Skip to contents

Function mantel.correlog computes a multivariate Mantel correlogram. Proposed by Sokal (1986) and Oden and Sokal (1986), the method is also described in Legendre and Legendre (2012, pp. 819–821) and tested and compared in Borcard and Legendere (2012).

Usage

mantel.correlog(D.eco, D.geo=NULL, XY=NULL, n.class=0, break.pts=NULL, 
cutoff=TRUE, r.type="pearson", nperm=999, mult="holm", progressive=TRUE)
# S3 method for class 'mantel.correlog'
plot(x, alpha=0.05, ...)

Arguments

D.eco

An ecological distance matrix, with class either dist or matrix.

D.geo

A geographic distance matrix, with class either dist or matrix. Provide either D.geo or XY. Default: D.geo=NULL.

XY

A file of Cartesian geographic coordinates of the points. Default: XY=NULL.

n.class

Number of classes. If n.class=0, the Sturges equation will be used unless break points are provided.

break.pts

Vector containing the break points of the distance distribution. Provide (n.class+1) breakpoints, that is, a list with a beginning and an ending point. Default: break.pts=NULL.

cutoff

For the second half of the distance classes, cutoff = TRUE limits the correlogram to the distance classes that include all points. If cutoff = FALSE, the correlogram includes all distance classes.

r.type

Type of correlation in calculation of the Mantel statistic. Default: r.type="pearson". Other choices are r.type="spearman" and r.type="kendall", as in functions cor and mantel.

nperm

Number of permutations for the tests of significance. Default: nperm=999. For large data files, permutation tests are rather slow.

mult

Correct P-values for multiple testing. The correction methods are "holm" (default), "hochberg", "sidak", and other methods available in the p.adjust function: "bonferroni" (best known, but not recommended because it is overly conservative), "hommel", "BH", "BY", "fdr", and "none".

progressive

Default: progressive=TRUE for progressive correction of multiple-testing, as described in Legendre and Legendre (1998, p. 721). Test of the first distance class: no correction; second distance class: correct for 2 simultaneous tests; distance class k: correct for k simultaneous tests. progressive=FALSE: correct all tests for n.class simultaneous tests.

x

Output of mantel.correlog.

alpha

Significance level for the points drawn with black symbols in the correlogram. Default: alpha=0.05.

...

Other parameters passed from other functions.

Details

A correlogram is a graph in which spatial correlation values are plotted, on the ordinate, as a function of the geographic distance classes among the study sites along the abscissa. In a Mantel correlogram, a Mantel correlation (Mantel 1967) is computed between a multivariate (e.g. multi-species) distance matrix of the user's choice and a design matrix representing each of the geographic distance classes in turn. The Mantel statistic is tested through a permutational Mantel test performed by vegan's mantel function.

Borcard and Legendre (2012) show that the testing method in the Mantel correlogram has correct type I error and power, contrary to the simple and partial Mantel tests so often used by ecologists and geneticists in spatial analysis (see mantel.partial). They also show that the test in Mantel correlograms is the same test as used by Wagner (2004) in multiscale ordination (mso), and that it is closely related to the Geary’s \(c\) test in univariate correlograms.

When a correction for multiple testing is applied, more permutations are necessary than in the no-correction case, to obtain significant \(p\)-values in the higher correlogram classes.

The print.mantel.correlog function prints out the correlogram. See examples.

Value

mantel.res

A table with the distance classes as rows and the class indices, number of distances per class, Mantel statistics (computed using Pearson's r, Spearman's r, or Kendall's tau), and p-values as columns. A positive Mantel statistic indicates positive spatial correlation. An additional column with p-values corrected for multiple testing is added unless mult="none".

n.class

The n umber of distance classes.

break.pts

The break points provided by the user or computed by the program.

mult

The name of the correction for multiple testing. No correction: mult="none".

progressive

A logical (TRUE, FALSE) value indicating whether or not a progressive correction for multiple testing was requested.

n.tests

The number of distance classes for which Mantel tests have been computed and tested for significance.

call

The function call.

Author

Pierre Legendre, Université de Montréal

References

Borcard, D. & P. Legendre. 2012. Is the Mantel correlogram powerful enough to be useful in ecological analysis? A simulation study. Ecology 93: 1473-1481.

Legendre, P. and L. Legendre. 2012. Numerical ecology, 3rd English edition. Elsevier Science BV, Amsterdam.

Mantel, N. 1967. The detection of disease clustering and a generalized regression approach. Cancer Res. 27: 209-220.

Oden, N. L. and R. R. Sokal. 1986. Directional autocorrelation: an extension of spatial correlograms to two dimensions. Syst. Zool. 35: 608-617.

Sokal, R. R. 1986. Spatial data analysis and historical processes. 29-43 in: E. Diday et al. [eds.] Data analysis and informatics, IV. North-Holland, Amsterdam.

Sturges, H. A. 1926. The choice of a class interval. Journal of the American Statistical Association 21: 65–66.

Wagner, H.H. 2004. Direct multi-scale ordination with canonical correspondence analysis. Ecology 85: 342-351.

Examples

# Mite data available in "vegan"
data(mite)        
data(mite.xy)  
mite.hel <- decostand(mite, "hellinger")

# Detrend the species data by regression on the site coordinates
mite.hel.resid <- resid(lm(as.matrix(mite.hel) ~ ., data=mite.xy))

# Compute the detrended species distance matrix
mite.hel.D <- dist(mite.hel.resid)

# Compute Mantel correlogram with cutoff, Pearson statistic
mite.correlog <- mantel.correlog(mite.hel.D, XY=mite.xy, nperm=49)
summary(mite.correlog)
#>            Length Class  Mode     
#> mantel.res 65     -none- numeric  
#> n.class     1     -none- numeric  
#> break.pts  14     -none- numeric  
#> mult        1     -none- character
#> n.tests     1     -none- numeric  
#> call        4     -none- call     
mite.correlog   
#> 
#> Mantel Correlogram Analysis
#> 
#> Call:
#>  
#> mantel.correlog(D.eco = mite.hel.D, XY = mite.xy, nperm = 49) 
#> 
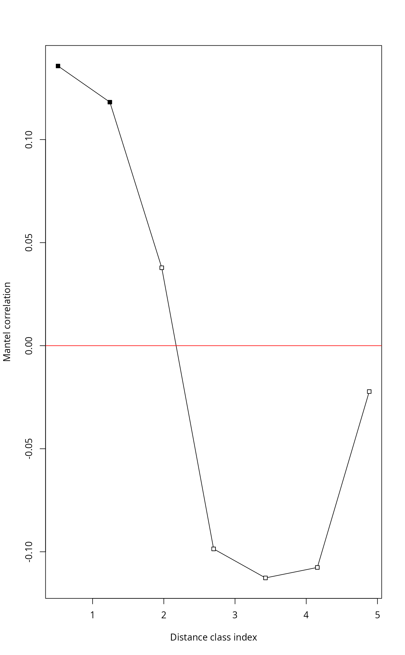
#>         class.index     n.dist Mantel.cor Pr(Mantel) Pr(corrected)  
#> D.cl.1     0.514182 358.000000   0.135713       0.02          0.02 *
#> D.cl.2     1.242546 650.000000   0.118174       0.02          0.04 *
#> D.cl.3     1.970910 796.000000   0.037820       0.04          0.06 .
#> D.cl.4     2.699274 696.000000  -0.098605       0.02          0.08 .
#> D.cl.5     3.427638 500.000000  -0.112682       0.02          0.10 .
#> D.cl.6     4.156002 468.000000  -0.107603       0.02          0.12  
#> D.cl.7     4.884366 364.000000  -0.022264       0.12          0.14  
#> D.cl.8     5.612730 326.000000         NA         NA            NA  
#> D.cl.9     6.341094 260.000000         NA         NA            NA  
#> D.cl.10    7.069458 184.000000         NA         NA            NA  
#> D.cl.11    7.797822 130.000000         NA         NA            NA  
#> D.cl.12    8.526186  66.000000         NA         NA            NA  
#> D.cl.13    9.254550  32.000000         NA         NA            NA  
#> ---
#> Signif. codes:  0 ‘***’ 0.001 ‘**’ 0.01 ‘*’ 0.05 ‘.’ 0.1 ‘ ’ 1
# or: print(mite.correlog)
# or: print.mantel.correlog(mite.correlog)
plot(mite.correlog)


# Compute Mantel correlogram without cutoff, Spearman statistic
mite.correlog2 <- mantel.correlog(mite.hel.D, XY=mite.xy, cutoff=FALSE, 
   r.type="spearman", nperm=49)
summary(mite.correlog2)
#>            Length Class  Mode     
#> mantel.res 65     -none- numeric  
#> n.class     1     -none- numeric  
#> break.pts  14     -none- numeric  
#> mult        1     -none- character
#> n.tests     1     -none- numeric  
#> call        6     -none- call     
mite.correlog2
#> 
#> Mantel Correlogram Analysis
#> 
#> Call:
#>  
#> mantel.correlog(D.eco = mite.hel.D, XY = mite.xy, cutoff = FALSE,      r.type = "spearman", nperm = 49) 
#> 
#>         class.index     n.dist Mantel.cor Pr(Mantel) Pr(corrected)  
#> D.cl.1     0.514182 358.000000   0.134229       0.02          0.02 *
#> D.cl.2     1.242546 650.000000   0.121270       0.02          0.04 *
#> D.cl.3     1.970910 796.000000   0.035413       0.02          0.06 .
#> D.cl.4     2.699274 696.000000  -0.095899       0.02          0.08 .
#> D.cl.5     3.427638 500.000000  -0.118692       0.02          0.10 .
#> D.cl.6     4.156002 468.000000  -0.117148       0.02          0.12  
#> D.cl.7     4.884366 364.000000  -0.031123       0.08          0.14  
#> D.cl.8     5.612730 326.000000   0.026064       0.14          0.16  
#> D.cl.9     6.341094 260.000000   0.050573       0.08          0.24  
#> D.cl.10    7.069458 184.000000   0.057017       0.04          0.20  
#> D.cl.11    7.797822 130.000000   0.036195       0.10          0.32  
#> D.cl.12    8.526186  66.000000  -0.054242       0.02          0.24  
#> D.cl.13    9.254550  32.000000  -0.066677       0.04          0.26  
#> ---
#> Signif. codes:  0 ‘***’ 0.001 ‘**’ 0.01 ‘*’ 0.05 ‘.’ 0.1 ‘ ’ 1
plot(mite.correlog2)


# NOTE: 'nperm' argument usually needs to be larger than 49.
# It was set to this low value for demonstration purposes.