In facet_manual() the layout for panels is determined by a custom design. Inspired by base-R graphics layout() function, this variant of facets offers more freedom in how panels are displayed, but comes with less guarantees that it looks right.

facet_manual(
  facets,
  design = NULL,
  widths = NULL,
  heights = NULL,
  respect = FALSE,
  drop = TRUE,
  strip.position = "top",
  scales = "fixed",
  axes = "margins",
  remove_labels = "none",
  labeller = "label_value",
  trim_blank = TRUE,
  strip = "vanilla"
)

Arguments

facets

A set of variables or expressions quoted by vars() and defining faceting groups on the rows or columns dimension. The variables can be named (the names are passed to labeller).

For compatibility with the classic interface, can also be a formula or character vector. Use either a one sided formula, ~a + b, or a character vector, c("a", "b").

design

Specification of panel areas in the layout. Can either be specified as a character(1) string or as a matrix. See examples.

widths, heights

A numeric or unit vector setting the sizes of panels. A numeric vector is converted to relative "null" units. Alternatively, when NULL (default), the sizes are set per instructions of coord or theme aspect ratio. Note that these widths and heights apply to the cells where panels can be drawn. In between such cells, room will be made to fit plot decoration such as paddings, axes and strips.

respect

A logical(1). If TRUE, widths and heights specified in "null" units are proportional. If FALSE, "null" units in the x- and y-directions can vary independently. Alternatively, when NULL, the respect parameter takes instructions from the coord or theme.

drop

If TRUE, the default, all factor levels not used in the data will automatically be dropped. If FALSE, all factor levels will be shown, regardless of whether or not they appear in the data.

strip.position

By default, the labels are displayed on the top of the plot. Using strip.position it is possible to place the labels on either of the four sides by setting strip.position = c("top", "bottom", "left", "right")

scales

A character(1) or logical(1) whether scales are shared across facets or allowed to vary. One of the following:

"fixed" or FALSE

Scales are shared across all facets (default).

"free_x"

x-scales are allowed to vary.

"free_y"

y-scales are allowed to vary.

"free" or TRUE

Both scales can vary

axes

A character(1) or logical(1) where axes should be drawn. One of the following:

"margins" or FALSE

Only draw axes at the outer margins (default).

"x"

Draw axes at the outer margins and all inner x-axes too.

"y"

Draw axes at the outer margins and all inner y-axes too.

"all" or TRUE

Draw the axes for every panel.

remove_labels

A character(1) or logical(1) determining whether axis text is displayed at inner panels. One of the following:

"none" or FALSE

Display axis text at all axes (default).

"x"

Display axis text at outer margins and all inner y-axes.

"y"

Display axis text at outer margins and all inner x-axes.

"all" or TRUE

Only display axis text at the outer margins.

labeller

A function that takes one data frame of labels and returns a list or data frame of character vectors. Each input column corresponds to one factor. Thus there will be more than one with vars(cyl, am). Each output column gets displayed as one separate line in the strip label. This function should inherit from the "labeller" S3 class for compatibility with labeller(). You can use different labeling functions for different kind of labels, for example use label_parsed() for formatting facet labels. label_value() is used by default, check it for more details and pointers to other options.

trim_blank

A logical(1). When TRUE (default), the design will be trimmed to remove empty rows and columns.

strip

A strip specification as one of the following:

  • An object inheriting from <Strip>, such as an object created with strip_vanilla().

  • A strip function, i.e. strip_vanilla.

  • A string giving such function without the strip_-prefix, i.e. "vanilla".

Value

A Facet ggproto object that can be added to a plot.

See also

Other facetting functions: facet_grid2(), facet_nested(), facet_nested_wrap(), facet_wrap2()

Examples

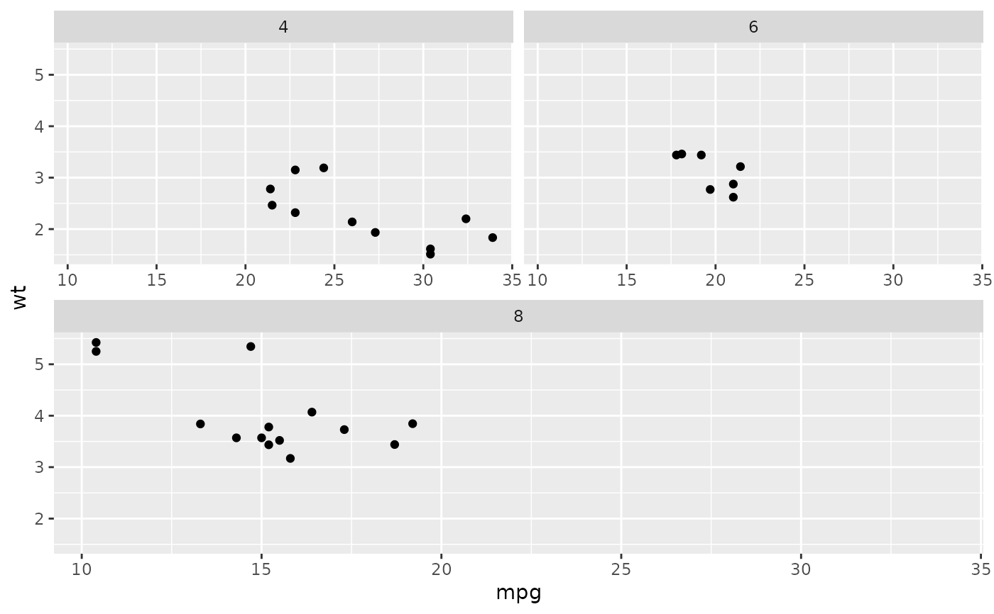
# A standard plot
p <- ggplot(mtcars, aes(mpg, wt)) +
  geom_point()

# The `design` argument can be a character string.
# New rows are indicated by newline symbol (`\n`), which are added
# automatically for multi-line strings.
# The `#`-symbol indicates empty cells.
design <- "
 A##
 AB#
 #BC
 ##C
"
p + facet_manual(~ cyl, design)


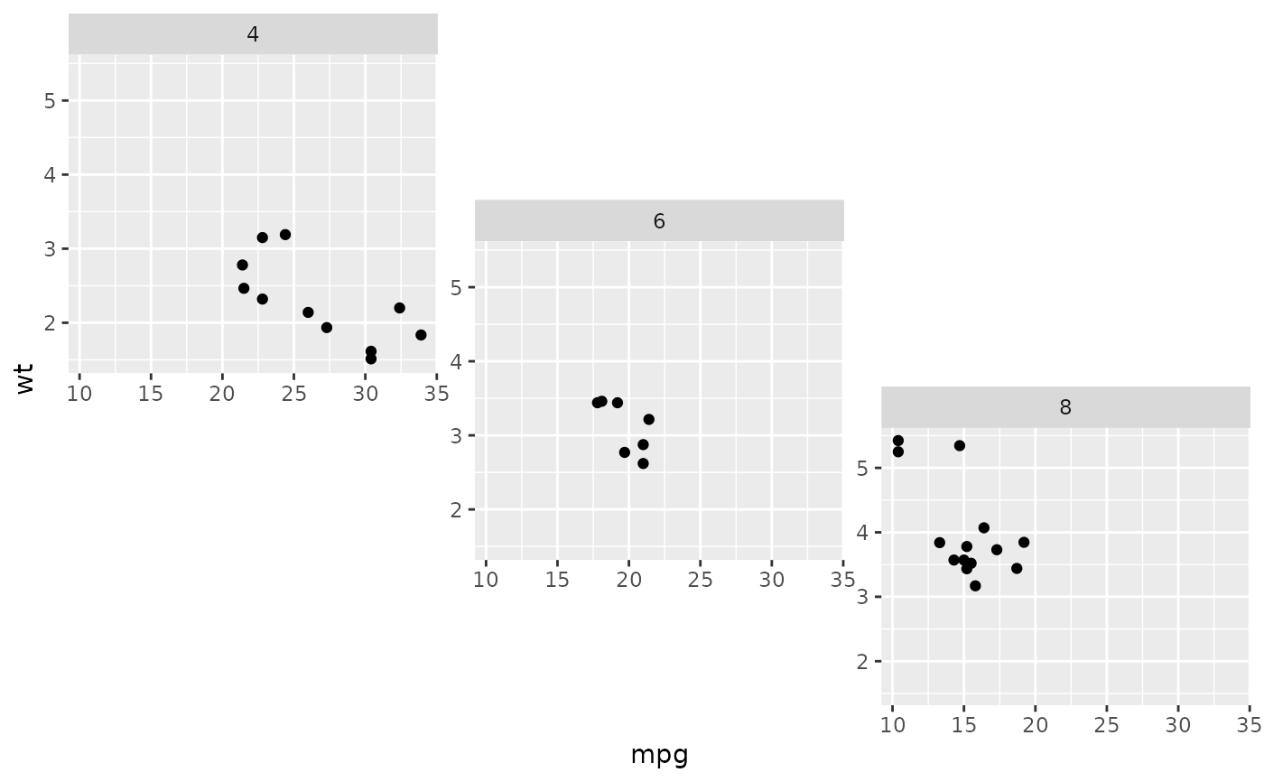
# Alternatively, the `design` argument can be a matrix.
# Using `NA`s will leave the cell empty.
design <- matrix(c(1,2,3,3), 2, 2, byrow = TRUE)
p + facet_manual(~ cyl, design)


# The sizes of columns and rows can be adjusted with the `widths` and
# `heights`parameters respectively.
p + facet_manual(
  ~ cyl, t(design),
  widths = c(2, 1), heights = c(2, 1), respect = TRUE
)