Skip to contents

The function mso adds an attribute vario to an object of class "cca" that describes the spatial partitioning of the cca object and performs an optional permutation test for the spatial independence of residuals. The function plot.mso creates a diagnostic plot of the spatial partitioning of the "cca" object.

Usage

mso(object.cca, object.xy, grain = 1, round.up = FALSE, permutations = 0)
msoplot(x, alpha = 0.05, explained = FALSE, ylim = NULL, legend = "topleft", ...)

Arguments

object.cca

An object of class cca, created by the cca or rda function.

object.xy

A vector, matrix or data frame with the spatial coordinates of the data represented by object.cca. The number of rows must match the number of observations (as given by nobs) in cca.object. Alternatively, interpoint distances can be supplied as a dist object.

grain

Interval size for distance classes.

round.up

Determines the choice of breaks. If false, distances are rounded to the nearest multiple of grain. If true, distances are rounded to the upper multiple of grain.

permutations

a list of control values for the permutations as returned by the function how, or the number of permutations required, or a permutation matrix where each row gives the permuted indices.

x

A result object of mso.

alpha

Significance level for the two-sided permutation test of the Mantel statistic for spatial independence of residual inertia and for the point-wise envelope of the variogram of the total variance. A Bonferroni-type correction can be achieved by dividing the overall significance value (e.g. 0.05) by the number of distance classes.

explained

If false, suppresses the plotting of the variogram of explained variance.

ylim

Limits for y-axis.

legend

The x and y co-ordinates to be used to position the legend. They can be specified by keyword or in any way which is accepted by legend.

...

Other arguments passed to functions.

Details

The Mantel test is an adaptation of the function mantel to the parallel testing of several distance classes and similar to multivariate mantel.correlog. It compares the mean inertia in each distance class to the pooled mean inertia of all other distance classes.

If there are explanatory variables (RDA, CCA, pRDA, pCCA) and a significance test for residual autocorrelation was performed when running the function mso, the function plot.mso will print an estimate of how much the autocorrelation (based on significant distance classes) causes the global error variance of the regression analysis to be underestimated

Value

The function mso returns an amended cca or rda object with the additional attributes grain, H, H.test and vario.

grain

The grain attribute defines the interval size of the distance classes .

H

H is an object of class 'dist' and contains the geographic distances between observations.

H.test

H.test contains a set of dummy variables that describe which pairs of observations (rows = elements of object$H) fall in which distance class (columns).

vario

The vario attribute is a data frame that contains some or all of the following components for the rda case (cca case in brackets):

H

Distance class as multiples of grain.

Dist

Average distance of pairs of observations in distance class H.

n

Number of unique pairs of observations in distance class H.

All

Empirical (chi-square) variogram of total variance (inertia).

Sum

Sum of empirical (chi-square) variograms of explained and residual variance (inertia).

CA

Empirical (chi-square) variogram of residual variance (inertia).

CCA

Empirical (chi-square) variogram of explained variance (inertia).

pCCA

Empirical (chi-square) variogram of conditioned variance (inertia).

se

Standard error of the empirical (chi-square) variogram of total variance (inertia).

CA.signif

P-value of permutation test for spatial independence of residual variance (inertia).

References

Wagner, H.H. 2004. Direct multi-scale ordination with canonical correspondence analysis. Ecology 85: 342–351.

Author

The responsible author was Helene Wagner.

Note

The function is based on the code published in the Ecological Archives E085-006 (doi:10.1890/02-0738 ).

See also

Examples

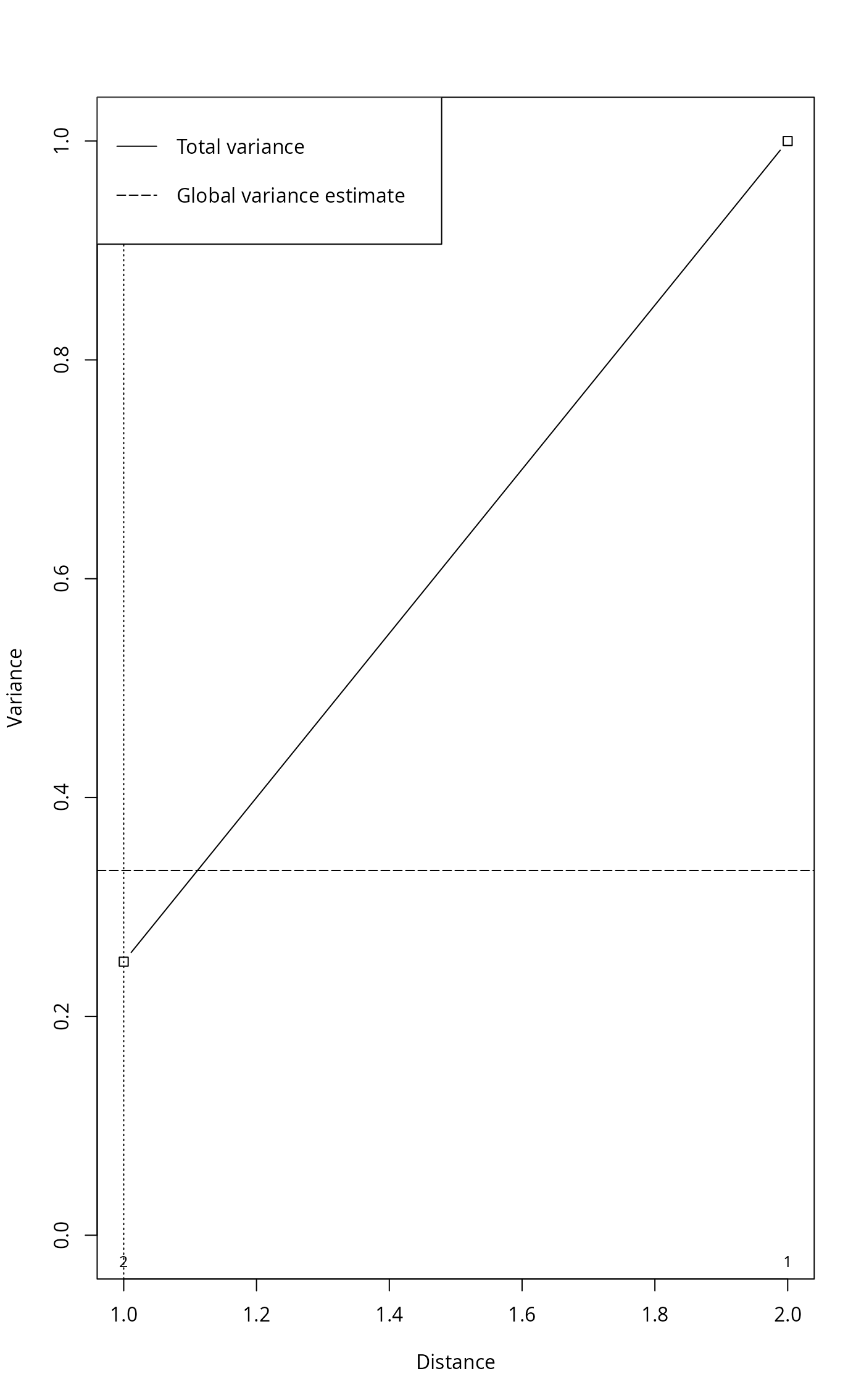
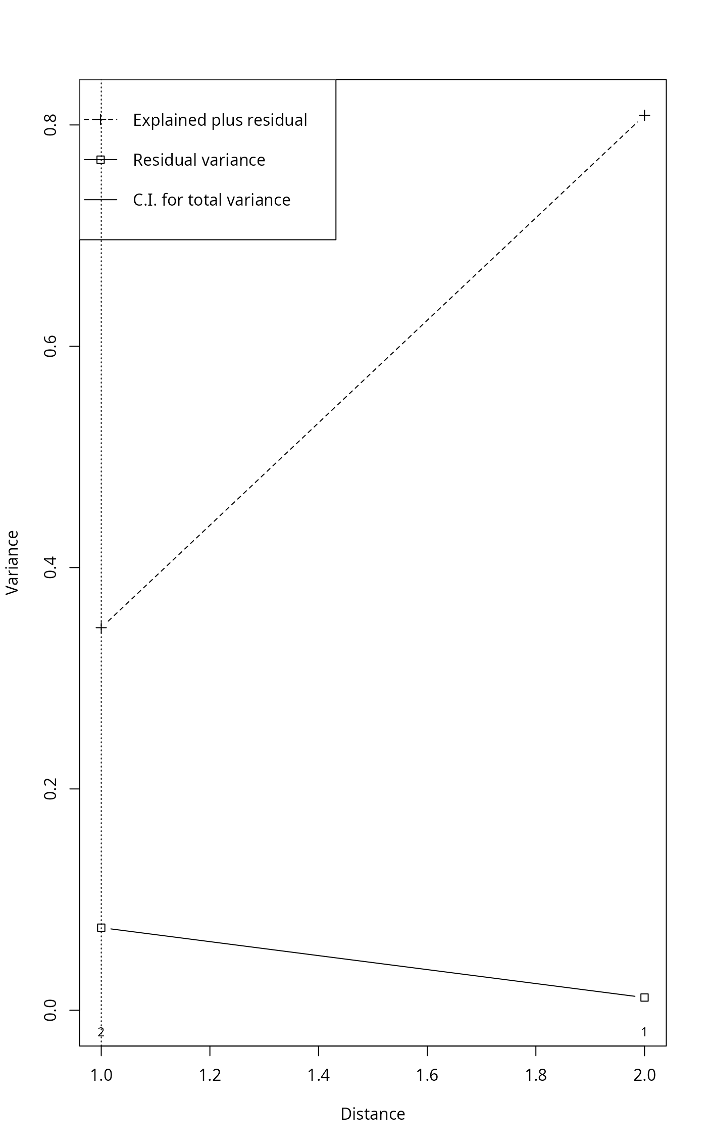
## Reconstruct worked example of Wagner (submitted):
X <- matrix(c(1, 2, 3, 2, 1, 0), 3, 2)
Y <- c(3, -1, -2)
tmat <- c(1:3)
## Canonical correspondence analysis (cca):
Example.cca <- cca(X, Y)
Example.cca <- mso(Example.cca, tmat)
#> Set of permutations < 'minperm'. Generating entire set.
msoplot(Example.cca)

Example.cca$vario
#>   H Dist n  All       Sum         CA       CCA se
#> 1 1    1 2 0.25 0.3456633 0.07461735 0.2710459  0
#> 2 2    2 1 1.00 0.8086735 0.01147959 0.7971939 NA

## Correspondence analysis (ca):
Example.ca <- mso(cca(X), tmat)
#> Set of permutations < 'minperm'. Generating entire set.
msoplot(Example.ca)


## Unconstrained ordination with test for autocorrelation
## using oribatid mite data set as in Wagner (2004)
data(mite)
data(mite.env)
data(mite.xy)

mite.cca <- cca(log(mite + 1))
mite.cca <- mso(mite.cca, mite.xy, grain =  1, permutations = 99)
msoplot(mite.cca)

mite.cca
#> 
#> Call: mso(object.cca = mite.cca, object.xy = mite.xy, grain = 1,
#> permutations = 99)
#> 
#>               Inertia Rank
#> Total           1.164     
#> Unconstrained   1.164   34
#> 
#> Inertia is scaled Chi-square
#> 
#> Eigenvalues for unconstrained axes:
#>    CA1    CA2    CA3    CA4    CA5    CA6    CA7    CA8 
#> 0.3662 0.1328 0.0723 0.0658 0.0559 0.0481 0.0418 0.0391 
#> (Showing 8 of 34 unconstrained eigenvalues)
#> 
#> mso variogram:
#> 
#>     H   Dist   n    All     CA CA.signif
#> 0   0 0.3555  63 0.6250 0.6250      0.01
#> 1   1 1.0659 393 0.7556 0.7556      0.01
#> 2   2 2.0089 534 0.8931 0.8931      0.01
#> 3   3 2.9786 417 1.0988 1.0988      0.01
#> 4   4 3.9817 322 1.3321 1.3321      0.01
#> 5   5 5.0204 245 1.5109 1.5109      0.01
#> 10 10 6.8069 441 1.7466 1.7466      0.01
#> 
#> Permutation: free
#> Number of permutations: 99
#> 

## Constrained ordination with test for residual autocorrelation
## and scale-invariance of species-environment relationships
mite.cca <- cca(log(mite + 1) ~ SubsDens + WatrCont + Substrate + Shrub + Topo, mite.env)
mite.cca <- mso(mite.cca, mite.xy, permutations = 99)
msoplot(mite.cca)

#> Error variance of regression model underestimated by 0.4 percent 
mite.cca
#> 
#> Call: mso(object.cca = mite.cca, object.xy = mite.xy, permutations = 99)
#> 
#>               Inertia Proportion Rank
#> Total          1.1638     1.0000     
#> Constrained    0.5211     0.4478   11
#> Unconstrained  0.6427     0.5522   34
#> 
#> Inertia is scaled Chi-square
#> 
#> Eigenvalues for constrained axes:
#>    CCA1    CCA2    CCA3    CCA4    CCA5    CCA6    CCA7    CCA8    CCA9   CCA10 
#> 0.31207 0.06601 0.04117 0.02938 0.02438 0.01591 0.01201 0.00752 0.00612 0.00373 
#>   CCA11 
#> 0.00284 
#> 
#> Eigenvalues for unconstrained axes:
#>     CA1     CA2     CA3     CA4     CA5     CA6     CA7     CA8 
#> 0.07888 0.06752 0.05457 0.04023 0.03855 0.03491 0.03233 0.02692 
#> (Showing 8 of 34 unconstrained eigenvalues)
#> 
#> mso variogram:
#> 
#>     H   Dist   n    All    Sum     CA    CCA      se CA.signif
#> 0   0 0.3555  63 0.6250 0.7479 0.5512 0.1967 0.03506      0.01
#> 1   1 1.0659 393 0.7556 0.8820 0.6339 0.2482 0.01573      0.18
#> 2   2 2.0089 534 0.8931 0.9573 0.6473 0.3100 0.01487      0.68
#> 3   3 2.9786 417 1.0988 1.1010 0.6403 0.4607 0.01858      0.46
#> 4   4 3.9817 322 1.3321 1.2548 0.6521 0.6027 0.02439      0.98
#> 5   5 5.0204 245 1.5109 1.4564 0.6636 0.7928 0.02801      0.41
#> 10 10 6.8069 441 1.7466 1.6266 0.6914 0.9351 0.02052      0.19
#> 
#> Permutation: free
#> Number of permutations: 99
#>