This strip style groups strips on the same layer that share a label. It is the default strip for facet_nested() and facet_nested_wrap().

strip_nested(
  clip = "inherit",
  size = "constant",
  bleed = FALSE,
  text_x = NULL,
  text_y = NULL,
  background_x = NULL,
  background_y = NULL,
  by_layer_x = FALSE,
  by_layer_y = FALSE
)

Arguments

clip

A character(1) that controls whether text labels are clipped to the background boxes. Can be either "inherit" (default), "on" or "off".

size

A character(1) stating that the strip margins in different layers remain "constant" or are "variable".

bleed

A logical(1) indicating whether merging of lower-layer variables is allowed when the higher-layer variables are separate. See details.

text_x, text_y

A list() with element_text() elements. See the details section in strip_themed().

background_x, background_y

A list() with element_rect() elements. See the details section in strip_themed().

by_layer_x, by_layer_y

A logical(1) that when TRUE, maps the different elements to different layers of the strip. When FALSE, maps the different elements to individual strips, possibly repeating the elements to match the number of strips through rep_len().

Value

A StripNested ggproto object that can be given as an argument to facets in ggh4x.

Details

The display order is always such that the outermost variable is placed the furthest away from the panels. Strips are automatically grouped when they span a nested variable.

The bleed argument controls whether lower-layer strips are allowed to be merged when higher-layer strips are different, i.e. they can bleed over hierarchies. Suppose the strip_vanilla() behaviour would be the following for strips:

[_1_][_2_][_2_]
[_3_][_3_][_4_]

In such case, the default bleed = FALSE argument would result in the following:

[_1_][___2____]
[_3_][_3_][_4_]

Whereas bleed = TRUE would allow the following:

[_1_][___2____]
[___3____][_4_]

See also

Examples

# A standard plot
p <- ggplot(mpg, aes(displ, hwy)) +
  geom_point()

# Combine the strips
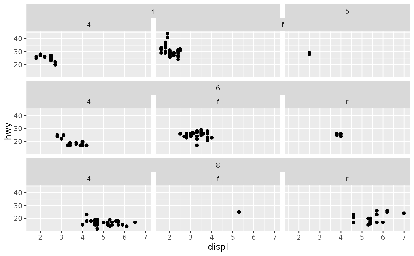
p + facet_wrap2(vars(cyl, drv), strip = strip_nested())


# The facet_nested and facet_nested_wrap functions have nested strips
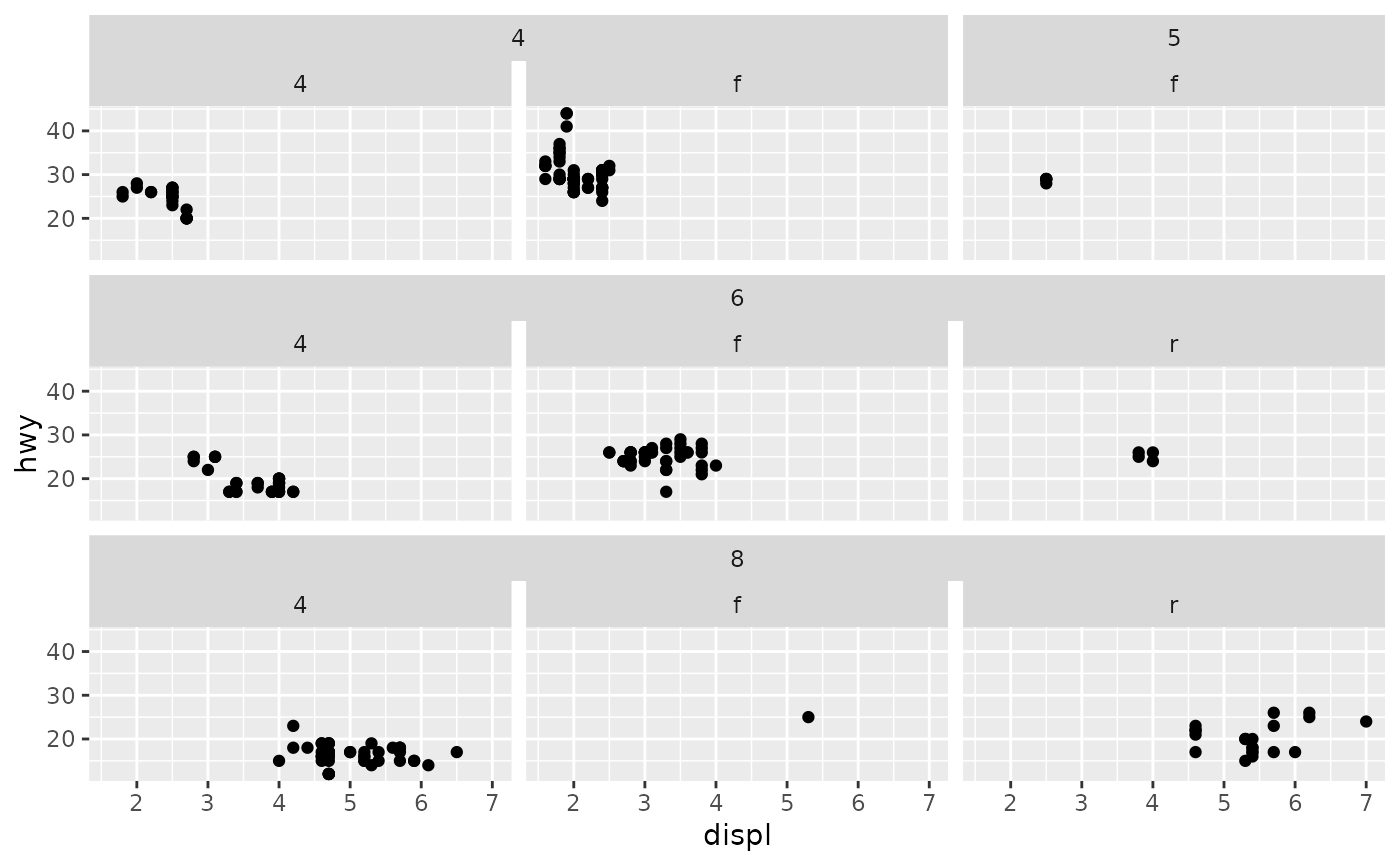
# automatically
p + facet_nested_wrap(vars(cyl, drv))


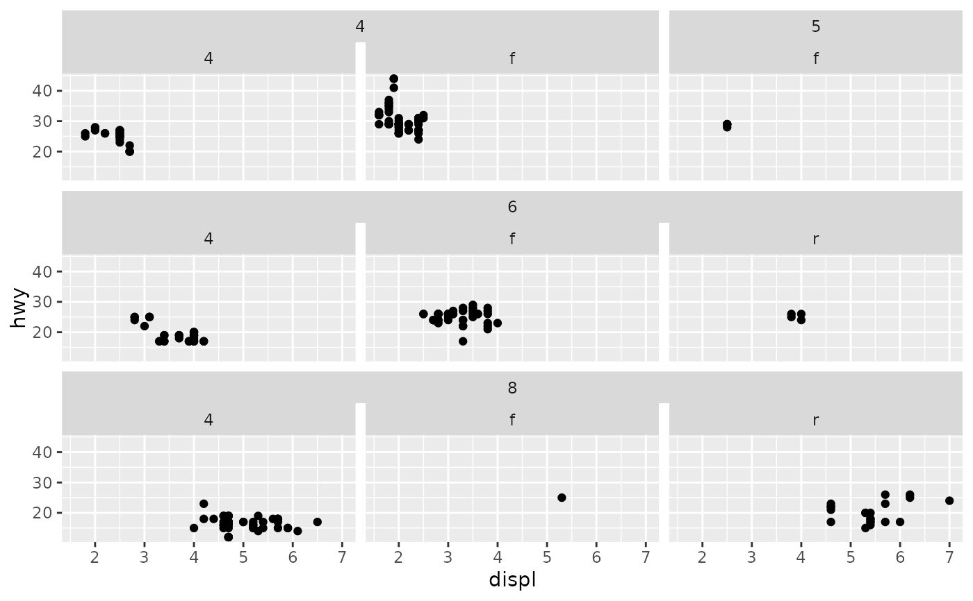
# Changing the bleed argument merges the "f" labels in the top-right
p + facet_wrap2(vars(cyl, drv), strip = strip_nested(bleed = TRUE))