Pass in a list of gg or patchwork objects and rotate tick marks on x or y axes.
Note that all plots in the list need to be named.
data <- pmplots_data_id()
co <- c("STUDYc", "CPc", "RF")
etas <- paste0("ETA", 1:3)
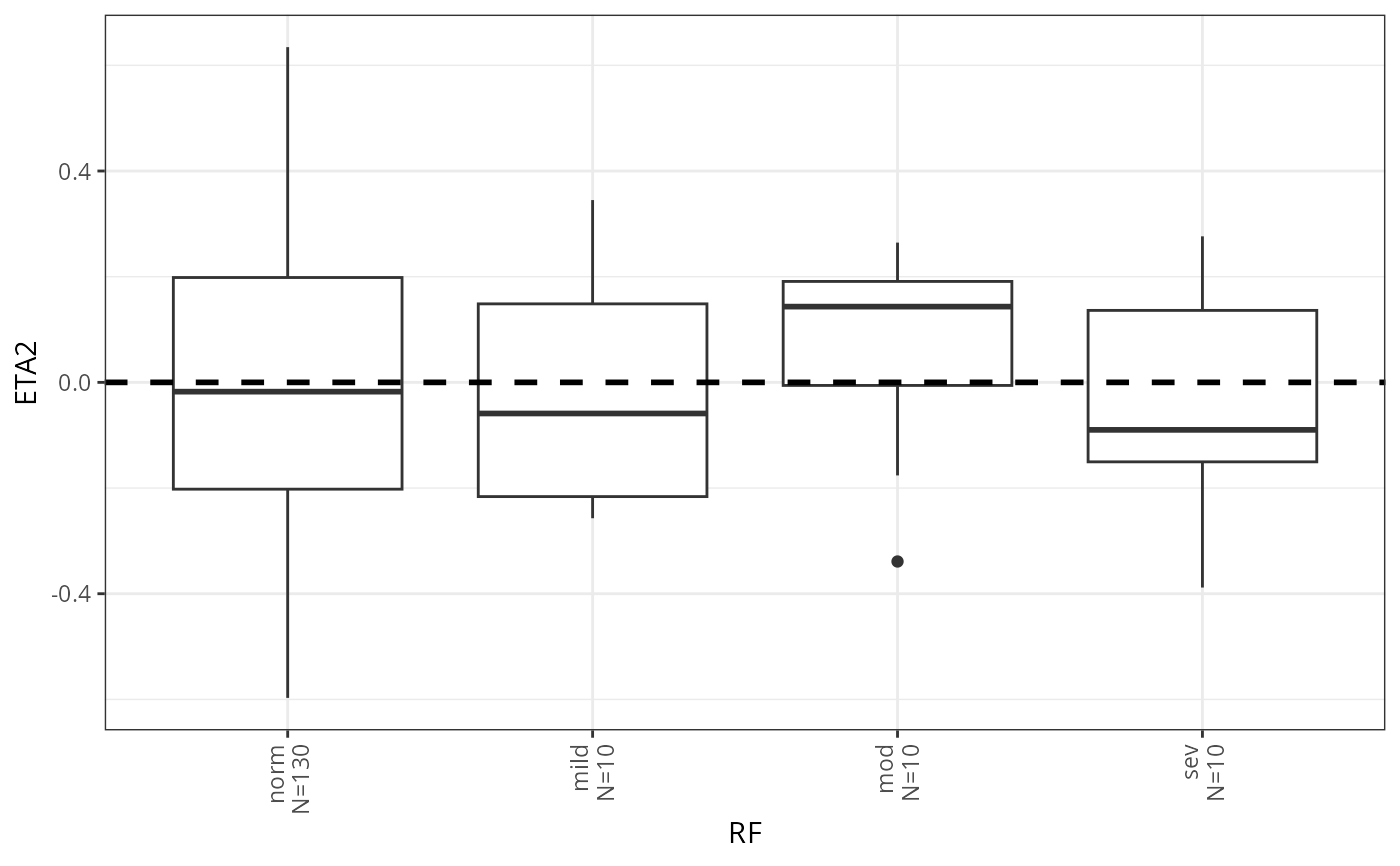
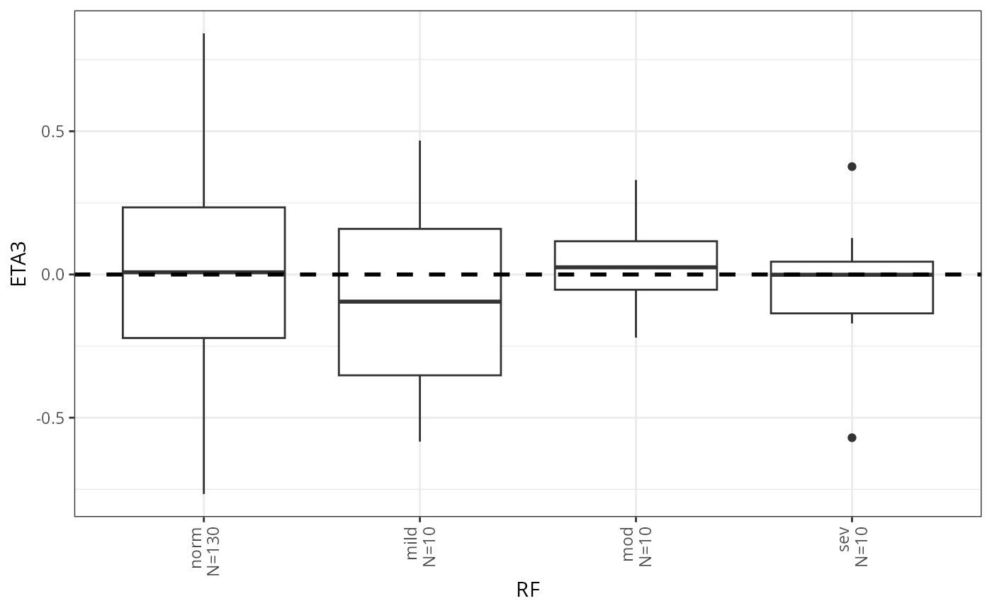
x <- eta_cat(data, x = co, y = etas)
names(x)
#> [1] "ETA1vSTUDYc" "ETA2vSTUDYc" "ETA3vSTUDYc" "ETA1vCPc" "ETA2vCPc"
#> [6] "ETA3vCPc" "ETA1vRF" "ETA2vRF" "ETA3vRF"
x <- rot_at(x, at = "ETA1vRF", angle = 35)
x$ETA1vRF
x <- rot_at(x, re = "RF", vertical = TRUE)
x$ETA2vRF
x$ETA3vRF