position_jitternudge() combines into one function the action of
position_jitter and
position_nudge. It is useful when labels to jittered
plots and when adding jitter to text labels linked to points plotted without
jitter. It can replace other position functions as it is backwards
compatible. Like all other position functions in 'ggpp' and 'ggrepel' it
preserves the initial position to allow drawing of segments or arrow linking
the original position to the displaced one.
Usage
position_jitternudge(
width = NULL,
height = NULL,
seed = NA,
x = 0,
y = 0,
direction = c("as.is", "alternate", "split"),
nudge.from = c("original", "original.x", "original.y", "jittered", "jittered.y",
"jittered.x"),
kept.origin = c("jittered", "original", "none")
)
position_jitter_keep(
width = NULL,
height = NULL,
seed = NA,
kept.origin = "original"
)Arguments
- width, height
Amount of vertical and horizontal jitter. The jitter is added in both positive and negative directions, so the total spread is twice the value specified here. If omitted, defaults to 40 resolution of the data: this means the jitter values will occupy 80 implied bins. Categorical data is aligned on the integers, so a width or height of 0.5 will spread the data so it's not possible to see the distinction between the categories.
- seed
A random seed to make the jitter reproducible. Useful if you need to apply the same jitter twice, e.g., for a point and a corresponding label. The random seed is reset after jittering. If
NA(the default value), the seed is initialised with a random value; this makes sure that two subsequent calls start with a different seed. UseNULLto use the current random seed and also avoid resetting (the behaviour of ggplot 2.2.1 and earlier).- x, y
Amount of vertical and horizontal distance to move. A numeric vector of length 1, or of the same length as rows there are in
data, with nudge values in data rows order.- direction
One of
"as.is","alternate","split","split.x"or"split.y". A value of"none"replicates the behavior ofposition_nudge."split"changes the sign of the nudge depending on the direction of the random jitter applied to each individual observation, which is suitable for nudging labels outward of the jittered data.- nudge.from
One of
"original","jittered","original.y"(or"jittered.x"),"original.x"(or"jittered.y"). A value of"original"applies the nudge before jittering the observations, while"jittered"applies the nudging after jittering.- kept.origin
One of
"original","jittered"or"none".
Value
A "Position" object. The layer function within it returns a
data frame, with the jittered + nudged values in columns x and
y and by default the jittered values with no nudging as
x_orig and y_orig. With nudge.from = "original" the
original values with no jitter and no nudge applied are returned as
x_orig and y_orig.
Details
Jitter with position_jitternudge() is identical to that with
position_jitter while nudging is enhanced compared
to position_nudge by taking into use cases specific
to the combination of jitter and nudge.
There are two posible uses for this function. First it can be used to label
jittered points in a plot. In this case, it is mandatory to use the same
arguments to width, height and seed when passing
position_jitter() to geom_point() and
position_jitternudge() to geom_text() or to
geom_label() or their repulsive equivalents. Otherwise the arrows or
segments will fail to connect to the labels. In other words jittering is
computed twice. Jitter should be identical with the same arguments as
position_jitternudge() as this last function calls the same code
imported from package 'ggplot2'.
The second use is to jitter labels to be connected to points that have not
been jittered. The return of original positions instead of the jittered
ones is achieved by passing origin = "original" to override the
default origin = "jittered".
Note
When direction = "split" is used together with no jitter, the
split to left and right, or up and down is done at random.
Examples
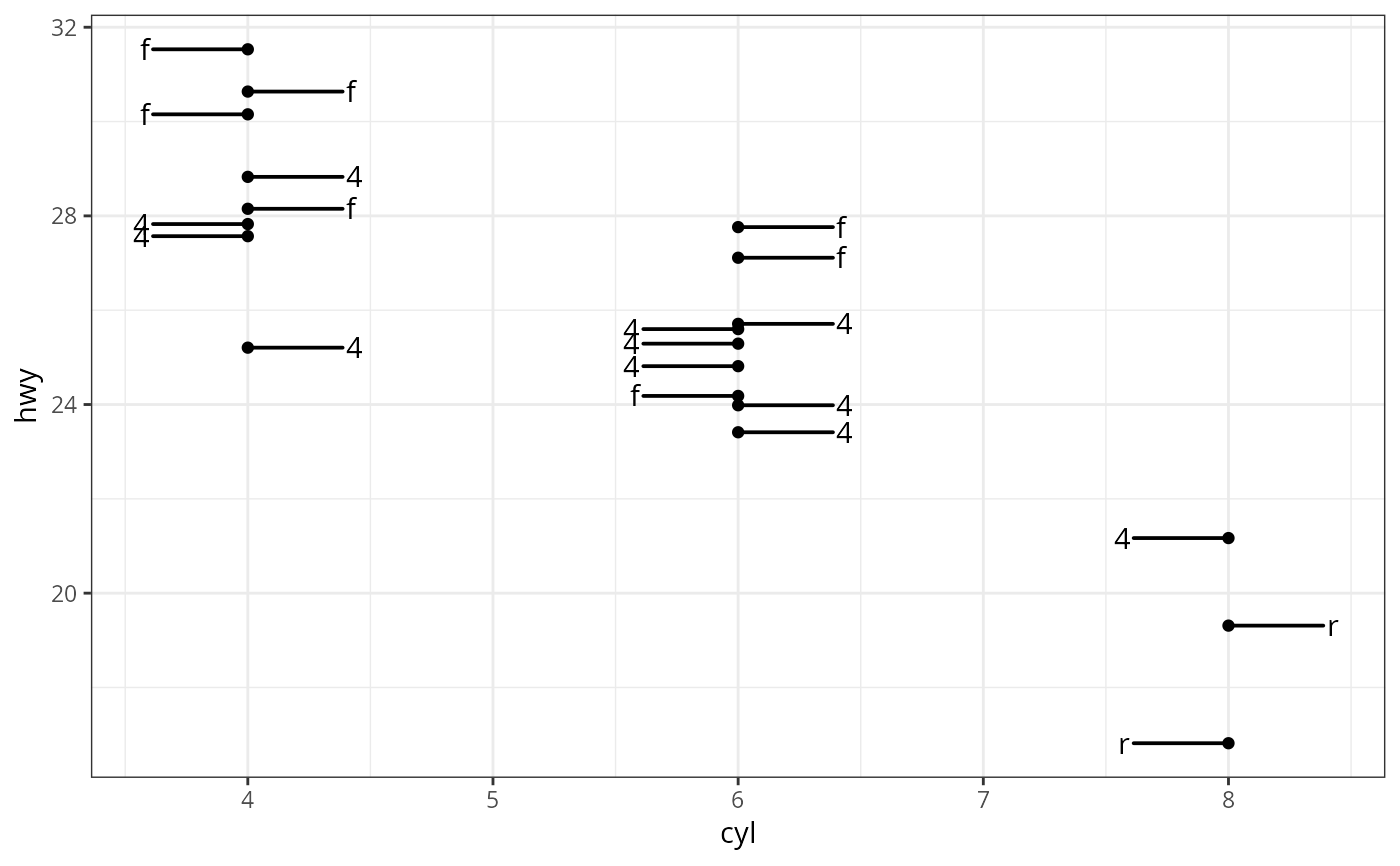
jitter <- position_jitter(width = 0.2, height = 2, seed = 123)
jitter_nudge <- position_jitternudge(width = 0.2, height = 2,
seed = 123, x = 0.1,
direction = "split",
nudge.from = "jittered")
ggplot(mpg[1:20, ],
aes(cyl, hwy, label = drv)) +
geom_point(position = jitter) +
geom_text_s(position = jitter_nudge)
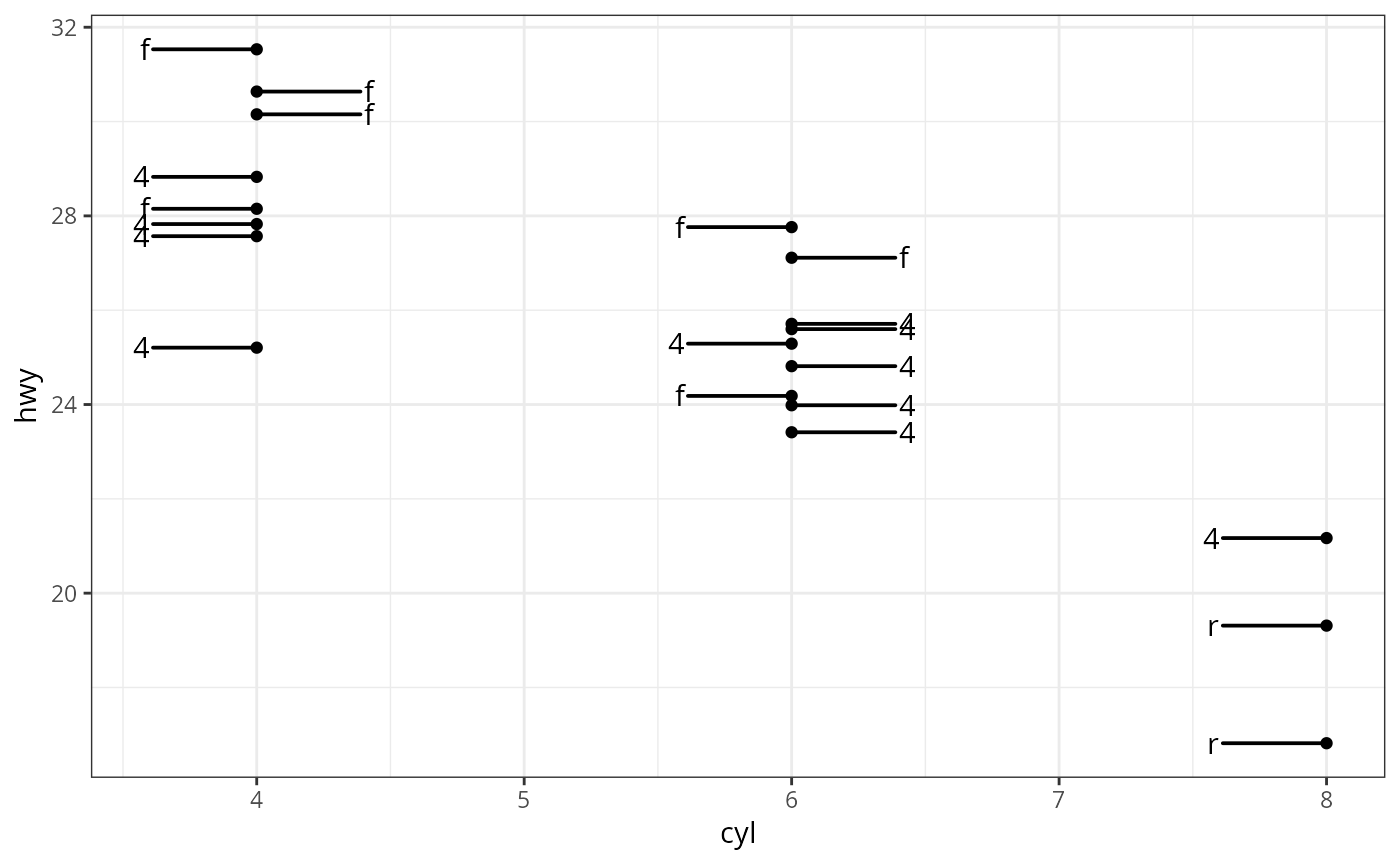
jitter_nudge <- position_jitternudge(width = 0.2, height = 2,
seed = 123, x = 0.35,
direction = "split",
nudge.from = "original.x")
ggplot(mpg[1:20, ],
aes(cyl, hwy, label = drv)) +
geom_point(position = jitter) +
geom_text_s(position = jitter_nudge)
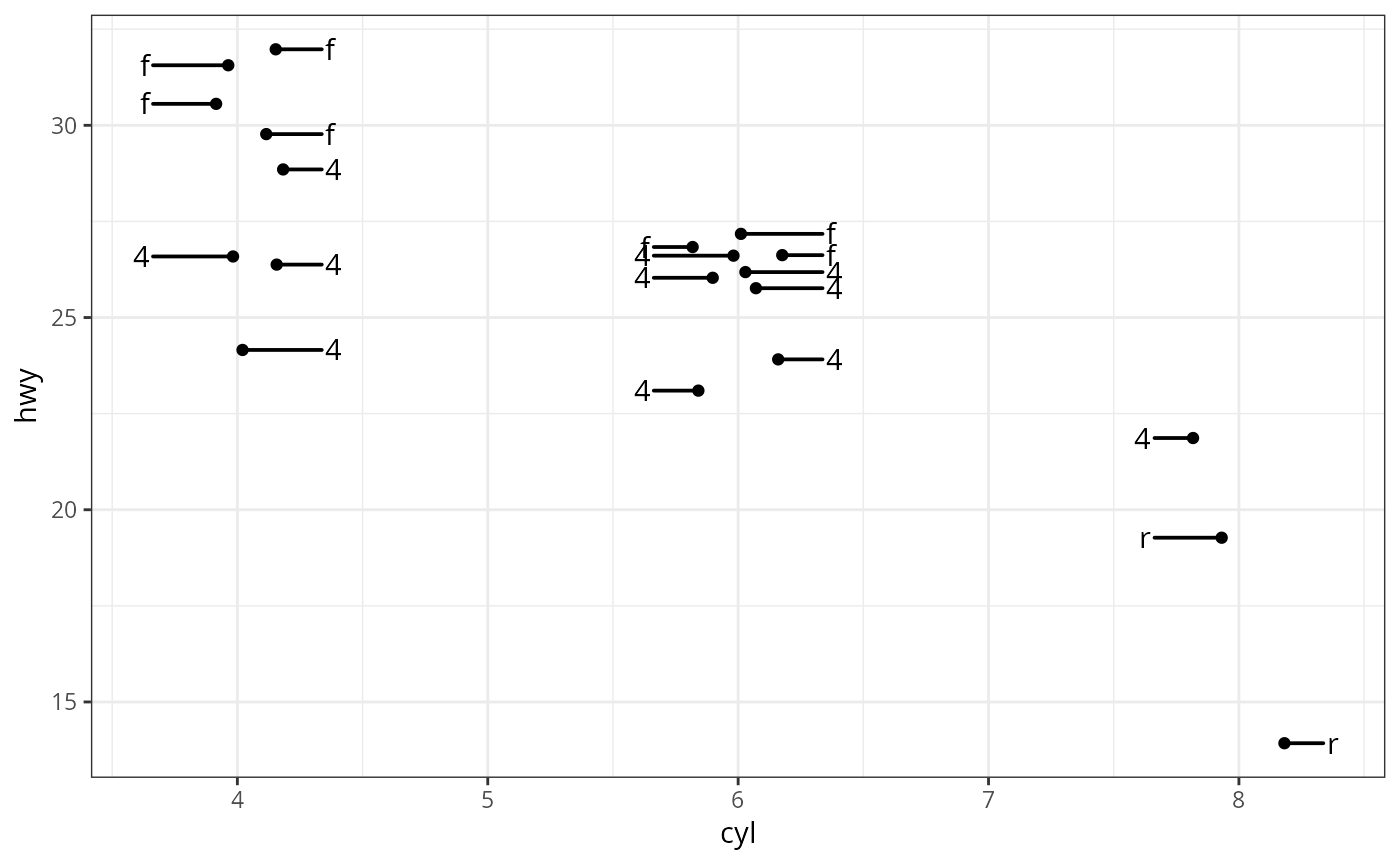
jitter <- position_jitter(width = 0, height = 2, seed = 123)
jitter_nudge <- position_jitternudge(width = 0, height = 2,
seed = 123, x = 0.4,
direction = "split",
nudge.from = "original.x")
ggplot(mpg[1:20, ],
aes(cyl, hwy, label = drv)) +
geom_point(position = jitter) +
geom_text_s(position = jitter_nudge)
jitter_nudge <- position_jitternudge(width = 0, height = 2,
seed = 123, x = 0.4,
direction = "alternate",
nudge.from = "original.x")
ggplot(mpg[1:20, ],
aes(cyl, hwy, label = drv)) +
geom_point(position = jitter) +
geom_text_s(position = jitter_nudge)
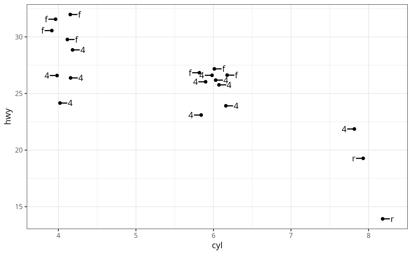
# No nudge, show how points have moved with jitter
ggplot(mpg[1:20, ],
aes(cyl, hwy, label = drv)) +
geom_point() +
geom_point_s(position =
position_jitter_keep(width = 0.3, height = 2, seed = 123),
color = "red",
arrow = grid::arrow(length = unit(0.4, "lines")))
