
Combining repulsion and nudging
Packages ‘ggrepel’ and ‘ggpp’ working as a team
Pedro J. Aphalo
2026-03-02
Source:vignettes/articles/nudge-examples.Rmd
nudge-examples.RmdIntroduction
The very popular R package ‘ggrepel’ does a great job at avoiding overlaps among data labels and between them and observations plotted as points. A difficulty that stems from the use of an algorithm based on random displacements is that the final location of the data labels can become more disordered than necessary. In addition when including smooth regression lines the data labels may partly occlude the fitted line and/or the confidence band.
Package ‘ggpp’ defines new position functions that save the original
position similarly to position_nudge_repel() from package
‘ggrepel’. However, package ‘ggpp’ defines several new position
functions that provide fine control of nudging, including nudging based
on computations on the data. Their use together with
repulsive geometries from ‘ggrepel’ makes it possible to give to the
data labels an initial “push” in a non-random direction. This helps a
lot, much more than what I expected initially, in obtaining a more
orderly displacement by repulsion of the data labels away from a cloud
of observations or a line.
Another problem sometimes encountered when using position functions is that combinations of pairs of displacements would be required. ‘ggpp’ does define such new position functions which can also be used together with the repulsive geometries from package ‘ggrepel’.
Because of the naming convention used, the new position functions
remain fully compatible with all geometries that have a formal parameter
position. However, most examples below use geometries from
packages ‘ggrepel’ or ‘ggpp’ to create a plot layer containing data
labels.
Preliminaries
As we will use text and labels on the plotting area we change the default theme to an uncluttered one.
library(dplyr)
library(lubridate)
library(ggplot2)
library(ggpp)
library(grid)
# Is a compatible version of 'ggrepel' installed?
eval_ggrepel <- requireNamespace("ggrepel", quietly = TRUE) &&
packageVersion("ggrepel") >= "0.9.2"
if (eval_ggrepel) library(ggrepel)
old_theme <- theme_set(theme_bw())The rendered plots can slightly differ among versions of the packages or very rarely depending on the version of R. This article was rendered on 2026-03-02 with ‘ggpp’ version 0.6.0, ‘ggrepel’ version 0.9.6 and ‘ggplot2’ version 4.0.1.
Position functions and nudging
Nudging shifts deterministically the x and/or y coordinates of an observation. This takes place early enough for the limits of the corresponding scales be set based on the displaced positions. In ‘ggplot2’, position functions and consequently also geometries by default apply no nudging.
Function position_nudge() from package ‘ggplot2’ applies
the nudge, to x and/or y data coordinates based
directly on the values passed to its parameters x and
y. Passing arguments to the nudge_x and/or
nudge_y parameters of a geometry has the same effect, as
these values are passed to position_nudge() within the
geometry’s code. Geometries also have a position parameter
to which we can pass an expression based on a position function
which opens the door to more elaborate approaches to nudging, as well as
allowing other changes in coordinates such as stacking.
We use geom_point_s() to exemplify what nudging does.
The black dots are the original positions and the red ones the nudged
positions, with the arrows of length 0.5 along x, showing the
displacement and its direction.
ggplot(data.frame(x = 1:10, y = rnorm(10)), aes(x, y)) +
geom_point() +
geom_point_s(nudge_x = 0.5, colour = "red")
Function position_nudge_keep() keeps a copy of the
original position making it possible for geometries like
geom_point_s() to draw connecting segments or arrows.
Package ‘ggpp’ provides several new position functions to facilitate
nudging. All of them keep the original positions to allow links to be
drawn. Some of them, just simplify some use cases, e.g.,
position_nudge_to(), which accepts the desired nudged
coordinates directly, instead of as a displacement away from the initial
position. This allows to push data labels away from observations into a
row or column.
Other new position functions compute the nudge for individual
observations based on different criteria. For example by nudging away
from a focal point, a line or a curve. The focal point or line can be
either supplied directly or fitted to the observations. In
position_nudge_center() and
position_nudge_line() described below, this reference
alters only the direction (angle) along which nudge is applied but not
the extent of the shift. Advanced nudging works very well, but only for
some patterns of observations and may require manual adjustment of
positions, repulsion is more generally applicable but like jittering is
aleatory. Combining nudging and repulsion we can make repulsion more
predictable with little loss of its applicability.
These position functions can be used with any geometry but if
segments joining the nudged positions to the original ones are desired,
only geometries from packages ‘ggrepel’ or ‘ggpp’ can currently be used.
Geometries geom_text_repel() or
geom_label_repel() from ‘ggrepel’ should be used when
repulsion is desired. Setting max.iter = 0 in these
functions disables repulsion but allows the drawing of segments or
arrows. Alternatively, several geometries from ‘ggpp’ implement the
drawing of connecting segments, but none of them implement repulsion.
Please see the documentation for the different geometries from packages
‘ggrepel’ and ‘ggpp’ for the details.
As mentioned above, drawing of segments or arrows is made possible by
position functions storing in data both the nudged and
original x and y coordinates. The joint use of
‘ggrepel’ and ‘ggpp’ was made possible by coordinated development of
these packages and agreement on a naming convention for storing the
original position. Keeping both nudged and original positions increases
the size of the data, and consequently also the size of the ggplot
objects. Because of this, the position functions from ‘ggpp’ allow the
keeping of the original positions to be disabled when needed.
Connecting segments and arrows
Function position_nudge_keep() is like
ggplot2::position_nudge() but keeps (stores) the original
x and y coordinates. It is similar to function
position_nudge_repel() but uses a different naming
convention for the coordinates. Both work with
geom_text_repel() or geom_label_repel() from
package ‘ggrepel’ (>= 0.9.2), but only
position_nudge_keep() can be used interchangeably with
ggplot2::position_nudge() with other geometries such as
geom_text().
set.seed(84532)
df <- data.frame(
x = rnorm(20),
y = rnorm(20, 2, 2),
l = paste("label:", letters[1:20])
)With position_nudge_keep() from ‘ggpp’ used together
with geom_text_repel() or geom_label_repel()
segments between a nudged and/or repelled label and the original
position (here indicated by a point) are drawn. As shown here, passing
max.iter = 0 disables repulsion.
ggplot(df, aes(x, y, label = l)) +
geom_point() +
geom_text_repel(position = position_nudge_keep(x = 0.3),
max.iter = 0)
With position_nudge() from ‘ggplot2’ used together with
geom_text_repel() or geom_label_repel()
segments connecting a nudged and/or repelled label and the original
position (here indicated by a point) are not drawn.
position_nudge_keep() and all other position functions
from ‘ggpp’, described below, can be used with all ‘ggplot2’ geometries
but the original position will be ignored and no connecting segment
drawn unless the geometry has been designed to work together with them.
Currently, geom_text_repel() and
geom_label_repel() from ‘ggrepel’ and
geom_text_s(), geom_label_s(),
geom_point_s(), geom_plot(),
geom_table() and geom_grob() from package
‘ggpp’ draw connecting segments.
Differences among geometries
The geometries from ‘ggrepel’ and ‘ggpp’ can interoperate. However,
these geometries are different in several respects. The simpler
geometries from ‘ggpp’ add a few features but lack several features
compared to geom_text_repel() and
geom_label_repel(). First of all, the geometries from
‘ggpp’ do not support repulsion. Those from ‘ggpp’ allow aesthetic
mappings to be selectively applied to the different components of the
label and/or to segments. However, they do not support aesthetics
affecting the segments. While geom_text_repel() and
geom_label_repel() support curved connecting segments and
arrows, the geometries from ‘ggpp’ support only straight segments and
arrows.
Another important difference is that the geometries from the two
packages use by default a different approach to justification of the
displaced data labels. The geometries from ‘ggpp’ by default justify the
text or label to the nearest edge to the original position (thus, away
from it). This new justification approach named "position"
in ‘ggpp’ is not yet available in geometries defined in ‘ggrepel’.
ggplot(df, aes(x, y, label = l)) +
geom_point() +
geom_text_s(position = position_nudge_keep(x = 0.1),
min.segment.length = 0) +
expand_limits(x = 2.3)
geom_text_repel() draws the segment by default from the
centre of the text and trims it to the edge of the text plus the
padding. In contrast, geom_text_s() uses justification to
avoid the overlap and only the default justification
"position" and one of the edges, “left” in this case, are
currently usable as the untrimmed segment otherwise overplots the text
(not shown).
ggplot(df, aes(x, y, label = l)) +
geom_point() +
geom_text_s(position = position_nudge_keep(x = 0.1),
min.segment.length = 0,
hjust = "left") +
expand_limits(x = 2.3)
Each approach has advantages and disadvantages. The main difference
is that with geom_text_s() and geom_label_s()
shorter nudging displacements may be needed than with
geom_text_repel() and geom_label_repel() when
using their respective default justification approaches.
A usually more problematic example is the labelling of loadings in PCA and similar biplots.
## Example data frame where each species' principal components have been computed.
df1 <- data.frame(
Species = paste("Species",1:5),
PC1 = c(-4, -3.5, 1, 2, 3),
PC2 = c(-1, -1, 0, -0.5, 0.7))
ggplot(df1, aes(x=PC1, y = PC2, label = Species, colour = Species)) +
geom_hline(aes(yintercept = 0), linewidth = .2) +
geom_vline(aes(xintercept = 0), linewidth = .2) +
geom_segment(aes(x = 0, y = 0, xend = PC1, yend = PC2),
arrow = arrow(length = unit(0.1, "inches"))) +
geom_label_repel(position = position_nudge_center(x = 0.2, y = 0.01,
center_x = 0, center_y = 0),
label.size = NA,
label.padding = 0.1,
fill = rgb(red = 1, green = 1, blue = 1, alpha = 0.75)) +
xlim(-5, 5) +
ylim(-2, 2) +
# Stadard settings for displaying biplots
coord_fixed() +
theme(legend.position = "none")
The use of position_nudge_center() together with
repulsion, shown above, results a much better plot than using only
repulsion.
ggplot(df1, aes(x=PC1, y = PC2, label = Species, colour = Species)) +
geom_hline(aes(yintercept = 0), linewidth = .2) +
geom_vline(aes(xintercept = 0), linewidth = .2) +
geom_segment(aes(x = 0, y = 0, xend = PC1, yend = PC2),
arrow = arrow(length = unit(0.1, "inches"))) +
geom_label_repel(label.size = NA,
label.padding = 0.1,
fill = rgb(red = 1, green = 1, blue = 1, alpha = 0.75)) +
xlim(-5, 5) +
ylim(-2, 2) +
# Stadard settings for displaying biplots
coord_fixed() +
theme(legend.position = "none")
The use of position_nudge_center() together with
repulsion, shown above, results a much better plot than using only
nudging. In this case, the default justification to the center needs to
be overidden.
ggplot(df1, aes(x=PC1, y = PC2, label = Species, colour = Species)) +
geom_hline(aes(yintercept = 0), linewidth = .2) +
geom_vline(aes(xintercept = 0), linewidth = .2) +
geom_segment(aes(x = 0, y = 0, xend = PC1, yend = PC2),
arrow = arrow(length = unit(0.1, "inches"))) +
geom_label(position = position_nudge_center(x = 0.2, y = 0.01,
center_x = 0, center_y = 0),
label.size = 0,
vjust = "outward", hjust = "outward",
fill = rgb(red = 1, green = 1, blue = 1, alpha = 0.75)) +
xlim(-5, 5) +
ylim(-2, 2) +
# Stadard settings for displaying biplots
coord_fixed() +
theme(legend.position = "none")## Warning: The `label.size` argument of `geom_label()` is deprecated as of ggplot2 3.5.0.
## ℹ Please use the `linewidth` argument instead.
## This warning is displayed once per session.
## Call `lifecycle::last_lifecycle_warnings()` to see where this warning was
## generated.

Of course, nudging and justification could be manually adjusted for each label, but here we are concerned with approaches that avoid manual tweaking.
Aligned data labels
Function position_nudge_to() nudges to a given position
instead of using the same shift for each observation. It can be used to
align labels for points that are not themselves aligned.
ggplot(df, aes(x, y, label = ifelse(x < 0.5, "", l) )) +
geom_point() +
geom_text_repel(position =
position_nudge_to(x = 2.3),
min.segment.length = 0,
segment.color = "red",
arrow = arrow(length = unit(0.015, "npc")),
direction = "y") +
expand_limits(x = 3)
By providing two values for nudging with opposite sign, we can add
labels alternating between sides. We use here geom_text_s()
but other geometries could have been used as well. How the data labels
been closer together repulsion would have been needed in addition to
nudging.
size_from_area <- function(x) {sqrt(max(0, x) / pi)}
df2 <- data.frame(b = exp(seq(2, 4, length.out = 10)))
ggplot(df2, aes(1, b, size = b)) +
geom_text_s(aes(label = round(b,2)),
position = position_nudge_to(x = c(1.1, 0.9)),
box.padding = 0.5) +
geom_point() +
scale_size_area() +
xlim(0, 2) +
theme(legend.position = "none")
It is also useful when labeling curves than end at different positions along the x axis. In this example we avoid overlaps with repulsion along the y axis. The data set used in this example is dynamic, so we use nudging to a position that is dynamicaly computed from the data.
# not run by default as URL requires internet access
keep <- c("Israel", "United States", "European Union", "China", "South Africa", "Qatar",
"Argentina", "Chile", "Brazil", "Ukraine", "Indonesia", "Bangladesh")
data <- read.csv("https://raw.githubusercontent.com/owid/covid-19-data/master/public/data/vaccinations/vaccinations.csv")
data$date <- ymd(data$date)
data %>%
filter(location %in% keep) %>%
select(location, date, total_vaccinations_per_hundred) %>%
arrange(location, date) %>%
filter(!is.na(total_vaccinations_per_hundred)) %>%
mutate(location = factor(location),
location = reorder(location, total_vaccinations_per_hundred)) %>%
group_by(location) %>% # max(date) depends on the location!
mutate(label = if_else(date == max(date),
as.character(location),
"")) -> owid
ggplot(owid,
aes(x = date,
y = total_vaccinations_per_hundred,
color = location)) +
geom_line() +
geom_text_repel(aes(label = label),
size = 3,
position = position_nudge_to(x = max(owid$date) + days(30)),
segment.color = 'grey',
point.size = 0,
box.padding = 0.1,
point.padding = 0.1,
hjust = "left",
direction = "y") +
scale_x_date(expand = expansion(mult = c(0.05, 0.2))) +
labs(title = "Cumulative COVID-19 vaccination doses administered per 100 people",
y = "",
x = "Date (year-month)") +
theme_bw() +
theme(legend.position = "none")In the call to position_nudge_to() we passed a vector of
length one as argument for y, but both x and
y also accept longer vectors. In other words, this position
function makes it possible manual positioning of text and labels.
In the next example we decrease the forces used for repulsion and the padding so that the labels remain close together. In this way, we can label the observations on the rug of a combined point and rug plot.
ggplot(df, aes(x, y, label = round(x, 2))) +
geom_point(size = 3) +
geom_text_repel(position = position_nudge_to(y = -2.7),
size = 3,
angle = 90,
hjust = 0,
box.padding = 0.05,
min.segment.length = Inf,
direction = "x",
force = 0.1,
force_pull = 0.1) +
geom_rug(sides = "b", length = unit(0.02, "npc"))
Clouds of observations
In many cases data are distributed as a cloud with decreasing density towards edges. In some other cases, even with evely distributed observations, a certain partly systematic pattern of displacement of data labels is visually more attractive than a fully random one. In both cases, combining nudging and repulsion is usually an effective approach.
We start with an examples showing a specific nudging pattern, and
only later we combine them with repulsion. Function
position_nudge_center() can nudge radially away from a
focal point if both x and y are passed as
arguments, or towards opposite sides of a vertical or horizontal
virtual boundary line if only one of x or
y is passed an argument. By default, the “center” is the
centroid computed using mean(), but other functions or
numeric values can be passed to override it. When data are sparse, such
nudging may be effective in avoiding label overlaps, and in achieving a
visually pleasing positioning.
By default, split is away or towards the mean(). Here we
allow repulsion to separate the labels (compare with the previous
plot).
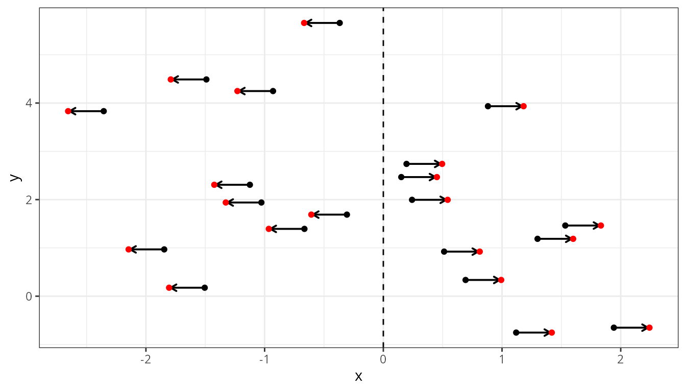
ggplot(df, aes(x, y, label = l)) +
geom_vline(xintercept = 0, linetype = "dashed") +
geom_point() +
geom_point_s(position =
position_nudge_center(x = 0.3, center_x = 0),
colour = "red")
In this second example we use repulsion and add data labels instead of displaced points. In all cases nudging shifts the coordinates giving a new x and/or y position that expands the limits of the corresponding scales to include the nudged coordinate values, but not necessarily the whole of justified text or labels.
ggplot(df, aes(x, y, label = l)) +
geom_vline(xintercept = 0, linetype = "dashed") +
geom_point() +
geom_text_repel(position =
position_nudge_center(x = 0.3, center_x = 0),
min.segment.length = 0)
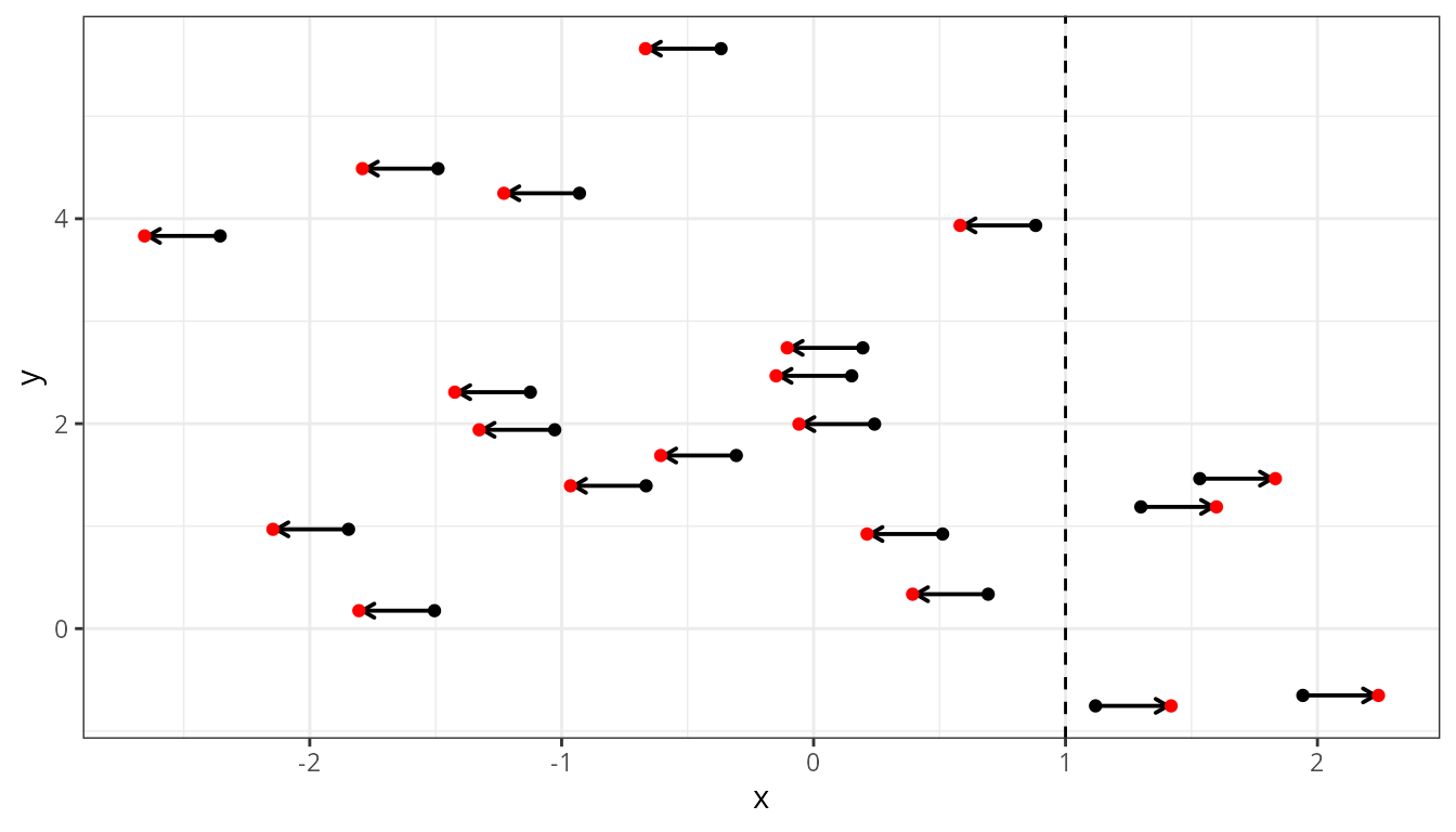
We set a different split point as a constant value.
ggplot(df, aes(x, y)) +
geom_vline(xintercept = 1, linetype = "dashed") +
geom_point() +
geom_point_s(position =
position_nudge_center(x = 0.3, center_x = 1),
colour = "red")
We set a different split point as the value computed by a function function, by name.
ggplot(df, aes(x, y)) +
geom_vline(xintercept = median(df$x), linetype = "dashed") +
geom_point() +
geom_point_s(position =
position_nudge_center(x = 0.3, center_x = median),
colour = "red")
We set a different split point as the value computed by an anonymous function. Here we split on the first quartile along x and y = 2.
ggplot(df, aes(x, y)) +
geom_point() +
geom_point_s(position =
position_nudge_center(x = 0.3, y = 0.3,
center_x = function(x) {
quantile(x,
probs = 1/4,
names = FALSE)
},
center_y = 2,
direction = "split"),
colour = "red")
The labels can be rotated as long as the geometry used supports this.
ggplot(df, aes(x, y, label = l)) +
geom_point() +
geom_text_repel(angle = 90,
position =
position_nudge_center(y = 0.1,
direction = "split"))
By requesting nudging along x and y and setting
direction = "split" nudging is applied according to the
quadrants centred on the centroid of the data.
ggplot(df, aes(x, y)) +
stat_centroid(shape = "+", size = 5, colour = "red") +
geom_point() +
geom_point_s(position =
position_nudge_center(x = 0.2,
y = 0.3,
direction = "split"),
colour = "red")
ggplot(df, aes(x, y, label = l)) +
geom_point() +
geom_text_repel(position =
position_nudge_center(x = 0.1,
y = 0.15,
direction = "split"))
With direction = "radial", the distance nudged away from
the center is the same for all labels.
ggplot(df, aes(x, y)) +
stat_centroid(shape = "+", size = 5, colour = "red") +
geom_point() +
geom_point_s(position =
position_nudge_center(x = 0.25,
y = 0.4,
direction = "radial"),
colour = "red")
ggplot(df, aes(x, y, label = l)) +
geom_point() +
geom_text_repel(position =
position_nudge_center(x = 0.25,
y = 0.4,
direction = "radial"),
min.segment.length = 0)
As shown above for direction = "split" we can set the
coordinates of the center also with
direction = "radial".
We can also set the justification of the text labels although
repulsion usually works best with labels justified at the centre, which
is the default in geom_text_repel().
ggplot(df, aes(x, y, label = l)) +
geom_point() +
geom_text_repel(position =
position_nudge_center(x = 0.125,
y = 0.25,
center_x = 0,
center_y = 0,
direction = "radial"),
min.segment.length = 0,
hjust = "outward", vjust = "outward") +
expand_limits(x = c(-2.7, +2.3))
Nudging along one axis, here x, and setting the repulsion
direction along the other axis, here y, tends to
give a pleasant arrangement of labels.
ggplot(df, aes(x, y, label = l)) +
geom_point() +
geom_text_repel(position =
position_nudge_center(x = 0.2,
center_x = 0,
direction = "split"),
aes(hjust = "outward"),
direction = "y",
min.segment.length = 0) +
expand_limits(x = c(-3, 3))
When some regions have a high density of observations we may wish to
only label those in the lower density regions. To automate this, we can
use statistics stat_dens2d_labels() or
stat_dens1d_labels() that replace the labels with
"" but retain all rows in data so that repulsion away from
all points is achieved. In contrast, stat_dens2d_filter()
or stat_dens1d_filter() subset data using
identical criteria.
ggplot(df, aes(x, y, label = l)) +
geom_point() +
stat_dens2d_labels(geom = "text_repel",
keep.fraction = 1/3,
position =
position_nudge_center(x = 0.2,
center_x = 0,
direction = "split"),
aes(hjust = ifelse(x < 0, 1, 0)),
direction = "y",
min.segment.length = 0) +
stat_dens2d_filter(geom = "point",
keep.fraction = 1/3,
shape = "circle open", size = 3) +
expand_limits(x = c(-3, 3))
We create a set of example data with a denser distribution.
random_string <- function(len = 3) {
paste(sample(letters, len, replace = TRUE), collapse = "")
}
# Make random data.
set.seed(1001)
d <- tibble::tibble(
x = rnorm(100),
y = rnorm(100),
group = rep(c("A", "B"), c(50, 50)),
lab = replicate(100, { random_string() })
)
ggplot(data = d, aes(x, y, label = lab, colour = group)) +
geom_point() +
stat_dens2d_labels(geom = "text_repel",
keep.fraction = 0.45)
With geom_label_repel one usually needs to use a smaller
value for keep.fracton, or a smaller size, as
labels use more space on the plot than the test alone.
Additional arguments can be used to change the angle and position of
the text, but may give unexpected output when labels are long as the
repulsion algorithm “sees” always a rectangular bounding box that is not
rotated. With short labels or angles that are multiples of 90 degrees,
there is no such problem. Please, see the documentation for
ggrepel::geom_text_repel and
ggrepel::geom_label_repel for the various ways in which
both repulsion and formatting of the labels can be adjusted.
Using NA as argument to label.fill makes
the observations with labels set to NA incomplete,
and such rows in data are skipped when rendering the plot, before the
repulsion algorithm is active. This can lead to overlap between text and
points corresponding to unlabelled observations. Whether points are
occluded depends on the order of layers and transparency, the occlusion
can remain easily unnoticed with geom_label and
geom_label_repel. We keep geom_point as the
topmost layer to ensure that all observations are visible.
ggplot(data = d, aes(x, y, label = lab, colour = group)) +
stat_dens2d_labels(geom = "label_repel",
keep.fraction = 0.2,
label.fill = NA) +
geom_point()
The 1D versions work similarly but assess the density along only one
of x or y. In other respects than
orientation and the parameters passed internally to
stats::density() the examples given earlier for
stat_dens2d_labels() also apply
stat_dens1d_labels().
An example for a plot based on an enhancement suggested in an issue
raised at GitHub by Michael Schubert, made possible by parameter
keep.these added for this and similar use cases.
syms = c(letters[1:5], LETTERS[1:5], 0:9)
labs = do.call(paste0, expand.grid(syms, syms))
dset = data.frame(x=rnorm(1e3), y=rnorm(1e3), label=sample(labs, 1e3, replace=TRUE))
ggplot(dset, aes(x=x, y=y, label = label)) +
geom_point(colour = "grey85") +
stat_dens2d_filter(geom = "text_repel",
position = position_nudge_centre(x = 0.1,
y = 0.1,
direction = "radial"),
keep.number = 50,
keep.these = c("aA", "bB", "cC"),
min.segment.length = 0) +
theme_bw()
Lines, curves and observations along them
Function position_nudge_line() nudges away from a line,
which can be a user supplied straight line as well as a smooth spline or
a polynomial fitted to the observations themselves. The nudging is away
and perpendicular to the local slope of the straight or curved line. It
relies on the same assumptions as linear regression, assuming that
x values are not subject to error. This in most cases prevents
labels from overlapping a curve fitted to the data, even if not exactly
based on the same model fit. When observations are sparse, this may be
enough to obtain a nice arrangement of data labels, otherwise, it can be
used in combination with repulsive geometries.
set.seed(16532)
df <- data.frame(
x = -10:10,
y = (-10:10)^2,
yy = (-10:10)^2 + rnorm(21, 0, 4),
yyy = (-10:10) + rnorm(21, 0, 4),
l = letters[1:21]
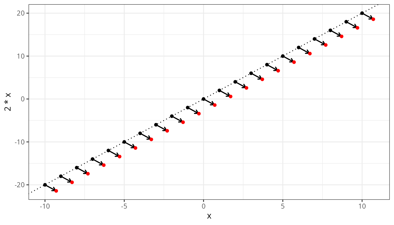
)The first, simple example shows that
position_nudge_line() has shifted the direction of the
nudging based on the alignment of the observations along a line. One
could, of course, have in this case passed suitable values as arguments
to x and y using position_nudge() from
package ‘ggplot2’. However, position_nudge_line() will work
without change with curves or with observations not exactly falling on a
line.
In the plots that follow the original positions are shown in black and the nudged ones in red, with an arrow showing the displacement introduced by nudging.
ggplot(df, aes(x, 2 * x, label = l)) +
geom_point() +
geom_abline(intercept = 0, slope = 2, linetype = "dotted") +
geom_point_s(position = position_nudge_line(x = -1, y = -2),
colour = "red")
With observations with variation in y, a linear model fit
may need to be used. In this case fitted twice, once in
stat_smooth() and once in
position_nudge_line().
ggplot(subset(df, x >= 0), aes(x, yyy)) +
geom_point() +
stat_smooth(method = "lm", formula = y ~ x) +
geom_point_s(position = position_nudge_line(x = 0, y = 1.2,
method = "lm",
direction = "split"),
colour = "red")
With lower variation in y, we can pass to
line_nudge a multiplier to keep labels outside of the
confidence band.
ggplot(subset(df, x >= 0), aes(y, yy)) +
geom_point() +
stat_smooth(method = "lm", formula = y ~ x) +
geom_point_s(position = position_nudge_line(method = "lm",
x = 1.5, y = 3,
line_nudge = 2.75,
direction = "split"),
colour = "red")
If we want the nudging based on an arbitrary straight line not
computed from data, we can pass the intercept and slope in
a numeric vector of length two as an argument to parameter
abline.
ggplot(subset(df, x >= 0), aes(y, yy)) +
geom_point() +
geom_abline(intercept = 0, slope = 1, linetype = "dotted") +
geom_point_s(position = position_nudge_line(abline = c(0, 1),
x = 3, y = 6,
direction = "split"),
colour = "red")
More frequently observations follow curves rather than straight
lines. If observations follow exactly a simple curve nudging away from
the curve with position_nudge_line() can be very effective.
In this case, the interpretation of values passed as arguments to
parameters x and y of the position function
differs from that in position_nudge(): positive values
correspond to above and inside the curve and negative ones, the opposite
direction.
The next plot shows the effect of nudging with the original positions as black dots and the nudged positions as red dots.
ggplot(df, aes(x, y)) +
geom_point() +
geom_line(linetype = "dotted") +
geom_point_s(position = position_nudge_line(x = 0.6, y = 6),
colour = "red")
Negative values passed as arguments to x and
y correspond to labels below and outside the curve.
ggplot(df, aes(x, y)) +
geom_point() +
geom_line(linetype = "dotted") +
geom_point_s(position = position_nudge_line(x = -0.6, y = -6),
colour = "red")
When the observations include random variation along y, it
is important that the smoother used for the line added to a plot and
that passed to position_nudge_line() are similar. By
default stat_smooth() uses "loess" and
position_nudge_line() with method "spline",
smooth.sline(), which are a good enough match.
ggplot(df, aes(x, yy)) +
geom_point() +
stat_smooth(method = "loess", formula = y ~ x) +
geom_point_s(position = position_nudge_line(x = 0.6, y = 6,
direction = "split"),
colour = "red")
We can use other geometries, or rather we need to use a repulsive geometry when the label text is long or the labels are crowded near the line. Combining repulsion and computed nudging is effective.
ggplot(df, aes(x, yy)) +
geom_point() +
stat_smooth(method = "loess", formula = y ~ x) +
geom_label_repel(aes(y = yy, label = paste("point", l)),
position = position_nudge_line(x = 0.6,
y = 8,
direction = "split"),
box.padding = 0.3,
min.segment.length = 0)
We can see by comparing the plot above with that below, that combining nudging away from a line with repulsion results in a more pleasant positioning of the data labels.
ggplot(df, aes(x, yy)) +
geom_point() +
stat_smooth(method = "loess", formula = y ~ x) +
geom_label_repel(aes(y = yy, label = paste("point", l)),
box.padding = 0.5,
min.segment.length = 0)
Nudging alone, as shown next, results in overlaps and clipping.
ggplot(df, aes(x, yy)) +
geom_point() +
stat_smooth(method = "loess", formula = y ~ x) +
geom_label_s(aes(y = yy, label = paste("point", l)),
position = position_nudge_line(x = 0.6,
y = 8,
direction = "split"),
box.padding = 0,
min.segment.length = 0)
While box.padding in geom_text_repel()
controls the separation among data labels as well as between data labels
and points, in geom_label_s() it controls only the distance
between the end of the segment and the data label.
When fitting a polynomial, "lm" should be the argument
passed to method and a model formula preferably based on
poly(), setting raw = TRUE, as argument to
formula.
Currently no other methods are implemented in
position_nudge_line().
In the case of data labels that are small, a single character in the next example, we also benefit from nudging if they are near a fitted line. Nudging plus repulsion, shown next, will be compared to alternatives. In this case we assume no linking segments are desired as there is enough space for the data labels to remain near the observations.
ggplot(df, aes(x, yy)) +
geom_point() +
stat_smooth(method = "lm",
formula = y ~ poly(x, 2, raw = TRUE)) +
geom_text_repel(aes(y = yy, label = l),
position = position_nudge_line(method = "lm",
formula = y ~ poly(x, 2, raw = TRUE),
x = 0.5,
y = 5,
direction = "split"),
box.padding = 0.25,
min.segment.length = Inf)
Using nudging alone there is little difference, but there is always the posibility of overlaps, so using nudging plus repulsion as above is safer.
ggplot(df, aes(x, yy)) +
geom_point() +
stat_smooth(method = "lm",
formula = y ~ poly(x, 2, raw = TRUE)) +
geom_text(aes(y = yy, label = l),
position = position_nudge_line(method = "lm",
formula = y ~ poly(x, 2, raw = TRUE),
x = 0.5,
y = 5,
direction = "split"))
Repulsion without nudging as shown below is unsatisfactory in this case, i.e., adding nudging displaces the data labels in the desired direction. Compare the plot below using no nudging with the one above.
ggplot(df, aes(x, yy)) +
geom_point() +
stat_smooth(method = "lm",
formula = y ~ poly(x, 2, raw = TRUE)) +
geom_text_repel(aes(y = yy, label = l),
box.padding = 0.25,
min.segment.length = Inf)
Combined position functions
Using position_stacknudge() together
geom_label_repel() makes it possible to use repulsion for
labeling sections of stacked column plots.
df <- tibble::tribble(
~y, ~x, ~grp,
"a", 1, "some long name",
"a", 2, "other name",
"b", 1, "some name",
"b", 3, "another name",
"b", -1, "some long name"
)
ggplot(data = df, aes(x, y, group = grp)) +
geom_col(aes(fill = grp), width=0.5) +
geom_vline(xintercept = 0) +
geom_label_repel(aes(label = grp),
position = position_stacknudge(vjust = 0.5, y = 0.4),
label.size = NA)