The tune package helps optimize the modeling process. Users can tag arguments in recipes and model objects for optimization. The search routines in tune can discover these arguments and evaluate candidate values until a combination with good performance is found.
As an example, let’s model the Ames housing data:
library(tidymodels)
data(ames)
set.seed(4595)
data_split <- ames %>%
mutate(Sale_Price = log10(Sale_Price)) %>%
initial_split(strata = Sale_Price)
ames_train <- training(data_split)
ames_test <- testing(data_split)For simplicity, the sale price of a house will be modeled as a function of its geo-location. These predictors appear to have nonlinear relationships with the outcome:
ames_train %>%
dplyr::select(Sale_Price, Longitude, Latitude) %>%
tidyr::pivot_longer(cols = c(Longitude, Latitude),
names_to = "predictor", values_to = "value") %>%
ggplot(aes(x = value, Sale_Price)) +
geom_point(alpha = .2) +
geom_smooth(se = FALSE) +
facet_wrap(~ predictor, scales = "free_x")
#> `geom_smooth()` using method = 'gam' and formula = 'y ~ s(x, bs = "cs")'
These two predictors could be modeled using natural splines in conjunction with a linear model. The amount of “wiggliness” in these splines is determined by the degrees of freedom. An appropriate value of this parameter cannot be analytically determined from the data, so it is a tuning parameter (a.k.a. a hyper-parameter). A common approach is to use resampling to estimate model performance over different values of these parameters and use these results to set reasonable values.
We can tag these parameters for optimization using the
tune() function:
ames_rec <-
recipe(Sale_Price ~ Gr_Liv_Area + Longitude + Latitude, data = ames_train) %>%
step_log(Gr_Liv_Area, base = 10) %>%
step_spline_natural(Longitude, Latitude, deg_free = tune())The package can detect these parameters and optimize them.
However, based on the plot above, the potential amount of non-linearity between the sale price and the predictors might be different. For example, longitude might require more flexibility than latitude. The recipe above would constrain the nonlinearity of the predictors to be the same. We can probably do better than that.
To accomplish this, individual step_spline_natural()
terms can be added to the recipe for each predictor. However, we want
these to be identifiable; using the same syntax as above, we can’t tell
the difference between the two deg_free parameters.
tune() has an option to provide a text annotation so
that each tuning parameter has a unique identifier:
ames_rec <-
recipe(Sale_Price ~ Gr_Liv_Area + Longitude + Latitude, data = ames_train) %>%
step_log(Gr_Liv_Area, base = 10) %>%
step_spline_natural(Longitude, deg_free = tune("long df")) %>%
step_spline_natural(Latitude, deg_free = tune("lat df"))The function extract_parameter_set_dials() can detect
and collect the parameters that have been flagged for tuning.
extract_parameter_set_dials(ames_rec)
#> Collection of 2 parameters for tuning
#>
#> identifier type object
#> long df deg_free nparam[+]
#> lat df deg_free nparam[+]
#> The dials package has default ranges for many parameters. The generic
parameter function for deg_free() has a fairly small
range:
deg_free()
#> Degrees of Freedom (quantitative)
#> Range: [1, 5]However, there is a function in dials that is more appropriate for splines:
spline_degree()
#> Spline Degrees of Freedom (quantitative)
#> Range: [1, 10]The parameter objects can be easily changed using the
update() function:
ames_param <-
ames_rec %>%
extract_parameter_set_dials() %>%
update(
`long df` = spline_degree(),
`lat df` = spline_degree()
)
ames_param
#> Collection of 2 parameters for tuning
#>
#> identifier type object
#> long df deg_free nparam[+]
#> lat df deg_free nparam[+]
#> Grid search uses a pre-defined set of candidate parameters and evaluates these using resampling. The basic ingredients are:
A grid of candidate values to evaluate.
One or more performance metrics for quantifying how well the model works.
A resampling scheme that can be used to appropriately measure performance (which could be a simple validation set).
To make the grid, a data frame is needed with column names matching
the “identifier” column above. There are several functions in dials to
created grids (named grid_*()). For example, a
space-filling design can be created by:
spline_grid <- grid_max_entropy(ames_param, size = 10)
#> Warning: `grid_max_entropy()` was deprecated in dials 1.3.0.
#> ℹ Please use `grid_space_filling()` instead.
#> This warning is displayed once every 8 hours.
#> Call `lifecycle::last_lifecycle_warnings()` to see where this warning was
#> generated.
spline_grid
#> # A tibble: 10 × 2
#> `long df` `lat df`
#> <int> <int>
#> 1 6 5
#> 2 7 1
#> 3 10 2
#> 4 3 1
#> 5 1 9
#> 6 9 6
#> 7 1 4
#> 8 3 7
#> 9 9 10
#> 10 5 9Alternately, expand.grid() also works to create a
regular grid:
df_vals <- seq(2, 18, by = 2)
# A regular grid:
spline_grid <- expand.grid(`long df` = df_vals, `lat df` = df_vals)Note that a 2-degree-of-freedom model is a simple quadratic fit.
There are two other ingredients that are required before tuning.
First is a model specification. Using functions in parsnip, a basic linear model can be used:
lm_mod <- linear_reg() %>% set_engine("lm")No tuning parameters here.
As mentioned above, a resampling specification is also needed. The Ames data set is large enough to use simple 10-fold cross-validation:
The root mean squared error will be used to measure performance (and this is the default for regression problems).
Using these objects, tune_grid() can be used1:
ames_res <- tune_grid(lm_mod, ames_rec, resamples = cv_splits, grid = spline_grid)The object is similar to the rsample object but with one
or more extra columns:
ames_res
#> # Tuning results
#> # 10-fold cross-validation using stratification
#> # A tibble: 10 × 4
#> splits id .metrics .notes
#> <list> <chr> <list> <list>
#> 1 <split [1976/221]> Fold01 <tibble [162 × 6]> <tibble [0 × 4]>
#> 2 <split [1976/221]> Fold02 <tibble [162 × 6]> <tibble [0 × 4]>
#> 3 <split [1976/221]> Fold03 <tibble [162 × 6]> <tibble [0 × 4]>
#> 4 <split [1976/221]> Fold04 <tibble [162 × 6]> <tibble [0 × 4]>
#> 5 <split [1977/220]> Fold05 <tibble [162 × 6]> <tibble [0 × 4]>
#> 6 <split [1977/220]> Fold06 <tibble [162 × 6]> <tibble [0 × 4]>
#> 7 <split [1978/219]> Fold07 <tibble [162 × 6]> <tibble [0 × 4]>
#> 8 <split [1978/219]> Fold08 <tibble [162 × 6]> <tibble [0 × 4]>
#> 9 <split [1979/218]> Fold09 <tibble [162 × 6]> <tibble [0 × 4]>
#> 10 <split [1980/217]> Fold10 <tibble [162 × 6]> <tibble [0 × 4]>The .metrics column has all of the holdout performance
estimates2 for each parameter combination:
ames_res$.metrics[[1]]
#> # A tibble: 162 × 6
#> `long df` `lat df` .metric .estimator .estimate .config
#> <dbl> <dbl> <chr> <chr> <dbl> <chr>
#> 1 2 2 rmse standard 0.0985 pre01_mod0_post0
#> 2 2 2 rsq standard 0.683 pre01_mod0_post0
#> 3 2 4 rmse standard 0.0970 pre02_mod0_post0
#> 4 2 4 rsq standard 0.693 pre02_mod0_post0
#> 5 2 6 rmse standard 0.0959 pre03_mod0_post0
#> 6 2 6 rsq standard 0.702 pre03_mod0_post0
#> 7 2 8 rmse standard 0.0925 pre04_mod0_post0
#> 8 2 8 rsq standard 0.724 pre04_mod0_post0
#> 9 2 10 rmse standard 0.0918 pre05_mod0_post0
#> 10 2 10 rsq standard 0.728 pre05_mod0_post0
#> # ℹ 152 more rowsTo get the average metric value for each parameter combination,
collect_metrics() can be put to use:
estimates <- collect_metrics(ames_res)
estimates
#> # A tibble: 162 × 8
#> `long df` `lat df` .metric .estimator mean n std_err .config
#> <dbl> <dbl> <chr> <chr> <dbl> <int> <dbl> <chr>
#> 1 2 2 rmse standard 0.100 10 0.00145 pre01_mod0_post0
#> 2 2 2 rsq standard 0.674 10 0.00777 pre01_mod0_post0
#> 3 2 4 rmse standard 0.0996 10 0.00137 pre02_mod0_post0
#> 4 2 4 rsq standard 0.680 10 0.00675 pre02_mod0_post0
#> 5 2 6 rmse standard 0.0987 10 0.00127 pre03_mod0_post0
#> 6 2 6 rsq standard 0.686 10 0.00734 pre03_mod0_post0
#> 7 2 8 rmse standard 0.0966 10 0.00122 pre04_mod0_post0
#> 8 2 8 rsq standard 0.699 10 0.00662 pre04_mod0_post0
#> 9 2 10 rmse standard 0.0965 10 0.00117 pre05_mod0_post0
#> 10 2 10 rsq standard 0.700 10 0.00661 pre05_mod0_post0
#> # ℹ 152 more rowsThe values in the mean column are the averages of the 10
resamples. The best RMSE values corresponded to:
rmse_vals <-
estimates %>%
dplyr::filter(.metric == "rmse") %>%
arrange(mean)
rmse_vals
#> # A tibble: 81 × 8
#> `long df` `lat df` .metric .estimator mean n std_err .config
#> <dbl> <dbl> <chr> <chr> <dbl> <int> <dbl> <chr>
#> 1 16 12 rmse standard 0.0948 10 0.00120 pre69_mod0_post0
#> 2 18 12 rmse standard 0.0948 10 0.00121 pre78_mod0_post0
#> 3 16 8 rmse standard 0.0949 10 0.00118 pre67_mod0_post0
#> 4 16 10 rmse standard 0.0949 10 0.00118 pre68_mod0_post0
#> 5 16 18 rmse standard 0.0949 10 0.00119 pre72_mod0_post0
#> 6 16 16 rmse standard 0.0949 10 0.00122 pre71_mod0_post0
#> 7 18 10 rmse standard 0.0949 10 0.00119 pre77_mod0_post0
#> 8 18 8 rmse standard 0.0949 10 0.00119 pre76_mod0_post0
#> 9 18 18 rmse standard 0.0950 10 0.00120 pre81_mod0_post0
#> 10 16 14 rmse standard 0.0950 10 0.00117 pre70_mod0_post0
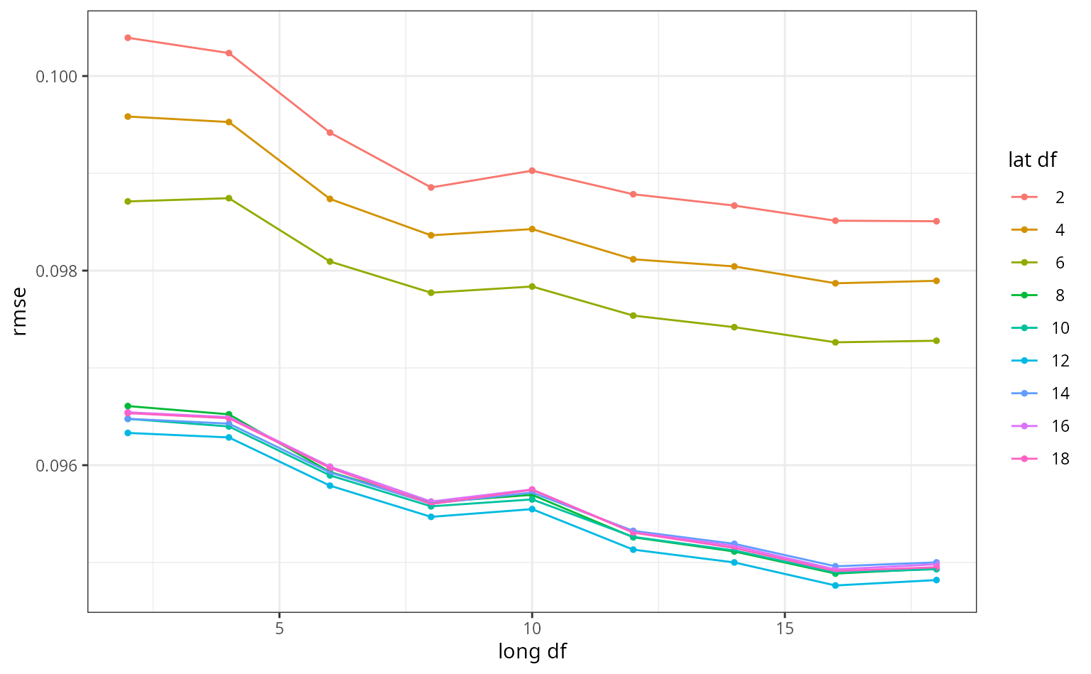
#> # ℹ 71 more rowsSmaller degrees of freedom values correspond to more linear functions, but the grid search indicates that more nonlinearity is better. What was the relationship between these two parameters and RMSE?
autoplot(ames_res, metric = "rmse")
Interestingly, latitude does not do well with degrees of freedom less than 8. How nonlinear are the optimal degrees of freedom?
Let’s plot these spline functions over the data for both good and bad
values of deg_free:
ames_train %>%
dplyr::select(Sale_Price, Longitude, Latitude) %>%
tidyr::pivot_longer(cols = c(Longitude, Latitude),
names_to = "predictor", values_to = "value") %>%
ggplot(aes(x = value, Sale_Price)) +
geom_point(alpha = .2) +
geom_smooth(se = FALSE, method = lm, formula = y ~ splines::ns(x, df = 3), col = "red") +
geom_smooth(se = FALSE, method = lm, formula = y ~ splines::ns(x, df = 16)) +
scale_y_log10() +
facet_wrap(~ predictor, scales = "free_x")
Looking at these plots, the smaller degrees of freedom (red) are clearly under-fitting. Visually, the more complex splines (blue) might indicate that there is overfitting but this would result in poor RMSE values when computed on the hold-out data.
Based on these results, a new recipe would be created with the optimized values (using the entire training set) and this would be combined with a linear model created form the entire training set.
Instead of a linear regression, a nonlinear model might provide good performance. A K-nearest-neighbor fit will also be optimized. For this example, the number of neighbors and the distance weighting function will be optimized:
# requires the kknn package
knn_mod <-
nearest_neighbor(neighbors = tune(), weight_func = tune()) %>%
set_engine("kknn") %>%
set_mode("regression")The easiest approach to optimize the pre-processing and model parameters is to bundle these objects into a workflow:
From this, the parameter set can be used to modify the range and values of parameters being optimized3:
knn_param <-
knn_wflow %>%
extract_parameter_set_dials() %>%
update(
`long df` = spline_degree(c(2, 18)),
`lat df` = spline_degree(c(2, 18)),
neighbors = neighbors(c(3, 50)),
weight_func = weight_func(values = c("rectangular", "inv", "gaussian", "triangular"))
)This parameter collection can be used with the grid functions or with
tune_grid() via the param_info argument.
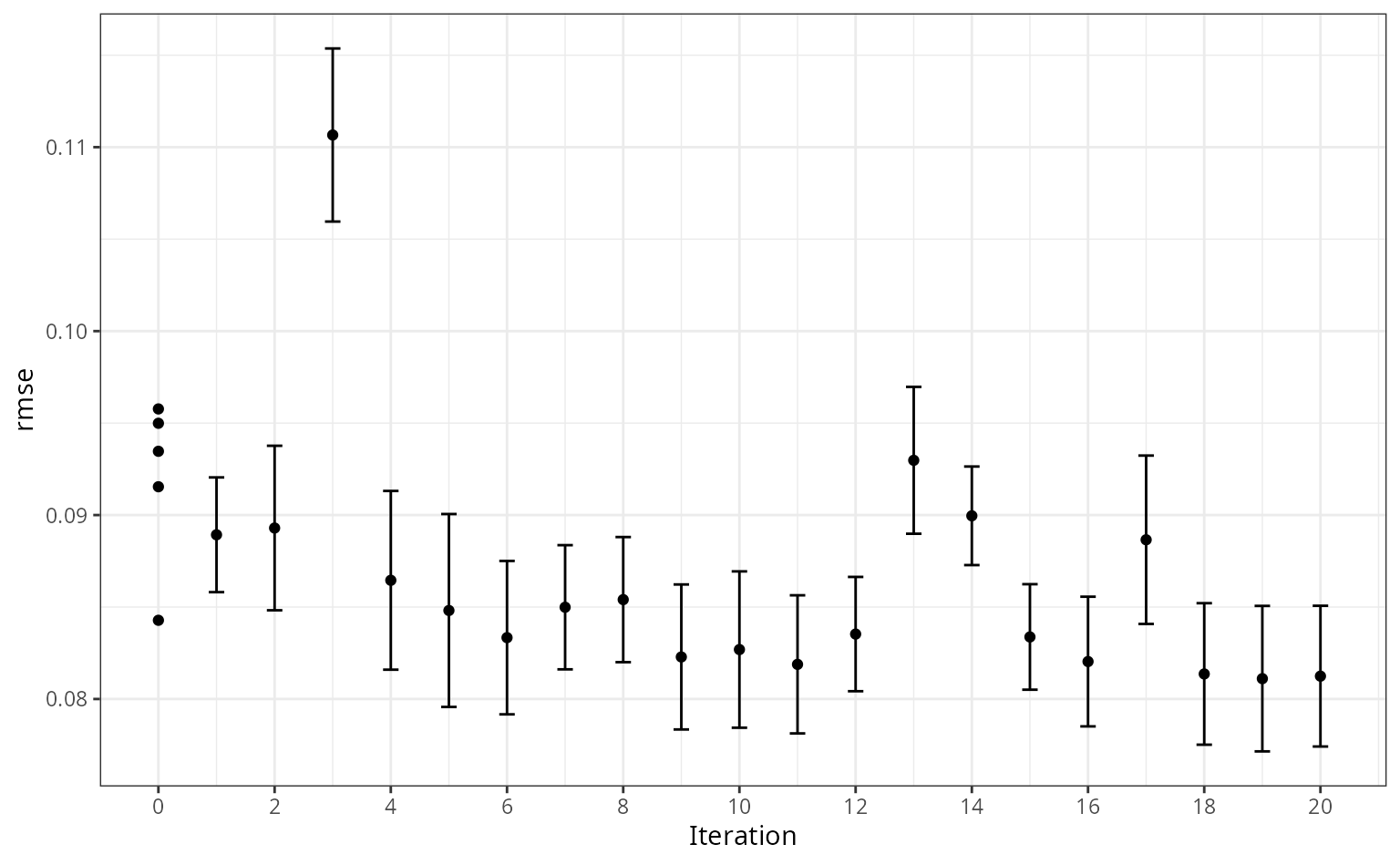
Instead of using grid search, an iterative method called Bayesian optimization can be used. This takes an initial set of results and tries to predict the next tuning parameters to evaluate.
Although no grid is required, the process requires a few additional pieces of information:
A description of the search space. At a minimum, the would consist of ranges for numeric values and a list of values for categorical tuning parameters.
An acquisition function that helps score potential tuning parameter values.
A model for analyzing and making predictions of the best tuning parameter values. A Gaussian Process model is typical and used here.
The code to conduct the search is:
ctrl <- control_bayes(verbose = TRUE)
set.seed(8154)
knn_search <- tune_bayes(knn_wflow, resamples = cv_splits, initial = 5, iter = 20,
param_info = knn_param, control = ctrl)
#>
#> ❯ Generating a set of 5 initial parameter results
#> ✓ Initialization complete
#>
#> i Gaussian process model
#> ! The Gaussian process model is being fit using 7 features but only has 5
#> data points to do so. This may cause errors or a poor model fit.
#> i Generating 4772 candidates
#> i Predicted candidates
#> i Estimating performance
#> i Fold01: preprocessor 1/1
#> i Fold01: preprocessor 1/1, model 1/1
#> i Fold01: preprocessor 1/1, model 1/1 (predictions)
#> i Fold02: preprocessor 1/1
#> i Fold02: preprocessor 1/1, model 1/1
#> i Fold02: preprocessor 1/1, model 1/1 (predictions)
#> i Fold03: preprocessor 1/1
#> i Fold03: preprocessor 1/1, model 1/1
#> i Fold03: preprocessor 1/1, model 1/1 (predictions)
#> i Fold04: preprocessor 1/1
#> i Fold04: preprocessor 1/1, model 1/1
#> i Fold04: preprocessor 1/1, model 1/1 (predictions)
#> i Fold05: preprocessor 1/1
#> i Fold05: preprocessor 1/1, model 1/1
#> i Fold05: preprocessor 1/1, model 1/1 (predictions)
#> i Fold06: preprocessor 1/1
#> i Fold06: preprocessor 1/1, model 1/1
#> i Fold06: preprocessor 1/1, model 1/1 (predictions)
#> i Fold07: preprocessor 1/1
#> i Fold07: preprocessor 1/1, model 1/1
#> i Fold07: preprocessor 1/1, model 1/1 (predictions)
#> i Fold08: preprocessor 1/1
#> i Fold08: preprocessor 1/1, model 1/1
#> i Fold08: preprocessor 1/1, model 1/1 (predictions)
#> i Fold09: preprocessor 1/1
#> i Fold09: preprocessor 1/1, model 1/1
#> i Fold09: preprocessor 1/1, model 1/1 (predictions)
#> i Fold10: preprocessor 1/1
#> i Fold10: preprocessor 1/1, model 1/1
#> i Fold10: preprocessor 1/1, model 1/1 (predictions)
#> ✓ Estimating performance
#> i Gaussian process model
#> ! The Gaussian process model is being fit using 7 features but only has 6
#> data points to do so. This may cause errors or a poor model fit.
#> i Generating 4780 candidates
#> i Predicted candidates
#> i Estimating performance
#> i Fold01: preprocessor 1/1
#> i Fold01: preprocessor 1/1, model 1/1
#> i Fold01: preprocessor 1/1, model 1/1 (predictions)
#> i Fold02: preprocessor 1/1
#> i Fold02: preprocessor 1/1, model 1/1
#> i Fold02: preprocessor 1/1, model 1/1 (predictions)
#> i Fold03: preprocessor 1/1
#> i Fold03: preprocessor 1/1, model 1/1
#> i Fold03: preprocessor 1/1, model 1/1 (predictions)
#> i Fold04: preprocessor 1/1
#> i Fold04: preprocessor 1/1, model 1/1
#> i Fold04: preprocessor 1/1, model 1/1 (predictions)
#> i Fold05: preprocessor 1/1
#> i Fold05: preprocessor 1/1, model 1/1
#> i Fold05: preprocessor 1/1, model 1/1 (predictions)
#> i Fold06: preprocessor 1/1
#> i Fold06: preprocessor 1/1, model 1/1
#> i Fold06: preprocessor 1/1, model 1/1 (predictions)
#> i Fold07: preprocessor 1/1
#> i Fold07: preprocessor 1/1, model 1/1
#> i Fold07: preprocessor 1/1, model 1/1 (predictions)
#> i Fold08: preprocessor 1/1
#> i Fold08: preprocessor 1/1, model 1/1
#> i Fold08: preprocessor 1/1, model 1/1 (predictions)
#> i Fold09: preprocessor 1/1
#> i Fold09: preprocessor 1/1, model 1/1
#> i Fold09: preprocessor 1/1, model 1/1 (predictions)
#> i Fold10: preprocessor 1/1
#> i Fold10: preprocessor 1/1, model 1/1
#> i Fold10: preprocessor 1/1, model 1/1 (predictions)
#> ✓ Estimating performance
#> i Gaussian process model
#> ! The Gaussian process model is being fit using 7 features but only has 7
#> data points to do so. This may cause errors or a poor model fit.
#> i Generating 4752 candidates
#> i Predicted candidates
#> i Estimating performance
#> i Fold01: preprocessor 1/1
#> i Fold01: preprocessor 1/1, model 1/1
#> i Fold01: preprocessor 1/1, model 1/1 (predictions)
#> i Fold02: preprocessor 1/1
#> i Fold02: preprocessor 1/1, model 1/1
#> i Fold02: preprocessor 1/1, model 1/1 (predictions)
#> i Fold03: preprocessor 1/1
#> i Fold03: preprocessor 1/1, model 1/1
#> i Fold03: preprocessor 1/1, model 1/1 (predictions)
#> i Fold04: preprocessor 1/1
#> i Fold04: preprocessor 1/1, model 1/1
#> i Fold04: preprocessor 1/1, model 1/1 (predictions)
#> i Fold05: preprocessor 1/1
#> i Fold05: preprocessor 1/1, model 1/1
#> i Fold05: preprocessor 1/1, model 1/1 (predictions)
#> i Fold06: preprocessor 1/1
#> i Fold06: preprocessor 1/1, model 1/1
#> i Fold06: preprocessor 1/1, model 1/1 (predictions)
#> i Fold07: preprocessor 1/1
#> i Fold07: preprocessor 1/1, model 1/1
#> i Fold07: preprocessor 1/1, model 1/1 (predictions)
#> i Fold08: preprocessor 1/1
#> i Fold08: preprocessor 1/1, model 1/1
#> i Fold08: preprocessor 1/1, model 1/1 (predictions)
#> i Fold09: preprocessor 1/1
#> i Fold09: preprocessor 1/1, model 1/1
#> i Fold09: preprocessor 1/1, model 1/1 (predictions)
#> i Fold10: preprocessor 1/1
#> i Fold10: preprocessor 1/1, model 1/1
#> i Fold10: preprocessor 1/1, model 1/1 (predictions)
#> ✓ Estimating performance
#> i Gaussian process model
#> ! The Gaussian process model is being fit using 7 features but only has 8
#> data points to do so. This may cause errors or a poor model fit.
#> i Generating 4761 candidates
#> i Predicted candidates
#> i Estimating performance
#> i Fold01: preprocessor 1/1
#> i Fold01: preprocessor 1/1, model 1/1
#> i Fold01: preprocessor 1/1, model 1/1 (predictions)
#> i Fold02: preprocessor 1/1
#> i Fold02: preprocessor 1/1, model 1/1
#> i Fold02: preprocessor 1/1, model 1/1 (predictions)
#> i Fold03: preprocessor 1/1
#> i Fold03: preprocessor 1/1, model 1/1
#> i Fold03: preprocessor 1/1, model 1/1 (predictions)
#> i Fold04: preprocessor 1/1
#> i Fold04: preprocessor 1/1, model 1/1
#> i Fold04: preprocessor 1/1, model 1/1 (predictions)
#> i Fold05: preprocessor 1/1
#> i Fold05: preprocessor 1/1, model 1/1
#> i Fold05: preprocessor 1/1, model 1/1 (predictions)
#> i Fold06: preprocessor 1/1
#> i Fold06: preprocessor 1/1, model 1/1
#> i Fold06: preprocessor 1/1, model 1/1 (predictions)
#> i Fold07: preprocessor 1/1
#> i Fold07: preprocessor 1/1, model 1/1
#> i Fold07: preprocessor 1/1, model 1/1 (predictions)
#> i Fold08: preprocessor 1/1
#> i Fold08: preprocessor 1/1, model 1/1
#> i Fold08: preprocessor 1/1, model 1/1 (predictions)
#> i Fold09: preprocessor 1/1
#> i Fold09: preprocessor 1/1, model 1/1
#> i Fold09: preprocessor 1/1, model 1/1 (predictions)
#> i Fold10: preprocessor 1/1
#> i Fold10: preprocessor 1/1, model 1/1
#> i Fold10: preprocessor 1/1, model 1/1 (predictions)
#> ✓ Estimating performance
#> i Gaussian process model
#> i Generating 4784 candidates
#> i Predicted candidates
#> i Estimating performance
#> i Fold01: preprocessor 1/1
#> i Fold01: preprocessor 1/1, model 1/1
#> i Fold01: preprocessor 1/1, model 1/1 (predictions)
#> i Fold02: preprocessor 1/1
#> i Fold02: preprocessor 1/1, model 1/1
#> i Fold02: preprocessor 1/1, model 1/1 (predictions)
#> i Fold03: preprocessor 1/1
#> i Fold03: preprocessor 1/1, model 1/1
#> i Fold03: preprocessor 1/1, model 1/1 (predictions)
#> i Fold04: preprocessor 1/1
#> i Fold04: preprocessor 1/1, model 1/1
#> i Fold04: preprocessor 1/1, model 1/1 (predictions)
#> i Fold05: preprocessor 1/1
#> i Fold05: preprocessor 1/1, model 1/1
#> i Fold05: preprocessor 1/1, model 1/1 (predictions)
#> i Fold06: preprocessor 1/1
#> i Fold06: preprocessor 1/1, model 1/1
#> i Fold06: preprocessor 1/1, model 1/1 (predictions)
#> i Fold07: preprocessor 1/1
#> i Fold07: preprocessor 1/1, model 1/1
#> i Fold07: preprocessor 1/1, model 1/1 (predictions)
#> i Fold08: preprocessor 1/1
#> i Fold08: preprocessor 1/1, model 1/1
#> i Fold08: preprocessor 1/1, model 1/1 (predictions)
#> i Fold09: preprocessor 1/1
#> i Fold09: preprocessor 1/1, model 1/1
#> i Fold09: preprocessor 1/1, model 1/1 (predictions)
#> i Fold10: preprocessor 1/1
#> i Fold10: preprocessor 1/1, model 1/1
#> i Fold10: preprocessor 1/1, model 1/1 (predictions)
#> ✓ Estimating performance
#> i Gaussian process model
#> i Generating 4782 candidates
#> i Predicted candidates
#> i Estimating performance
#> i Fold01: preprocessor 1/1
#> i Fold01: preprocessor 1/1, model 1/1
#> i Fold01: preprocessor 1/1, model 1/1 (predictions)
#> i Fold02: preprocessor 1/1
#> i Fold02: preprocessor 1/1, model 1/1
#> i Fold02: preprocessor 1/1, model 1/1 (predictions)
#> i Fold03: preprocessor 1/1
#> i Fold03: preprocessor 1/1, model 1/1
#> i Fold03: preprocessor 1/1, model 1/1 (predictions)
#> i Fold04: preprocessor 1/1
#> i Fold04: preprocessor 1/1, model 1/1
#> i Fold04: preprocessor 1/1, model 1/1 (predictions)
#> i Fold05: preprocessor 1/1
#> i Fold05: preprocessor 1/1, model 1/1
#> i Fold05: preprocessor 1/1, model 1/1 (predictions)
#> i Fold06: preprocessor 1/1
#> i Fold06: preprocessor 1/1, model 1/1
#> i Fold06: preprocessor 1/1, model 1/1 (predictions)
#> i Fold07: preprocessor 1/1
#> i Fold07: preprocessor 1/1, model 1/1
#> i Fold07: preprocessor 1/1, model 1/1 (predictions)
#> i Fold08: preprocessor 1/1
#> i Fold08: preprocessor 1/1, model 1/1
#> i Fold08: preprocessor 1/1, model 1/1 (predictions)
#> i Fold09: preprocessor 1/1
#> i Fold09: preprocessor 1/1, model 1/1
#> i Fold09: preprocessor 1/1, model 1/1 (predictions)
#> i Fold10: preprocessor 1/1
#> i Fold10: preprocessor 1/1, model 1/1
#> i Fold10: preprocessor 1/1, model 1/1 (predictions)
#> ✓ Estimating performance
#> i Gaussian process model
#> i Generating 4767 candidates
#> i Predicted candidates
#> i Estimating performance
#> i Fold01: preprocessor 1/1
#> i Fold01: preprocessor 1/1, model 1/1
#> i Fold01: preprocessor 1/1, model 1/1 (predictions)
#> i Fold02: preprocessor 1/1
#> i Fold02: preprocessor 1/1, model 1/1
#> i Fold02: preprocessor 1/1, model 1/1 (predictions)
#> i Fold03: preprocessor 1/1
#> i Fold03: preprocessor 1/1, model 1/1
#> i Fold03: preprocessor 1/1, model 1/1 (predictions)
#> i Fold04: preprocessor 1/1
#> i Fold04: preprocessor 1/1, model 1/1
#> i Fold04: preprocessor 1/1, model 1/1 (predictions)
#> i Fold05: preprocessor 1/1
#> i Fold05: preprocessor 1/1, model 1/1
#> i Fold05: preprocessor 1/1, model 1/1 (predictions)
#> i Fold06: preprocessor 1/1
#> i Fold06: preprocessor 1/1, model 1/1
#> i Fold06: preprocessor 1/1, model 1/1 (predictions)
#> i Fold07: preprocessor 1/1
#> i Fold07: preprocessor 1/1, model 1/1
#> i Fold07: preprocessor 1/1, model 1/1 (predictions)
#> i Fold08: preprocessor 1/1
#> i Fold08: preprocessor 1/1, model 1/1
#> i Fold08: preprocessor 1/1, model 1/1 (predictions)
#> i Fold09: preprocessor 1/1
#> i Fold09: preprocessor 1/1, model 1/1
#> i Fold09: preprocessor 1/1, model 1/1 (predictions)
#> i Fold10: preprocessor 1/1
#> i Fold10: preprocessor 1/1, model 1/1
#> i Fold10: preprocessor 1/1, model 1/1 (predictions)
#> ✓ Estimating performance
#> i Gaussian process model
#> i Generating 4776 candidates
#> i Predicted candidates
#> i Estimating performance
#> i Fold01: preprocessor 1/1
#> i Fold01: preprocessor 1/1, model 1/1
#> i Fold01: preprocessor 1/1, model 1/1 (predictions)
#> i Fold02: preprocessor 1/1
#> i Fold02: preprocessor 1/1, model 1/1
#> i Fold02: preprocessor 1/1, model 1/1 (predictions)
#> i Fold03: preprocessor 1/1
#> i Fold03: preprocessor 1/1, model 1/1
#> i Fold03: preprocessor 1/1, model 1/1 (predictions)
#> i Fold04: preprocessor 1/1
#> i Fold04: preprocessor 1/1, model 1/1
#> i Fold04: preprocessor 1/1, model 1/1 (predictions)
#> i Fold05: preprocessor 1/1
#> i Fold05: preprocessor 1/1, model 1/1
#> i Fold05: preprocessor 1/1, model 1/1 (predictions)
#> i Fold06: preprocessor 1/1
#> i Fold06: preprocessor 1/1, model 1/1
#> i Fold06: preprocessor 1/1, model 1/1 (predictions)
#> i Fold07: preprocessor 1/1
#> i Fold07: preprocessor 1/1, model 1/1
#> i Fold07: preprocessor 1/1, model 1/1 (predictions)
#> i Fold08: preprocessor 1/1
#> i Fold08: preprocessor 1/1, model 1/1
#> i Fold08: preprocessor 1/1, model 1/1 (predictions)
#> i Fold09: preprocessor 1/1
#> i Fold09: preprocessor 1/1, model 1/1
#> i Fold09: preprocessor 1/1, model 1/1 (predictions)
#> i Fold10: preprocessor 1/1
#> i Fold10: preprocessor 1/1, model 1/1
#> i Fold10: preprocessor 1/1, model 1/1 (predictions)
#> ✓ Estimating performance
#> i Gaussian process model
#> i Generating 4722 candidates
#> i Predicted candidates
#> i Estimating performance
#> i Fold01: preprocessor 1/1
#> i Fold01: preprocessor 1/1, model 1/1
#> i Fold01: preprocessor 1/1, model 1/1 (predictions)
#> i Fold02: preprocessor 1/1
#> i Fold02: preprocessor 1/1, model 1/1
#> i Fold02: preprocessor 1/1, model 1/1 (predictions)
#> i Fold03: preprocessor 1/1
#> i Fold03: preprocessor 1/1, model 1/1
#> i Fold03: preprocessor 1/1, model 1/1 (predictions)
#> i Fold04: preprocessor 1/1
#> i Fold04: preprocessor 1/1, model 1/1
#> i Fold04: preprocessor 1/1, model 1/1 (predictions)
#> i Fold05: preprocessor 1/1
#> i Fold05: preprocessor 1/1, model 1/1
#> i Fold05: preprocessor 1/1, model 1/1 (predictions)
#> i Fold06: preprocessor 1/1
#> i Fold06: preprocessor 1/1, model 1/1
#> i Fold06: preprocessor 1/1, model 1/1 (predictions)
#> i Fold07: preprocessor 1/1
#> i Fold07: preprocessor 1/1, model 1/1
#> i Fold07: preprocessor 1/1, model 1/1 (predictions)
#> i Fold08: preprocessor 1/1
#> i Fold08: preprocessor 1/1, model 1/1
#> i Fold08: preprocessor 1/1, model 1/1 (predictions)
#> i Fold09: preprocessor 1/1
#> i Fold09: preprocessor 1/1, model 1/1
#> i Fold09: preprocessor 1/1, model 1/1 (predictions)
#> i Fold10: preprocessor 1/1
#> i Fold10: preprocessor 1/1, model 1/1
#> i Fold10: preprocessor 1/1, model 1/1 (predictions)
#> ✓ Estimating performance
#> i Gaussian process model
#> i Generating 4775 candidates
#> i Predicted candidates
#> i Estimating performance
#> i Fold01: preprocessor 1/1
#> i Fold01: preprocessor 1/1, model 1/1
#> i Fold01: preprocessor 1/1, model 1/1 (predictions)
#> i Fold02: preprocessor 1/1
#> i Fold02: preprocessor 1/1, model 1/1
#> i Fold02: preprocessor 1/1, model 1/1 (predictions)
#> i Fold03: preprocessor 1/1
#> i Fold03: preprocessor 1/1, model 1/1
#> i Fold03: preprocessor 1/1, model 1/1 (predictions)
#> i Fold04: preprocessor 1/1
#> i Fold04: preprocessor 1/1, model 1/1
#> i Fold04: preprocessor 1/1, model 1/1 (predictions)
#> i Fold05: preprocessor 1/1
#> i Fold05: preprocessor 1/1, model 1/1
#> i Fold05: preprocessor 1/1, model 1/1 (predictions)
#> i Fold06: preprocessor 1/1
#> i Fold06: preprocessor 1/1, model 1/1
#> i Fold06: preprocessor 1/1, model 1/1 (predictions)
#> i Fold07: preprocessor 1/1
#> i Fold07: preprocessor 1/1, model 1/1
#> i Fold07: preprocessor 1/1, model 1/1 (predictions)
#> i Fold08: preprocessor 1/1
#> i Fold08: preprocessor 1/1, model 1/1
#> i Fold08: preprocessor 1/1, model 1/1 (predictions)
#> i Fold09: preprocessor 1/1
#> i Fold09: preprocessor 1/1, model 1/1
#> i Fold09: preprocessor 1/1, model 1/1 (predictions)
#> i Fold10: preprocessor 1/1
#> i Fold10: preprocessor 1/1, model 1/1
#> i Fold10: preprocessor 1/1, model 1/1 (predictions)
#> ✓ Estimating performance
#> i Gaussian process model
#> i Generating 4776 candidates
#> i Predicted candidates
#> i Estimating performance
#> i Fold01: preprocessor 1/1
#> i Fold01: preprocessor 1/1, model 1/1
#> i Fold01: preprocessor 1/1, model 1/1 (predictions)
#> i Fold02: preprocessor 1/1
#> i Fold02: preprocessor 1/1, model 1/1
#> i Fold02: preprocessor 1/1, model 1/1 (predictions)
#> i Fold03: preprocessor 1/1
#> i Fold03: preprocessor 1/1, model 1/1
#> i Fold03: preprocessor 1/1, model 1/1 (predictions)
#> i Fold04: preprocessor 1/1
#> i Fold04: preprocessor 1/1, model 1/1
#> i Fold04: preprocessor 1/1, model 1/1 (predictions)
#> i Fold05: preprocessor 1/1
#> i Fold05: preprocessor 1/1, model 1/1
#> i Fold05: preprocessor 1/1, model 1/1 (predictions)
#> i Fold06: preprocessor 1/1
#> i Fold06: preprocessor 1/1, model 1/1
#> i Fold06: preprocessor 1/1, model 1/1 (predictions)
#> i Fold07: preprocessor 1/1
#> i Fold07: preprocessor 1/1, model 1/1
#> i Fold07: preprocessor 1/1, model 1/1 (predictions)
#> i Fold08: preprocessor 1/1
#> i Fold08: preprocessor 1/1, model 1/1
#> i Fold08: preprocessor 1/1, model 1/1 (predictions)
#> i Fold09: preprocessor 1/1
#> i Fold09: preprocessor 1/1, model 1/1
#> i Fold09: preprocessor 1/1, model 1/1 (predictions)
#> i Fold10: preprocessor 1/1
#> i Fold10: preprocessor 1/1, model 1/1
#> i Fold10: preprocessor 1/1, model 1/1 (predictions)
#> ✓ Estimating performance
#> i Gaussian process model
#> i Generating 4774 candidates
#> i Predicted candidates
#> i Estimating performance
#> i Fold01: preprocessor 1/1
#> i Fold01: preprocessor 1/1, model 1/1
#> i Fold01: preprocessor 1/1, model 1/1 (predictions)
#> i Fold02: preprocessor 1/1
#> i Fold02: preprocessor 1/1, model 1/1
#> i Fold02: preprocessor 1/1, model 1/1 (predictions)
#> i Fold03: preprocessor 1/1
#> i Fold03: preprocessor 1/1, model 1/1
#> i Fold03: preprocessor 1/1, model 1/1 (predictions)
#> i Fold04: preprocessor 1/1
#> i Fold04: preprocessor 1/1, model 1/1
#> i Fold04: preprocessor 1/1, model 1/1 (predictions)
#> i Fold05: preprocessor 1/1
#> i Fold05: preprocessor 1/1, model 1/1
#> i Fold05: preprocessor 1/1, model 1/1 (predictions)
#> i Fold06: preprocessor 1/1
#> i Fold06: preprocessor 1/1, model 1/1
#> i Fold06: preprocessor 1/1, model 1/1 (predictions)
#> i Fold07: preprocessor 1/1
#> i Fold07: preprocessor 1/1, model 1/1
#> i Fold07: preprocessor 1/1, model 1/1 (predictions)
#> i Fold08: preprocessor 1/1
#> i Fold08: preprocessor 1/1, model 1/1
#> i Fold08: preprocessor 1/1, model 1/1 (predictions)
#> i Fold09: preprocessor 1/1
#> i Fold09: preprocessor 1/1, model 1/1
#> i Fold09: preprocessor 1/1, model 1/1 (predictions)
#> i Fold10: preprocessor 1/1
#> i Fold10: preprocessor 1/1, model 1/1
#> i Fold10: preprocessor 1/1, model 1/1 (predictions)
#> ✓ Estimating performance
#> i Gaussian process model
#> i Generating 4768 candidates
#> i Predicted candidates
#> i Estimating performance
#> i Fold01: preprocessor 1/1
#> i Fold01: preprocessor 1/1, model 1/1
#> i Fold01: preprocessor 1/1, model 1/1 (predictions)
#> i Fold02: preprocessor 1/1
#> i Fold02: preprocessor 1/1, model 1/1
#> i Fold02: preprocessor 1/1, model 1/1 (predictions)
#> i Fold03: preprocessor 1/1
#> i Fold03: preprocessor 1/1, model 1/1
#> i Fold03: preprocessor 1/1, model 1/1 (predictions)
#> i Fold04: preprocessor 1/1
#> i Fold04: preprocessor 1/1, model 1/1
#> i Fold04: preprocessor 1/1, model 1/1 (predictions)
#> i Fold05: preprocessor 1/1
#> i Fold05: preprocessor 1/1, model 1/1
#> i Fold05: preprocessor 1/1, model 1/1 (predictions)
#> i Fold06: preprocessor 1/1
#> i Fold06: preprocessor 1/1, model 1/1
#> i Fold06: preprocessor 1/1, model 1/1 (predictions)
#> i Fold07: preprocessor 1/1
#> i Fold07: preprocessor 1/1, model 1/1
#> i Fold07: preprocessor 1/1, model 1/1 (predictions)
#> i Fold08: preprocessor 1/1
#> i Fold08: preprocessor 1/1, model 1/1
#> i Fold08: preprocessor 1/1, model 1/1 (predictions)
#> i Fold09: preprocessor 1/1
#> i Fold09: preprocessor 1/1, model 1/1
#> i Fold09: preprocessor 1/1, model 1/1 (predictions)
#> i Fold10: preprocessor 1/1
#> i Fold10: preprocessor 1/1, model 1/1
#> i Fold10: preprocessor 1/1, model 1/1 (predictions)
#> ✓ Estimating performance
#> i Gaussian process model
#> i Generating 4755 candidates
#> i Predicted candidates
#> i Estimating performance
#> i Fold01: preprocessor 1/1
#> i Fold01: preprocessor 1/1, model 1/1
#> i Fold01: preprocessor 1/1, model 1/1 (predictions)
#> i Fold02: preprocessor 1/1
#> i Fold02: preprocessor 1/1, model 1/1
#> i Fold02: preprocessor 1/1, model 1/1 (predictions)
#> i Fold03: preprocessor 1/1
#> i Fold03: preprocessor 1/1, model 1/1
#> i Fold03: preprocessor 1/1, model 1/1 (predictions)
#> i Fold04: preprocessor 1/1
#> i Fold04: preprocessor 1/1, model 1/1
#> i Fold04: preprocessor 1/1, model 1/1 (predictions)
#> i Fold05: preprocessor 1/1
#> i Fold05: preprocessor 1/1, model 1/1
#> i Fold05: preprocessor 1/1, model 1/1 (predictions)
#> i Fold06: preprocessor 1/1
#> i Fold06: preprocessor 1/1, model 1/1
#> i Fold06: preprocessor 1/1, model 1/1 (predictions)
#> i Fold07: preprocessor 1/1
#> i Fold07: preprocessor 1/1, model 1/1
#> i Fold07: preprocessor 1/1, model 1/1 (predictions)
#> i Fold08: preprocessor 1/1
#> i Fold08: preprocessor 1/1, model 1/1
#> i Fold08: preprocessor 1/1, model 1/1 (predictions)
#> i Fold09: preprocessor 1/1
#> i Fold09: preprocessor 1/1, model 1/1
#> i Fold09: preprocessor 1/1, model 1/1 (predictions)
#> i Fold10: preprocessor 1/1
#> i Fold10: preprocessor 1/1, model 1/1
#> i Fold10: preprocessor 1/1, model 1/1 (predictions)
#> ✓ Estimating performance
#> i Gaussian process model
#> i Generating 4746 candidates
#> i Predicted candidates
#> i Estimating performance
#> i Fold01: preprocessor 1/1
#> i Fold01: preprocessor 1/1, model 1/1
#> i Fold01: preprocessor 1/1, model 1/1 (predictions)
#> i Fold02: preprocessor 1/1
#> i Fold02: preprocessor 1/1, model 1/1
#> i Fold02: preprocessor 1/1, model 1/1 (predictions)
#> i Fold03: preprocessor 1/1
#> i Fold03: preprocessor 1/1, model 1/1
#> i Fold03: preprocessor 1/1, model 1/1 (predictions)
#> i Fold04: preprocessor 1/1
#> i Fold04: preprocessor 1/1, model 1/1
#> i Fold04: preprocessor 1/1, model 1/1 (predictions)
#> i Fold05: preprocessor 1/1
#> i Fold05: preprocessor 1/1, model 1/1
#> i Fold05: preprocessor 1/1, model 1/1 (predictions)
#> i Fold06: preprocessor 1/1
#> i Fold06: preprocessor 1/1, model 1/1
#> i Fold06: preprocessor 1/1, model 1/1 (predictions)
#> i Fold07: preprocessor 1/1
#> i Fold07: preprocessor 1/1, model 1/1
#> i Fold07: preprocessor 1/1, model 1/1 (predictions)
#> i Fold08: preprocessor 1/1
#> i Fold08: preprocessor 1/1, model 1/1
#> i Fold08: preprocessor 1/1, model 1/1 (predictions)
#> i Fold09: preprocessor 1/1
#> i Fold09: preprocessor 1/1, model 1/1
#> i Fold09: preprocessor 1/1, model 1/1 (predictions)
#> i Fold10: preprocessor 1/1
#> i Fold10: preprocessor 1/1, model 1/1
#> i Fold10: preprocessor 1/1, model 1/1 (predictions)
#> ✓ Estimating performance
#> i Gaussian process model
#> i Generating 4760 candidates
#> i Predicted candidates
#> i Estimating performance
#> i Fold01: preprocessor 1/1
#> i Fold01: preprocessor 1/1, model 1/1
#> i Fold01: preprocessor 1/1, model 1/1 (predictions)
#> i Fold02: preprocessor 1/1
#> i Fold02: preprocessor 1/1, model 1/1
#> i Fold02: preprocessor 1/1, model 1/1 (predictions)
#> i Fold03: preprocessor 1/1
#> i Fold03: preprocessor 1/1, model 1/1
#> i Fold03: preprocessor 1/1, model 1/1 (predictions)
#> i Fold04: preprocessor 1/1
#> i Fold04: preprocessor 1/1, model 1/1
#> i Fold04: preprocessor 1/1, model 1/1 (predictions)
#> i Fold05: preprocessor 1/1
#> i Fold05: preprocessor 1/1, model 1/1
#> i Fold05: preprocessor 1/1, model 1/1 (predictions)
#> i Fold06: preprocessor 1/1
#> i Fold06: preprocessor 1/1, model 1/1
#> i Fold06: preprocessor 1/1, model 1/1 (predictions)
#> i Fold07: preprocessor 1/1
#> i Fold07: preprocessor 1/1, model 1/1
#> i Fold07: preprocessor 1/1, model 1/1 (predictions)
#> i Fold08: preprocessor 1/1
#> i Fold08: preprocessor 1/1, model 1/1
#> i Fold08: preprocessor 1/1, model 1/1 (predictions)
#> i Fold09: preprocessor 1/1
#> i Fold09: preprocessor 1/1, model 1/1
#> i Fold09: preprocessor 1/1, model 1/1 (predictions)
#> i Fold10: preprocessor 1/1
#> i Fold10: preprocessor 1/1, model 1/1
#> i Fold10: preprocessor 1/1, model 1/1 (predictions)
#> ✓ Estimating performance
#> i Gaussian process model
#> i Generating 4795 candidates
#> i Predicted candidates
#> i Estimating performance
#> i Fold01: preprocessor 1/1
#> i Fold01: preprocessor 1/1, model 1/1
#> i Fold01: preprocessor 1/1, model 1/1 (predictions)
#> i Fold02: preprocessor 1/1
#> i Fold02: preprocessor 1/1, model 1/1
#> i Fold02: preprocessor 1/1, model 1/1 (predictions)
#> i Fold03: preprocessor 1/1
#> i Fold03: preprocessor 1/1, model 1/1
#> i Fold03: preprocessor 1/1, model 1/1 (predictions)
#> i Fold04: preprocessor 1/1
#> i Fold04: preprocessor 1/1, model 1/1
#> i Fold04: preprocessor 1/1, model 1/1 (predictions)
#> i Fold05: preprocessor 1/1
#> i Fold05: preprocessor 1/1, model 1/1
#> i Fold05: preprocessor 1/1, model 1/1 (predictions)
#> i Fold06: preprocessor 1/1
#> i Fold06: preprocessor 1/1, model 1/1
#> i Fold06: preprocessor 1/1, model 1/1 (predictions)
#> i Fold07: preprocessor 1/1
#> i Fold07: preprocessor 1/1, model 1/1
#> i Fold07: preprocessor 1/1, model 1/1 (predictions)
#> i Fold08: preprocessor 1/1
#> i Fold08: preprocessor 1/1, model 1/1
#> i Fold08: preprocessor 1/1, model 1/1 (predictions)
#> i Fold09: preprocessor 1/1
#> i Fold09: preprocessor 1/1, model 1/1
#> i Fold09: preprocessor 1/1, model 1/1 (predictions)
#> i Fold10: preprocessor 1/1
#> i Fold10: preprocessor 1/1, model 1/1
#> i Fold10: preprocessor 1/1, model 1/1 (predictions)
#> ✓ Estimating performance
#> i Gaussian process model
#> i Generating 4772 candidates
#> i Predicted candidates
#> i Estimating performance
#> i Fold01: preprocessor 1/1
#> i Fold01: preprocessor 1/1, model 1/1
#> i Fold01: preprocessor 1/1, model 1/1 (predictions)
#> i Fold02: preprocessor 1/1
#> i Fold02: preprocessor 1/1, model 1/1
#> i Fold02: preprocessor 1/1, model 1/1 (predictions)
#> i Fold03: preprocessor 1/1
#> i Fold03: preprocessor 1/1, model 1/1
#> i Fold03: preprocessor 1/1, model 1/1 (predictions)
#> i Fold04: preprocessor 1/1
#> i Fold04: preprocessor 1/1, model 1/1
#> i Fold04: preprocessor 1/1, model 1/1 (predictions)
#> i Fold05: preprocessor 1/1
#> i Fold05: preprocessor 1/1, model 1/1
#> i Fold05: preprocessor 1/1, model 1/1 (predictions)
#> i Fold06: preprocessor 1/1
#> i Fold06: preprocessor 1/1, model 1/1
#> i Fold06: preprocessor 1/1, model 1/1 (predictions)
#> i Fold07: preprocessor 1/1
#> i Fold07: preprocessor 1/1, model 1/1
#> i Fold07: preprocessor 1/1, model 1/1 (predictions)
#> i Fold08: preprocessor 1/1
#> i Fold08: preprocessor 1/1, model 1/1
#> i Fold08: preprocessor 1/1, model 1/1 (predictions)
#> i Fold09: preprocessor 1/1
#> i Fold09: preprocessor 1/1, model 1/1
#> i Fold09: preprocessor 1/1, model 1/1 (predictions)
#> i Fold10: preprocessor 1/1
#> i Fold10: preprocessor 1/1, model 1/1
#> i Fold10: preprocessor 1/1, model 1/1 (predictions)
#> ✓ Estimating performance
#> i Gaussian process model
#> i Generating 4774 candidates
#> i Predicted candidates
#> i Estimating performance
#> i Fold01: preprocessor 1/1
#> i Fold01: preprocessor 1/1, model 1/1
#> i Fold01: preprocessor 1/1, model 1/1 (predictions)
#> i Fold02: preprocessor 1/1
#> i Fold02: preprocessor 1/1, model 1/1
#> i Fold02: preprocessor 1/1, model 1/1 (predictions)
#> i Fold03: preprocessor 1/1
#> i Fold03: preprocessor 1/1, model 1/1
#> i Fold03: preprocessor 1/1, model 1/1 (predictions)
#> i Fold04: preprocessor 1/1
#> i Fold04: preprocessor 1/1, model 1/1
#> i Fold04: preprocessor 1/1, model 1/1 (predictions)
#> i Fold05: preprocessor 1/1
#> i Fold05: preprocessor 1/1, model 1/1
#> i Fold05: preprocessor 1/1, model 1/1 (predictions)
#> i Fold06: preprocessor 1/1
#> i Fold06: preprocessor 1/1, model 1/1
#> i Fold06: preprocessor 1/1, model 1/1 (predictions)
#> i Fold07: preprocessor 1/1
#> i Fold07: preprocessor 1/1, model 1/1
#> i Fold07: preprocessor 1/1, model 1/1 (predictions)
#> i Fold08: preprocessor 1/1
#> i Fold08: preprocessor 1/1, model 1/1
#> i Fold08: preprocessor 1/1, model 1/1 (predictions)
#> i Fold09: preprocessor 1/1
#> i Fold09: preprocessor 1/1, model 1/1
#> i Fold09: preprocessor 1/1, model 1/1 (predictions)
#> i Fold10: preprocessor 1/1
#> i Fold10: preprocessor 1/1, model 1/1
#> i Fold10: preprocessor 1/1, model 1/1 (predictions)
#> ✓ Estimating performance
#> i Gaussian process model
#> i Generating 4759 candidates
#> i Predicted candidates
#> i Estimating performance
#> i Fold01: preprocessor 1/1
#> i Fold01: preprocessor 1/1, model 1/1
#> i Fold01: preprocessor 1/1, model 1/1 (predictions)
#> i Fold02: preprocessor 1/1
#> i Fold02: preprocessor 1/1, model 1/1
#> i Fold02: preprocessor 1/1, model 1/1 (predictions)
#> i Fold03: preprocessor 1/1
#> i Fold03: preprocessor 1/1, model 1/1
#> i Fold03: preprocessor 1/1, model 1/1 (predictions)
#> i Fold04: preprocessor 1/1
#> i Fold04: preprocessor 1/1, model 1/1
#> i Fold04: preprocessor 1/1, model 1/1 (predictions)
#> i Fold05: preprocessor 1/1
#> i Fold05: preprocessor 1/1, model 1/1
#> i Fold05: preprocessor 1/1, model 1/1 (predictions)
#> i Fold06: preprocessor 1/1
#> i Fold06: preprocessor 1/1, model 1/1
#> i Fold06: preprocessor 1/1, model 1/1 (predictions)
#> i Fold07: preprocessor 1/1
#> i Fold07: preprocessor 1/1, model 1/1
#> i Fold07: preprocessor 1/1, model 1/1 (predictions)
#> i Fold08: preprocessor 1/1
#> i Fold08: preprocessor 1/1, model 1/1
#> i Fold08: preprocessor 1/1, model 1/1 (predictions)
#> i Fold09: preprocessor 1/1
#> i Fold09: preprocessor 1/1, model 1/1
#> i Fold09: preprocessor 1/1, model 1/1 (predictions)
#> i Fold10: preprocessor 1/1
#> i Fold10: preprocessor 1/1, model 1/1
#> i Fold10: preprocessor 1/1, model 1/1 (predictions)
#> ✓ Estimating performanceVisually, the performance gain was:
autoplot(knn_search, type = "performance", metric = "rmse")
The best results here were:
collect_metrics(knn_search) %>%
dplyr::filter(.metric == "rmse") %>%
arrange(mean)
#> # A tibble: 25 × 11
#> neighbors weight_func `long df` `lat df` .metric .estimator mean n
#> <int> <chr> <int> <int> <chr> <chr> <dbl> <int>
#> 1 11 triangular 5 5 rmse standard 0.0811 10
#> 2 10 triangular 5 6 rmse standard 0.0812 10
#> 3 13 triangular 5 5 rmse standard 0.0814 10
#> 4 10 inv 5 6 rmse standard 0.0819 10
#> 5 8 inv 4 6 rmse standard 0.0820 10
#> 6 12 inv 5 7 rmse standard 0.0823 10
#> 7 7 inv 5 8 rmse standard 0.0827 10
#> 8 4 inv 6 4 rmse standard 0.0833 10
#> 9 21 triangular 3 6 rmse standard 0.0834 10
#> 10 18 inv 2 5 rmse standard 0.0835 10
#> # ℹ 15 more rows
#> # ℹ 3 more variables: std_err <dbl>, .config <chr>, .iter <int>With this intrinsically nonlinear model there is less reliance on the nonlinear terms created by the recipe.
A simple R model formula could have been used here, such
as Sale_Price ~ log10(Gr_Liv_Area) + Longitude + Latitude.
A recipe is not required.↩︎
the tune package has default measures of performance
that it uses if none are specified. Here the RMSE and R2 are
estimated. This can be changed using the metrics option.↩︎
One of the tuning parameters (weight_func)
is categorical and, by default, has 9 unique values. The model used to
predict new test parameters is a Gaussian process model, and this can
become slow to fit when the number of tuning parameters is large or when
a categorical parameter generates many dummy variables. We’ve reduced
the number of categories for this parameter to speed things up a bit.↩︎