facet_nested_wrap() wraps a sequence of panels onto a two-dimensional layout, and nests grouped facets where possible.

facet_nested_wrap(
  facets,
  nrow = NULL,
  ncol = NULL,
  scales = "fixed",
  axes = "margins",
  remove_labels = "none",
  shrink = TRUE,
  labeller = "label_value",
  as.table = TRUE,
  drop = TRUE,
  dir = "h",
  strip.position = "top",
  nest_line = element_line(inherit.blank = TRUE),
  solo_line = FALSE,
  resect = unit(0, "mm"),
  trim_blank = TRUE,
  strip = "nested",
  bleed = NULL
)

Arguments

facets

A set of variables or expressions quoted by vars() and defining faceting groups on the rows or columns dimension. The variables can be named (the names are passed to labeller).

For compatibility with the classic interface, can also be a formula or character vector. Use either a one sided formula, ~a + b, or a character vector, c("a", "b").

nrow, ncol

Number of rows and columns.

scales

A character(1) or logical(1) whether scales are shared across facets or allowed to vary. One of the following:

"fixed" or FALSE

Scales are shared across all facets (default).

"free_x"

x-scales are allowed to vary.

"free_y"

y-scales are allowed to vary.

"free" or TRUE

Both scales can vary

axes

A character(1) or logical(1) where axes should be drawn. One of the following:

"margins" or FALSE

Only draw axes at the outer margins (default).

"x"

Draw axes at the outer margins and all inner x-axes too.

"y"

Draw axes at the outer margins and all inner y-axes too.

"all" or TRUE

Draw the axes for every panel.

remove_labels

A character(1) or logical(1) determining whether axis text is displayed at inner panels. One of the following:

"none" or FALSE

Display axis text at all axes (default).

"x"

Display axis text at outer margins and all inner y-axes.

"y"

Display axis text at outer margins and all inner x-axes.

"all" or TRUE

Only display axis text at the outer margins.

shrink

If TRUE, will shrink scales to fit output of statistics, not raw data. If FALSE, will be range of raw data before statistical summary.

labeller

A function that takes one data frame of labels and returns a list or data frame of character vectors. Each input column corresponds to one factor. Thus there will be more than one with vars(cyl, am). Each output column gets displayed as one separate line in the strip label. This function should inherit from the "labeller" S3 class for compatibility with labeller(). You can use different labeling functions for different kind of labels, for example use label_parsed() for formatting facet labels. label_value() is used by default, check it for more details and pointers to other options.

as.table

If TRUE, the default, the facets are laid out like a table with highest values at the bottom-right. If FALSE, the facets are laid out like a plot with the highest value at the top-right.

drop

If TRUE, the default, all factor levels not used in the data will automatically be dropped. If FALSE, all factor levels will be shown, regardless of whether or not they appear in the data.

dir

Direction: either "h" for horizontal, the default, or "v", for vertical.

strip.position

By default, the labels are displayed on the top of the plot. Using strip.position it is possible to place the labels on either of the four sides by setting strip.position = c("top", "bottom", "left", "right")

nest_line

a theme element, either element_blank() or inheriting from ggplot2::element_line(). Lines are drawn between layers of strips indicating hierarchy. The element inherits from the ggh4x.facet.nestline element in the theme.

solo_line

A logical(1) indicating whether parent strips with a single child should be drawn with a nest_line (TRUE) or the line only applies to parents with multiple children (FALSE, default). Only relevant when nest_line is drawn.

resect

a unit vector of length 1, indicating how much the nesting line should be shortened.

trim_blank

A logical(1). When TRUE (default), does not draw rows and columns containing no panels. When FALSE, the nrow and ncol arguments are taken literally, even when there are more than needed to fit all panels.

strip

An object created by a call to a strip function, such as strip_nested().

bleed

[Deprecated] the bleed argument has moved to the strip_nested() function.

Value

A FacetNestedWrap ggproto object that can be added to a plot.

Details

This function inherits the capabilities of facet_wrap2().

This function only merges strips in the same row or column as they appear through regular facet_wrap() layout behaviour.

Hierarchies are inferred from the order of variables supplied to facets. The first variable is interpreted to be the outermost variable, while the last variable is interpreted to be the innermost variable. They display order is always such that the outermost variable is placed the furthest away from the panels. For more information about the nesting of strips, please visit the documentation of strip_nested().

See also

See strip_nested() for nested strips. See ggplot2::facet_wrap() for descriptions of the original arguments. See grid::unit() for the construction of a unit vector.

Other facetting functions: facet_grid2(), facet_manual(), facet_nested(), facet_wrap2()

Examples

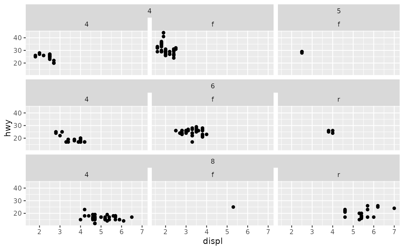
# A standard plot
p <- ggplot(mpg, aes(displ, hwy)) +
  geom_point()

# Similar to `facet_wrap2(..., strip = strip_nested())`.
p + facet_nested_wrap(vars(cyl, drv))


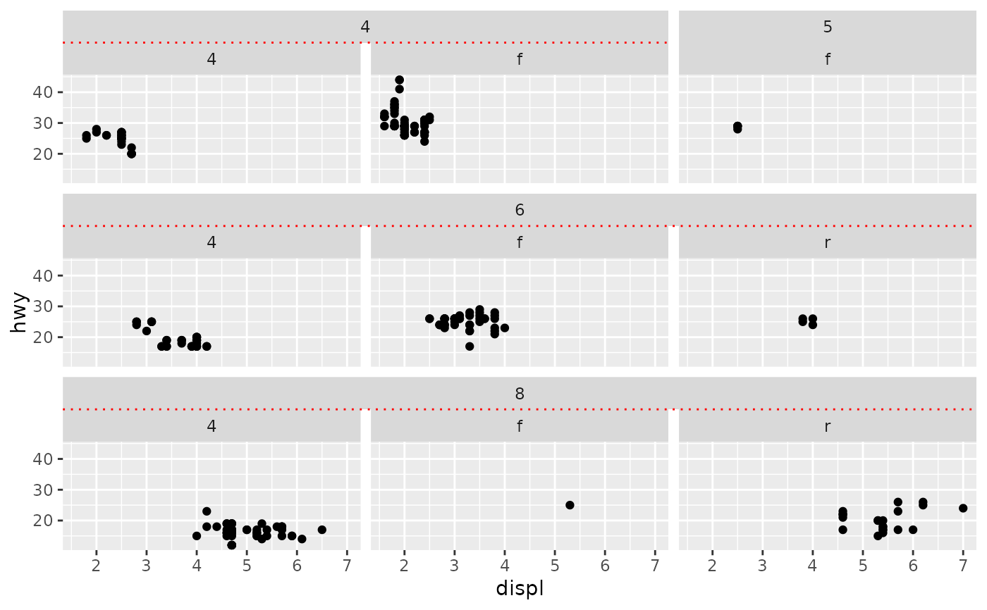
# A nest line inherits from the global theme
p + facet_nested_wrap(vars(cyl, drv),
                      nest_line = element_line(colour = "red")) +
  theme(ggh4x.facet.nestline = element_line(linetype = 3))