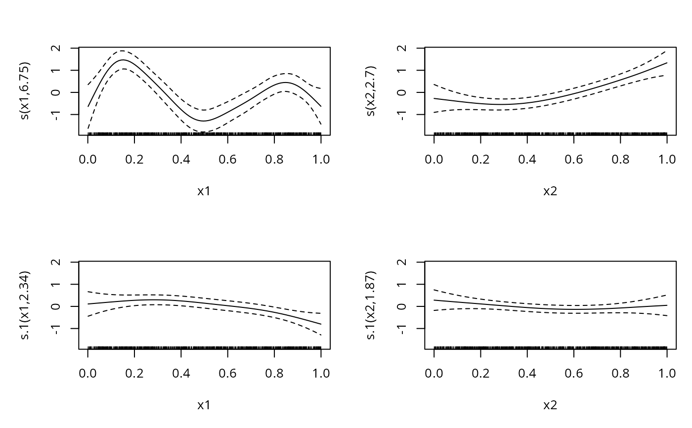
b <- gam(list(y~s(x1)+s(x2),~s(x1)+s(x2)),family=multinom(K=2))
plot(b,pages=1)

gam.check(b)

#> 
#> Method: REML   Optimizer: outer newton
#> full convergence after 5 iterations.
#> Gradient range [-3.766644e-09,2.497639e-07]
#> (score 729.5551 & scale 1).
#> Hessian positive definite, eigenvalue range [0.1937675,2.149317].
#> Model rank =  38 / 38 
#> 
#> Basis dimension (k) checking results. Low p-value (k-index<1) may
#> indicate that k is too low, especially if edf is close to k'.
#> 
#>           k'  edf k-index p-value
#> s(x1)   9.00 6.75    1.03    0.88
#> s(x2)   9.00 2.70    0.96    0.15
#> s.1(x1) 9.00 2.34    1.03    0.84
#> s.1(x2) 9.00 1.87    0.96    0.16

## now a simple classification plot...
expand.grid(x1=seq(0,1,length=40),x2=seq(0,1,length=40)) -> gr
pp <- predict(b,newdata=gr,type="response")
pc <- apply(pp,1,function(x) which(max(x)==x)[1])-1
plot(gr,col=pc+3,pch=19)


## example sharing a smoother between linear predictors
## ?formula.gam gives more details.
b <- gam(list(y~s(x1),~s(x1),1+2~s(x2)-1),family=multinom(K=2))
plot(b,pages=1)