[Experimental]

This strip style allows a greater control over where a strip is placed relative to the panel. Different facetting variables are allowed to be placed on different sides.

strip_split(
  position = c("top", "left"),
  clip = "inherit",
  size = "constant",
  bleed = FALSE,
  text_x = NULL,
  text_y = NULL,
  background_x = NULL,
  background_y = NULL,
  by_layer_x = FALSE,
  by_layer_y = FALSE
)

Arguments

position

A character vector stating where the strips of faceting variables should be placed. Can be some of the following: "top", "bottom", "left" or "right". The length of the position argument must match the length of variables provided to the facets argument in wrap/manual layouts, or those provided to the rows and cols arguments in the grid layout.

clip

A character(1) that controls whether text labels are clipped to the background boxes. Can be either "inherit" (default), "on" or "off".

size

A character(1) stating that the strip margins in different layers remain "constant" or are "variable".

bleed

A logical(1) indicating whether merging of lower-layer variables is allowed when the higher-layer variables are separate. See the details of strip_nested for more info. Note that currently, strip_split() cannot recognise collisions between strips, so changing to bleed = TRUE can have unexpected results.

text_x, text_y

A list() with element_text() elements. See the details section in strip_themed().

background_x, background_y

A list() with element_rect() elements. See the details section in strip_themed().

by_layer_x, by_layer_y

A logical(1) that when TRUE, maps the different elements to different layers of the strip. When FALSE, maps the different elements to individual strips, possibly repeating the elements to match the number of strips through rep_len().

Value

A StripSplit ggproto object that can be given as an argument to facets in ggh4x.

Details

Using this style of strip completely overrules the strip.position and switch arguments.

See also

Examples

# A standard plot
p <- ggplot(mpg, aes(displ, hwy)) +
  geom_point()

# --- Wrap examples ------

# Defaults to 1st (cyl) at top, 2nd (drv) on left
p + facet_wrap2(vars(cyl, drv), strip = strip_split())


# Change cyl to left, drv to bottom
p + facet_wrap2(vars(cyl, drv), strip = strip_split(c("left", "bottom")))


# --- Grid examples -----

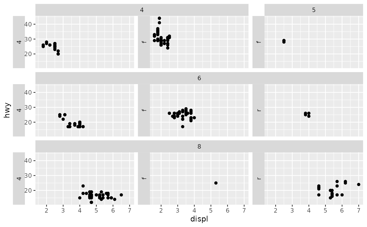
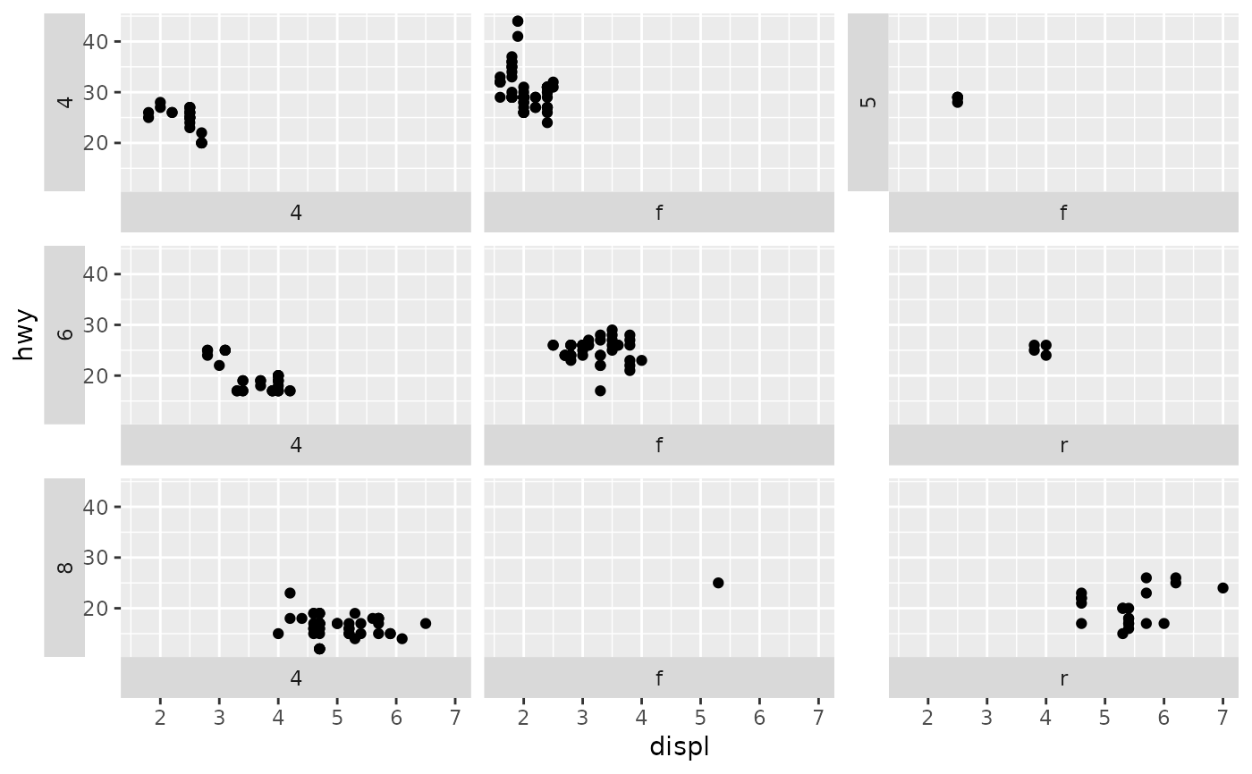
# Display both strips levels on the left
p + facet_grid2(vars(drv), vars(cyl),
                strip = strip_split(c("left", "left")))


# Separate the strips again
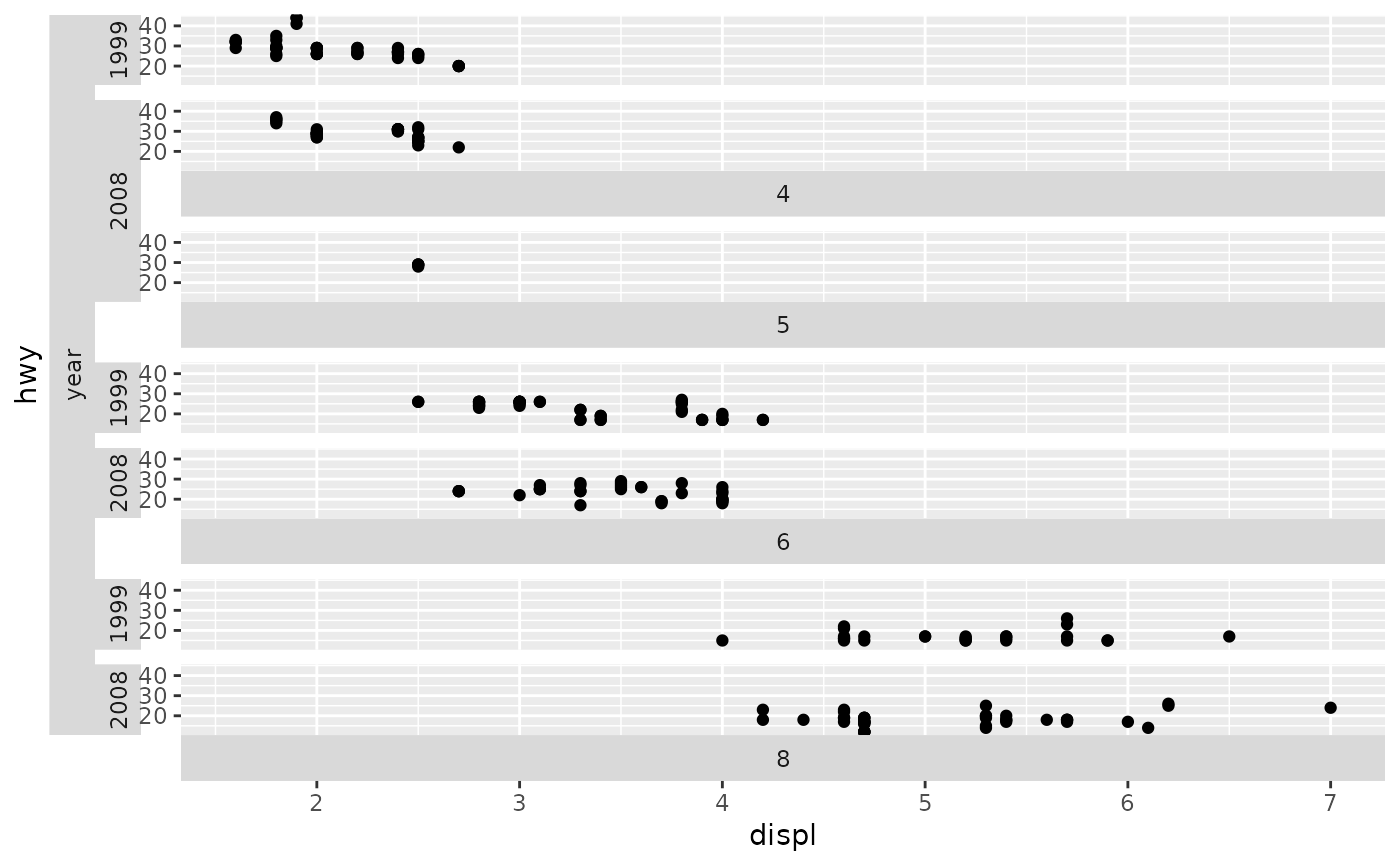
p + facet_grid2(vars(cyl, year),
                strip = strip_split(c("bottom", "left")))


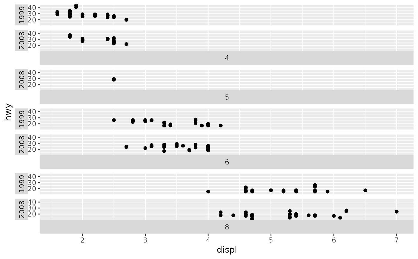
# Using a dummy variable as a title strip
p + facet_grid2(vars(cyl, "year", year),
                strip = strip_split(c("bottom", "left", "left")))