vignettes/diagnostic-displays.Rmd
diagnostic-displays.RmdThis feature set provides standardized displays of diagnostics, including
In addition to these standard displays, the user can get an object back containing the component plots for the standardized displays that you can arrange yourself.
library(pmplots)
data <- pmplots_data_obs()
id <- pmplots_data_id()
cont <- c("WT//Weight (kg)", "AGE//Age (years)")
cat <- c("CPc//Child-Pugh", "STUDYc//Study")
covs <- c(cont,cat)
etas <- c("ETA1//ETA-CL", "ETA2//ETA-V", "ETA3//ETA-KA")The basic / default behavior is to get a list of arranged plots, one
for each ETA
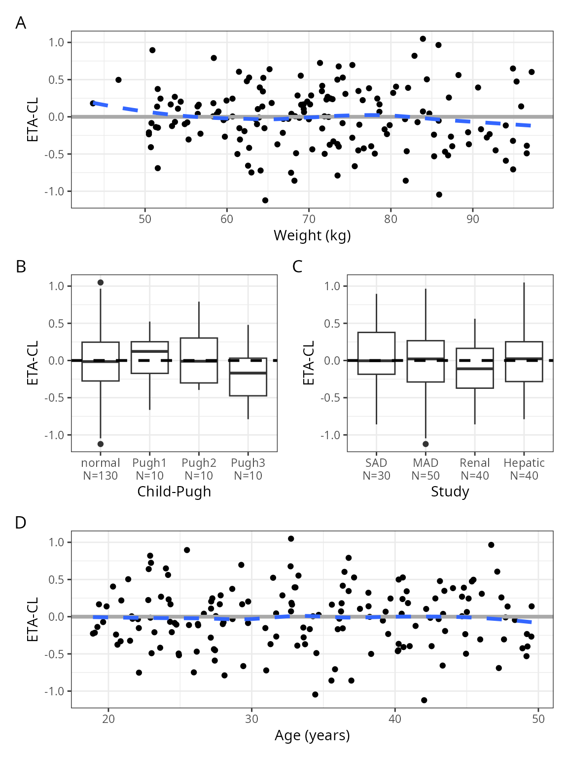
p <- eta_covariate(id, x = covs, y = etas)
names(p) ## [1] "ETA1" "ETA2" "ETA3"
p$ETA1
We can label the panels; thinking about making this the default
p <- eta_covariate(id, x = covs, y = etas, tag_levels = "A")
p$ETA1
We can arrange this by column instead
p <- eta_covariate(id, x = covs, y = etas, tag_levels = "A", byrow = FALSE)
p$ETA1
Or we can group by the covariate rather than the ETA
using the transpose argument
p <- eta_covariate(id, x = covs, y = etas, tag_levels = "A", transpose = TRUE)
names(p)## [1] "WT" "AGE" "CPc" "STUDYc"
Now, we have all the ETAs for each covariate on the same
page
p$AGE
and
p$CPc
We can make a custom arrangement using the patchwork
arrangement operators
p <- eta_covariate_list(id, x = covs, y = etas)
with(p$ETA1, (WT / (CPc + STUDYc) / AGE), tag_levels = "A")
You can get all the NPDE diagnostics in a single
graphic. This might be too much for a report, but could be handy for
your model checkout script
npde_panel(data, tag_levels = "A")
or just the histogram and qq plot
npde_hist_q(data, tag_levels = "A")
or just the scatter plots in long format
npde_scatter(data, tag_levels = "A")
or compact format
npde_scatter(data, tag_levels = "A", compact = TRUE)
You can also customize the layout to be whatever you want
plots <- npde_panel_list(data)
with(plots, time / (hist + q + tad), tag_levels = "A") 
There is some customization for the plot axes and titles, including
time and
tad
time and tad
pred
npde_scatter(
data,
xby_tad = 12,
xby_time = 48,
xname = "concentration",
tag_levels = 1
)
This works like eta_covariate()
npde_covariate(data, covs, tag_levels = "a", byrow = FALSE)
plots <- npde_covariate_list(data, covs)
names(plots)## [1] "WT" "AGE" "CPc" "STUDYc"
with(plots, (AGE + WT) / CPc / STUDYc, tag_levels = "i")
The behavior / feature set looks just like the NPDE
plots for both standard diagnostics and covariates.
cwres_scatter(data, tag_levels = "A", compact = TRUE)