The gevlss family implements Generalized Extreme Value location scale additive models in which the location, scale and shape parameters depend on additive smooth predictors. Usable only with gam, the linear predictors are specified via a list of formulae.

gevlss(link=list("identity","identity","logit"))

Arguments

three item list specifying the link for the location scale and shape parameters. See details.

Value

An object inheriting from class general.family.

Details

Used with gam to fit Generalized Extreme Value distribution location scale and shape models. The p.d.f. is $$t(y)^{\xi+1}e^{-t(y)}/\sigma$$ where \(t(y) = \left \{1+\xi(y-\mu)/\sigma \right\}^{-1/\xi}\) if \(\xi \ne 0\) and \(t(y) = \exp\{-(y-\mu)/\sigma\}\) if \(\xi=0\).

gam is called with a list containing 3 formulae: the first specifies the response on the left hand side and the structure of the linear predictor for the location parameter, \(\mu\), on the right hand side. The second is one sided, specifying the linear predictor for the log scale parameter, \(\rho=\log(\sigma)\), on the right hand side. The third is one sided specifying the linear predictor for the shape parameter, \(\xi\).

Link functions "identity" and "log" are available for the location (\(\mu\)) parameter. There is no choice of link for the log scale parameter (\(\rho = \log(\sigma)\)). The shape parameter (\(\xi\)) defaults to a modified logit link restricting its range to (-1,.5), the upper limit is required to ensure finite variance, while the lower limit ensures consistency of the MLE (Smith, 1985).

The fitted values for this family will be a three column matrix. The first column is the location parameter, the second column is the log scale parameter, the third column is the shape parameter.

This family does not produce a null deviance. Note that the distribution for \(\xi=0\) is approximated by setting \(\xi\) to a small number.

The derivative system code for this family is mostly auto-generated, and the family is still somewhat experimental.

The GEV distribution is rather challenging numerically, and for small datasets or poorly fitting models improved numerical robustness may be obtained by using the extended Fellner-Schall method of Wood and Fasiolo (2017) for smoothing parameter estimation. See examples.

References

Smith, R.L. (1985) Maximum likelihood estimation in a class of nonregular cases. Biometrika 72(1):67-90

Wood, S.N., N. Pya and B. Saefken (2016), Smoothing parameter and model selection for general smooth models. Journal of the American Statistical Association 111, 1548-1575 doi:10.1080/01621459.2016.1180986

Wood, S.N. and M. Fasiolo (2017) A generalized Fellner-Schall method for smoothing parameter optimization with application to Tweedie location, scale and shape models. Biometrics 73(4): 1071-1081. doi:10.1111/biom.12666

Examples

library(mgcv)
Fi.gev <- function(z,mu,sigma,xi) {
## GEV inverse cdf.
  xi[abs(xi)<1e-8] <- 1e-8 ## approximate xi=0, by small xi
  x <- mu + ((-log(z))^-xi-1)*sigma/xi
}

## simulate test data...
f0 <- function(x) 2 * sin(pi * x)
f1 <- function(x) exp(2 * x)
f2 <- function(x) 0.2 * x^11 * (10 * (1 - x))^6 + 10 * 
            (10 * x)^3 * (1 - x)^10
set.seed(1)
n <- 500
x0 <- runif(n);x1 <- runif(n);x2 <- runif(n)
mu <- f2(x2)
rho <- f0(x0)
xi <- (f1(x1)-4)/9
y <- Fi.gev(runif(n),mu,exp(rho),xi)
dat <- data.frame(y,x0,x1,x2);pairs(dat)


## fit model....
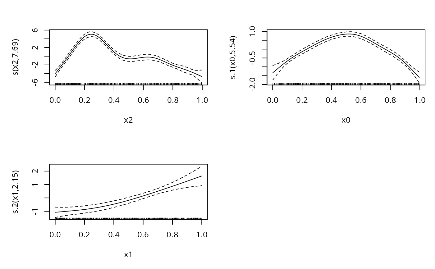
b <- gam(list(y~s(x2),~s(x0),~s(x1)),family=gevlss,data=dat)
#> Warning: NaNs produced
#> Warning: NaNs produced

## same fit using the extended Fellner-Schall method which
## can provide improved numerical robustness... 
b <- gam(list(y~s(x2),~s(x0),~s(x1)),family=gevlss,data=dat,
         optimizer="efs")
#> Warning: NaNs produced
#> Warning: NaNs produced

## plot and look at residuals...
plot(b,pages=1,scale=0)

summary(b)
#> 
#> Family: gevlss 
#> Link function: identity identity logit 
#> 
#> Formula:
#> y ~ s(x2)
#> <environment: 0x5efde52c18d0>
#> ~s(x0)
#> <environment: 0x5efde52c18d0>
#> ~s(x1)
#> <environment: 0x5efde52c18d0>
#> 
#> Parametric coefficients:
#>               Estimate Std. Error z value Pr(>|z|)    
#> (Intercept)    3.41804    0.11512  29.690  < 2e-16 ***
#> (Intercept).1  1.35086    0.03607  37.447  < 2e-16 ***
#> (Intercept).2  0.49110    0.11537   4.257 2.08e-05 ***
#> ---
#> Signif. codes:  0 ‘***’ 0.001 ‘**’ 0.01 ‘*’ 0.05 ‘.’ 0.1 ‘ ’ 1
#> 
#> Approximate significance of smooth terms:
#>           edf Ref.df Chi.sq p-value    
#> s(x2)   7.687  8.513 655.25  <2e-16 ***
#> s.1(x0) 5.541  6.668 479.94  <2e-16 ***
#> s.2(x1) 2.152  2.667  46.96  <2e-16 ***
#> ---
#> Signif. codes:  0 ‘***’ 0.001 ‘**’ 0.01 ‘*’ 0.05 ‘.’ 0.1 ‘ ’ 1
#> 
#> Deviance explained =   NA%
#> -REML = 1481.5  Scale est. = 1         n = 500

par(mfrow=c(2,2))
mu <- fitted(b)[,1];rho <- fitted(b)[,2]
xi <- fitted(b)[,3]
## Get the predicted expected response... 
fv <- mu + exp(rho)*(gamma(1-xi)-1)/xi
rsd <- residuals(b)
plot(fv,rsd);qqnorm(rsd)
plot(fv,residuals(b,"pearson"))
plot(fv,residuals(b,"response"))