GOFvignette.RmdHerein is a demo of functions for GOF plots in the nonmem2R
R-package. The functions provide building blocks for doing GOF plots
with flexibility for user specific formatting and or layout. There are
also functions for combining single GOF’s into one and there are basic
GOF’s combining a specific type of GOF’s into one single plot, e.g. the
function basic.GOF4 which generated the example below.
## `geom_smooth()` using formula = 'y ~ x'
## `geom_smooth()` using formula = 'y ~ x'
## `geom_smooth()` using formula = 'y ~ x'
## Warning: The following aesthetics were dropped during statistical transformation: x and
## y.
## ℹ This can happen when ggplot fails to infer the correct grouping structure in
## the data.
## ℹ Did you forget to specify a `group` aesthetic or to convert a numerical
## variable into a factor?
## `geom_smooth()` using formula = 'y ~ x'
## `geom_smooth()` using formula = 'y ~ x'

The GOF functions build on ggplot2 and as far as possible return an
ggplot-object that can be further modified by adding ggplot formatting.
However, some functions use grid.arrange from the R-package
gridExtra to combine different type of GOF’s. These
functions plot the combined set of GOF’s but does not return an ggplot
object, and hence the plots can therefore not be easily further
modified/formatted. To still provide options to add ggplot formatting
these functions have an argument global.ggplot.options
which can be used to add extra ggplot functions on each individual GOF
before the GOF’s are combined into one graph by
grid.arrange.
Formatting of e.g. lines and plot symbols can also be controlled by
the argument control and the function
GOF.control or using set.GOF.params to affect
all GOF’s.
Axis labels are set for most common NONMEM variables, e.g. CWRES is by default labelled “Cond. weighted res” and TIME is by default labelled “Time after first dose(h)”. See examples in section Labels and formatting options with further details on controling axis labels, changing the caption text and other formatting of the GOF plots.
All GOF functions will by default add a caption in the bottom of the
graph to indicate date when figure was generated together with the full
path to the script. However, this require that the script name
has been set using set.script.name, and then the script
name will be pasted together with the date and path as derived from
getwd. If script name has not been set no caption will be
added. Each GOF plot will have a red dashed reference line and blue
solid lines are smoother’s representing the actual data.
All functions require a data.frame as input and thus NONMEM output tables, e.g, sdtab, cotab,.., should be loaded prior using the functions, and if using multiple output tables it’s recommenced to just cbind all of them to a single sdtab data.frame.
There are a set of specific and tailored GOF functions.
do.individual.GOF will provide GOF plots of PRED, IPRED
and DV vs TIME (default) with one panel per subject This will generate
one page/plot per 20 subjects (default) and therefore this function is
best used when exporting to a PDF. The X axis is default set to TIME but
e.g. time after last dose (TAPD) or any column in the input data.frame.
Below is a small example from 6 subjects.
do.individual.GOF(subset(sdtab,DV>0 & ID<7 & TIME<50))
On top of basic.GOF4 with an example in the beginning of
this document, there is also basic.GOF6 which adds 2 extra
GOF plots showing GOF’s for residuals (CWRES) as histogram and as qqnorm
plot. Except for number of bins in the histogram of CWRES both have the
same options and parameters, e.g. the X-axis value for 1’st and 2’nd GOF
on the bottom row is set by idv1 and
idv2respectively. In the example below the defult (IPRED
and TIME) is replaced by TAPD and PRED.
basic.GOF6(subset(sdtab,DV>0),idv1="TAPD",idv2="PRED")## `geom_smooth()` using formula = 'y ~ x'
## `geom_smooth()` using formula = 'y ~ x'
## `geom_smooth()` using formula = 'y ~ x'
## Warning: `stat(density)` was deprecated in ggplot2 3.4.0.
## ℹ Please use `after_stat(density)` instead.
## ℹ The deprecated feature was likely used in the nonmem2R package.
## Please report the issue to the authors.
## This warning is displayed once every 8 hours.
## Call `lifecycle::last_lifecycle_warnings()` to see where this warning was
## generated.
## Warning: The following aesthetics were dropped during statistical transformation: x and
## y.
## ℹ This can happen when ggplot fails to infer the correct grouping structure in
## the data.
## ℹ Did you forget to specify a `group` aesthetic or to convert a numerical
## variable into a factor?
## `geom_smooth()` using formula = 'y ~ x'
## `geom_smooth()` using formula = 'y ~ x'

There are 4 tailored functions for doing GOF plots for ETA’s:
basic.eta.GOF, eta.cov.GOF,
eta.cat.GOF, and eta.pairs.GOF. These
functions identifies all columns named ETA1,..,ETA9,ET10,..
in the input data.frame and provides different types of GOF plots for
these columns. All 4 functions will by default exclude ETA’s which are
constant i.e. when set as FIX in your nonmem model (use
drop.fixed=FALSE to override) and each ETA is scaled to
unit variance (use standardize=FALSE to override). All but
the basic.eta.GOF function return an ggplot object and can
be further modified as any ggplot object.
basic.eta.GOF will provide GOF plots showing histograms
and densities combined with QQ-norm plots.
basic.eta.GOF(sdtab)
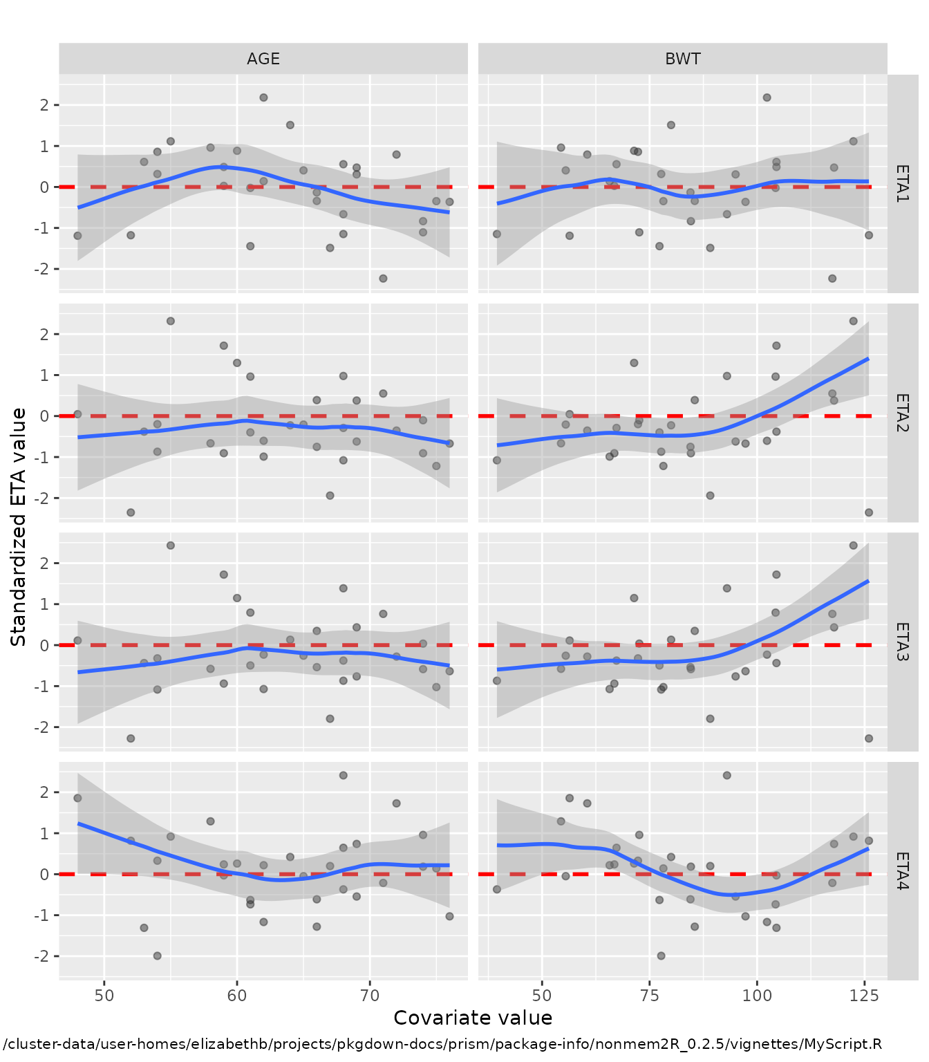
eta.cov.GOF will provide GOF plots showing x-y plots of
ETA’s vs continuous covariates and eta.cat.GOF will provide
box-plots of all ETA’s. Both function have an argument type
default set to “all-in-one”. This will generate a ggplot which is
formatted by facet_grid with all ETA’s in rows and all
covariates in columns, as in the example below for
eta.cov.GOF.
eta.cov.GOF(subset(sdtab,DV>0),covariates=c("AGE","BWT"))## `geom_smooth()` using formula = 'y ~ x'

However it’s also possible to get either one page for each ETA
(type="eta-by-page") or as in the example below for
eta.cat.GOF with one page for each covariate
(type="covariate-by-page").
eta.cat.GOF(subset(sdtab,DV>0),covariates=c("gender","eGFR"),type="covariate-by-page")

The last tailored function for doing GOF plots of ETA’s is
eta.pairs.GOF with an example below. Default setting will
show scatter plots below the diagonal, smooth density on the diagonal,
and spearman correlations above the diagonal. A 2D density can also be
added on either side of the diagonal. The example below is show the
effect of setting labels for ETA using set.GOF.params
set.GOF.params(eta.labels=c("Ka","Vc","CL","F"))
eta.pairs.GOF(sdtab,density2D="lower")
As mentioned some of the functions don’t return and ggplot object and
the graph can thus not be further modified by adding existing ggplot
functions. The functions do however have a named argument
global.ggplot.options which is added to each individual
ggplot functions before combining. This functionality is limited to one
single additional ggplot function, e.g. facet_grid,
facet_wrap or different theme’s such as
theme_bw.
In the example below basic.GOF4 is modified be setting
global.ggplot.options to facet_wrap(~gender)
to get one panel for each gender for each of the four GOF plots.
basic.GOF4(subset(sdtab,DV>0),idv2="TAPD",global.ggplot.options=facet_wrap(~gender))## `geom_smooth()` using formula = 'y ~ x'
## `geom_smooth()` using formula = 'y ~ x'
## `geom_smooth()` using formula = 'y ~ x'
## Warning: The following aesthetics were dropped during statistical transformation: x and
## y.
## ℹ This can happen when ggplot fails to infer the correct grouping structure in
## the data.
## ℹ Did you forget to specify a `group` aesthetic or to convert a numerical
## variable into a factor?
## The following aesthetics were dropped during statistical transformation: x and
## y.
## ℹ This can happen when ggplot fails to infer the correct grouping structure in
## the data.
## ℹ Did you forget to specify a `group` aesthetic or to convert a numerical
## variable into a factor?
## `geom_smooth()` using formula = 'y ~ x'
## `geom_smooth()` using formula = 'y ~ x'

And in the example below basic.GOF6 is modified be
setting global.ggplot.options to
theme_classic()
basic.GOF6(subset(sdtab,DV>0),idv2="TAPD",global.ggplot.options=theme_classic())## `geom_smooth()` using formula = 'y ~ x'
## `geom_smooth()` using formula = 'y ~ x'
## `geom_smooth()` using formula = 'y ~ x'
## Warning: The following aesthetics were dropped during statistical transformation: x and
## y.
## ℹ This can happen when ggplot fails to infer the correct grouping structure in
## the data.
## ℹ Did you forget to specify a `group` aesthetic or to convert a numerical
## variable into a factor?
## `geom_smooth()` using formula = 'y ~ x'
## `geom_smooth()` using formula = 'y ~ x'

The function get.label is used to set good looking axis
labels for the most common NONMEM variables, e.g. CWRES is by default
labelled “Cond. weighted res”. The dictionary of
labels is controlled by the function
set.GOF.dictionary.
In the example below the label for TAD is changed to “Time
since last dose(days)” and a new label “Time after first dose (days)” is
added for the variable TIME.
set.GOF.dictionary(TAD="Time since last dose(days)")
set.GOF.dictionary(TIME="Time since first dose(days)")Use get.GOF.dictionary to inspect the complete
dictionary of labels and default.GOF.dictionary to
reset all labels to the default. It is also possible to turn of
functionality and instead have column names as is for axis labels by
setting the global GOF parameter axis.labels to
FALSE. See next section for how to change global GOF
parameters.
## $DV
## [1] "Observations"
##
## $PRED
## [1] "Population predictions"
##
## $IPRED
## [1] "Individual predictions"
##
## $CWRES
## [1] "Cond. weighted res"
##
## $IWRES
## [1] "Ind. weighted res"
##
## $WRES
## [1] "Weighted residual"
##
## $RES
## [1] "Residual"
##
## $TIME
## [1] "Time since first dose(days)"
##
## $TAPD
## [1] "Time since last dose(h)"
##
## $TAD
## [1] "Time since last dose(days)"
##
## $TAFD
## [1] "Time after first dose(h)"
The formatting of lines, plot symbols and caption text is controlled
by the argument control with default values controlled by
the current setting of GOF parameters. A default setting of parameters
is set on loading nonmem2R BUT can be modified
using set.GOF.params. For example to change plot symbols
for one GOF use control=GOF.control(pch.data = 1) to get
circles instead of the default which is points (pch=19). To
change so that all GOF’s within a script or project get a different
formatting, instead use set.GOF.params(pch.data = 1), see
below example.
set.GOF.params(pch.data = 1)
do.one.GOF(subset(sdtab,DV>0),"PRED","DV")## `geom_smooth()` using formula = 'y ~ x'

The format of the caption can be changed to have a different colour
or font size either for only one GOF using the control
argument, or for all GOF’s using the set.GOF.params. In the
below example the formatting is changed to a larger font size, and the
captions only displays a partial path including only 3 folders. (We
change back to the default after using basic.GOF4)
set.GOF.params(caption.path.depth=3,size.caption = 14,pch.data = 19)
basic.GOF4(subset(sdtab,DV>0))## `geom_smooth()` using formula = 'y ~ x'
## `geom_smooth()` using formula = 'y ~ x'
## `geom_smooth()` using formula = 'y ~ x'
## Warning: The following aesthetics were dropped during statistical transformation: x and
## y.
## ℹ This can happen when ggplot fails to infer the correct grouping structure in
## the data.
## ℹ Did you forget to specify a `group` aesthetic or to convert a numerical
## variable into a factor?
## `geom_smooth()` using formula = 'y ~ x'
## `geom_smooth()` using formula = 'y ~ x'

### Change back to default
set.GOF.params(caption.path.depth=99,size.caption =8)The caption text is set by the function get.caption
which also is a GOF parameter that can be modified like any other GOF
parameter using set.GOF.params. The default caption as
shown in all examples above is a one-row caption with date and full path
to the script. In the below example the get.caption
function is modified to instead put the path to current working
directory, the scripts name, and the date on separate rows. If modifying
the function for caption text please not that the
get.caption GOF parameter must be just that; a function
with no argument returning a character string.
set.GOF.params(
get.caption=function(x){
paste(getwd(),get.GOF.params()$script.name,date(),sep="\n")
}
)
do.one.GOF(subset(sdtab,DV>0),"PRED","DV")## `geom_smooth()` using formula = 'y ~ x'

Note that there is no check that the new value set for a GOF
parameter make sense. To list all GOF parameters use
get.GOF.params and default.GOF.params to reset
all GOF parameters to the default. See section Details in packages
documention for get.GOF.params.
## $col.data
## [1] "gray20"
##
## $cex.data
## [1] 1.5
##
## $pch.data
## [1] 19
##
## $alpha.data
## [1] 0.5
##
## $col.smooth
## [1] "#3366FF"
##
## $lty.smooth
## [1] 1
##
## $lwd.smooth
## [1] 1
##
## $se.smooth
## [1] TRUE
##
## $span.smooth
## [1] 0.6666667
##
## $degree.smooth
## [1] 1
##
## $family.smooth
## [1] "symmetric"
##
## $col.refline
## [1] "red"
##
## $lty.refline
## [1] 2
##
## $lwd.refline
## [1] 1
##
## $fill.hist
## [1] "gray30"
##
## $col.hist
## [1] "transparent"
##
## $alpha.hist
## [1] 0.5
##
## $fill.box
## [1] "steelblue"
##
## $col.box
## [1] "black"
##
## $alpha.box
## [1] 0.6
##
## $axis.labels
## [1] TRUE
##
## $add.caption
## [1] TRUE
##
## $size.caption
## [1] 8
##
## $col.caption
## [1] 1
##
## $caption.path.depth
## [1] 99
##
## $get.caption
## function (x)
## {
## paste(getwd(), get.GOF.params()$script.name, date(), sep = "\n")
## }
##
## $corr.fontface
## [1] 4
##
## $eta.labels
## [1] "Ka" "Vc" "CL" "F"
##
## $script.name
## [1] "MyScript.R"
This set of functions serve as building blocks for creating your own favourite set of graphs. All return an ggplot object and the output can therefore be further modified.
do.one.GOF is a simple x-y plot where you specify
variables as strings, a smoother is added by default (blue line) but can
be omitted. A red ref-line at y~x (default), or horizontal (at median or
mean) can also be added. There are also options for the smoother. In the
below example observed data (DV) is plotted versus predictions (PRED)
and the graph is stratified by gender by adding the ggplot2 function
facet_wrap.
do.one.GOF(subset(sdtab,DV>0),x="PRED",y="DV")+facet_wrap(~gender)## `geom_smooth()` using formula = 'y ~ x'

do.multi.GOF do multiple y-x plots where x is shared. A
smoother is added by default, but reference lines are however omitted
but can be added with similar options as for do.one.GOF.
Adding additional ggplot functions can be done similar as for
do.one.GOF e.g. the ggplot function theme_bw
as in the below example. However, since the multi-panel layout is
generated by the facet facet_wrap(~variable), if modifying
or adding additional facet’s it’s important to keep separate panels by
variable and the recommend option is to use
facet_grid. For example, adding
facet_grid(variable~gender) will provide a
do.multi.GOF stratified by gender.
do.multi.GOF(subset(sdtab,DV>0),x="TAPD",y=c("DV","PRED","IPRED"))+theme_bw()## `geom_smooth()` using formula = 'y ~ x'

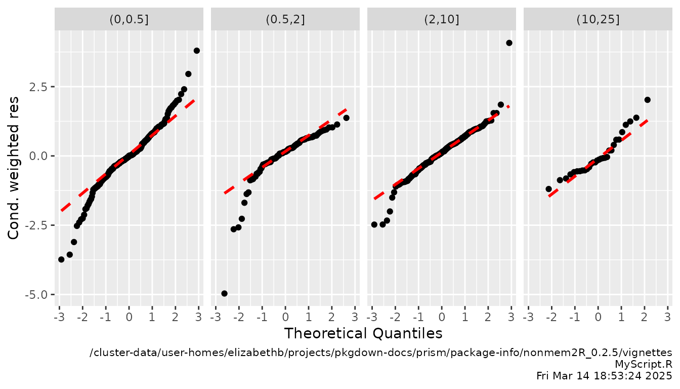
histGOF and qqnormGOF provide GOF’s for
residuals and ETA’s to check for assumption of normality. As for the
other GOF’s red lines are reference lines, blue lines are smoother’s
representing the actual data. For histGOF this is a smooth
density whereas there is no smoother option for qqnormGOF.
We demonstrate these functions by adding extra ggplot functions, in this
case facet_wrap to stratify by time after dose into four
categories.
sdtab$TAPDgr<-cut(sdtab$TAPD,breaks=c(0,0.5,2,10,25))
histGOF(subset(sdtab,DV>0),"CWRES")+facet_wrap(~TAPDgr,nrow=1)

eta.hist.GOF and eta.qqnorm.GOF are
functions specific for ETA columns in NONMEM output tables. The
functions identifies all columns named
ETA1,..,ETA9,ET10,... and provide a GOF plot stratified by
the ETA columns found. They provide similar type of graphs as
histGOF and qqnormGOF. As for
do.multi.GOF the function use
facet_wrap(~variable). The recommend option to add or
modify facet is to use facet_grid. For example, adding
facet_grid(gender~variable) will provide a GOF of ETA’s
stratified by gender.
eta.qqnorm.GOF(subset(sdtab,DV>0))+facet_grid(gender~variable)
Finally, there are also a set of functions that can be used to
combine any type of ggplot objects and plot them in one single graph:
merge2GOF, merge4GOF, and
merge6GOF. They differ in how many graphs they can combine:
1x2, 2x2, and 2x3, otherwise they share the same set of arguments.
In the example below GOF building blocks and GOF builders are used to
generate a graph similar to basic.GOF4.
p1<-do.one.GOF(subset(sdtab,DV>0),
"PRED",
"DV",
control=GOF.control(add.caption=FALSE)) + labs(title="Re-building basic.GOF4")
p2<-do.one.GOF(subset(sdtab,DV>0),
"IPRED",
"DV",
control=GOF.control(add.caption=FALSE))
sqrt.abs<-function(x){sqrt(abs(x))}
p3<-do.one.GOF(subset(sdtab,DV>0),
"IPRED",
"CWRES",
refline="hrefmedian",
fy=sqrt.abs,
control=GOF.control(add.caption=FALSE)) + labs(y=a<-expression(sqrt('|Cond. weighted res.|')))
p4<-do.one.GOF(subset(sdtab,DV>0),
"TAPD",
"CWRES",
refline="href0")
merge4GOF(p1,p2,p3,p4)## `geom_smooth()` using formula = 'y ~ x'
## `geom_smooth()` using formula = 'y ~ x'
## `geom_smooth()` using formula = 'y ~ x'
## Warning: The following aesthetics were dropped during statistical transformation: x and
## y.
## ℹ This can happen when ggplot fails to infer the correct grouping structure in
## the data.
## ℹ Did you forget to specify a `group` aesthetic or to convert a numerical
## variable into a factor?
## `geom_smooth()` using formula = 'y ~ x'
## `geom_smooth()` using formula = 'y ~ x'
