Inverse Response Plots to Transform the Response
invResPlot.RdFor a lm model, draws an inverse.response plot with the response \(Y\) on the
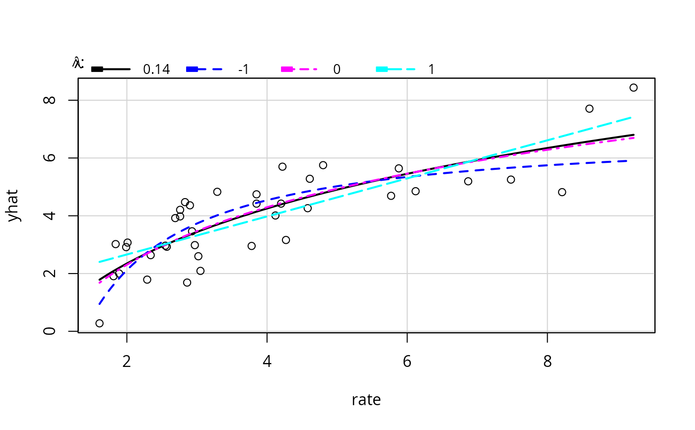
vertical axis and the fitted values \(\hat{Y}\)
on the horizontal axis. Uses nls to
estimate \(\lambda\) in the function
\(\hat{Y}=b_0+b_1Y^{\lambda}\).
Adds the fitted curve to the plot.
invResPlot is an alias for inverseResponsePlot.
Arguments
- model
A
"lm"regression object.- lambda
A vector of values for lambda. A plot will be produced with curves corresponding to these lambdas and to the nonlinear least squares estimate of lambda.
- robust
If
TRUE, then estimation uses Huber M-estimates with the median absolute deviation to estimate scale and k= 1.345. The default isFALSE.- xlab
The horizontal axis label. If
NULL, it is constructed by the function.- id
controls point identification; if
FALSE(the default), no points are identified; can be a list of named arguments to theshowLabelsfunction;TRUEis equivalent tolist(method=list(method="x", n=2, cex=1, col=carPalette()[1], location="lr"), which identifies the 2 points with the most extreme horizontal (X) values.- ...
Other arguments passed to
invTranPlotand then toplot.
Value
As a side effect, a plot is produced with the response on the horizontal axis and fitted values on the vertical axis. Several lines are added to be plot as the ols estimates of the regression of \(\hat{Y}\) on \(Y^{\lambda}\), interpreting \(\lambda\) = 0 to be natural logarithms.
Numeric output is a list with elements
- lambda
Estimate of transformation parameter for the response
- RSS
The residual sum of squares at the minimum if robust=FALSE. If robust = TRUE, the value of Huber objective function is returned.
References
Fox, J. and Weisberg, S. (2011) An R Companion to Applied Regression, Second Edition, Sage.
Prendergast, L. A., & Sheather, S. J. (2013) On sensitivity of inverse response plot estimation and the benefits of a robust estimation approach. Scandinavian Journal of Statistics, 40(2), 219-237.
Weisberg, S. (2014) Applied Linear Regression, Fourth Edition, Wiley, Chapter 7.
