Skip to contents

Plot information of glht, summary.glht or confint.glht objects stored as cld objects together with a compact letter display of all pair-wise comparisons.

Usage

# S3 method for class 'cld'
plot(x, type = c("response", "lp"), ...)

Arguments

x

An object of class cld.

type

Should the response or the linear predictor (lp) be plotted. If there are any covariates, the lp is automatically used. To use the response variable, set type="response" and covar=FALSE of the cld object.

...

Other optional print parameters which are passed to the plotting functions.

Details

This function plots the information stored in glht, summary.glht or confint.glht objects. Prior to plotting, these objects have to be converted to cld objects (see cld for details). All types of plots include a compact letter display (cld) of all pair-wise comparisons. Equal letters indicate no significant differences. Two levels are significantly different, in case they do not have any letters in common. If the fitted model contains any covariates, a boxplot of the linear predictor is generated with the cld within the upper margin. Otherwise, three different types of plots are used depending on the class of variable y of the cld object. In case of class(y) == "numeric", a boxplot is generated using the response variable, classified according to the levels of the variable used for the Tukey contrast matrix. Is class(y) == "factor", a mosaic plot is generated, and the cld is printed above. In case of class(y) == "Surv", a plot of fitted survival functions is generated where the cld is plotted within the legend. The compact letter display is computed using the algorithm of Piepho (2004). Note: The user has to provide a sufficiently large upper margin which can be used to depict the compact letter display (see examples).

References

Hans-Peter Piepho (2004), An Algorithm for a Letter-Based Representation of All-Pairwise Comparisons, Journal of Computational and Graphical Statistics, 13(2), 456–466.

Examples


  ### multiple comparison procedures
  ### set up a one-way ANOVA
  data(warpbreaks)
  amod <- aov(breaks ~ tension, data = warpbreaks)
  ### specify all pair-wise comparisons among levels of variable "tension"
  tuk <- glht(amod, linfct = mcp(tension = "Tukey"))
  ### extract information
  tuk.cld <- cld(tuk)
  ### use sufficiently large upper margin
  old.par <- par(mai=c(1,1,1.25,1), no.readonly=TRUE)
  ### plot
  plot(tuk.cld)

  par(old.par)

  ### now using covariates
  amod2 <- aov(breaks ~ tension + wool, data = warpbreaks)
  tuk2 <- glht(amod2, linfct = mcp(tension = "Tukey"))
  tuk.cld2 <- cld(tuk2)
  old.par <- par(mai=c(1,1,1.25,1), no.readonly=TRUE)
  ### use different colors for boxes
  plot(tuk.cld2, col=c("green", "red", "blue"))

  par(old.par)
  
  ### get confidence intervals
  ci.glht <- confint(tuk)
  ### plot them
  plot(ci.glht)

  old.par <- par(mai=c(1,1,1.25,1), no.readonly=TRUE)
  ### use 'confint.glht' object to plot all pair-wise comparisons
  plot(cld(ci.glht), col=c("white", "blue", "green"))

  par(old.par)
  
  ### set up all pair-wise comparisons for count data
  data(Titanic)
  mod <- glm(Survived ~ Class, data = as.data.frame(Titanic), 
             weights = Freq, family = binomial())
  ### specify all pair-wise comparisons among levels of variable "Class"
  glht.mod <- glht(mod, mcp(Class = "Tukey"))
  ### extract information
  mod.cld <- cld(glht.mod)
  ### use sufficiently large upper margin
  old.par <- par(mai=c(1,1,1.5,1), no.readonly=TRUE)
  ### plot
  plot(mod.cld)

  par(old.par)
  
  ### set up all pair-wise comparisons of a Cox-model
  if (require("survival") && require("MASS")) {
    ### construct 4 classes of age
    Melanoma$Cage <- factor(sapply(Melanoma$age, function(x){
                            if( x <= 25 ) return(1)
                            if( x > 25 & x <= 50 ) return(2)
                            if( x > 50 & x <= 75 ) return(3)
                            if( x > 75 & x <= 100) return(4) }
                           ))
    ### fit Cox-model
    cm <- coxph(Surv(time, status == 1) ~ Cage, data = Melanoma)
    ### specify all pair-wise comparisons among levels of "Cage"
    cm.glht <- glht(cm, mcp(Cage = "Tukey"))
    # extract information & plot
    old.par <- par(no.readonly=TRUE)
    ### use mono font family
    if (dev.interactive())
        old.par <- par(family = "mono")
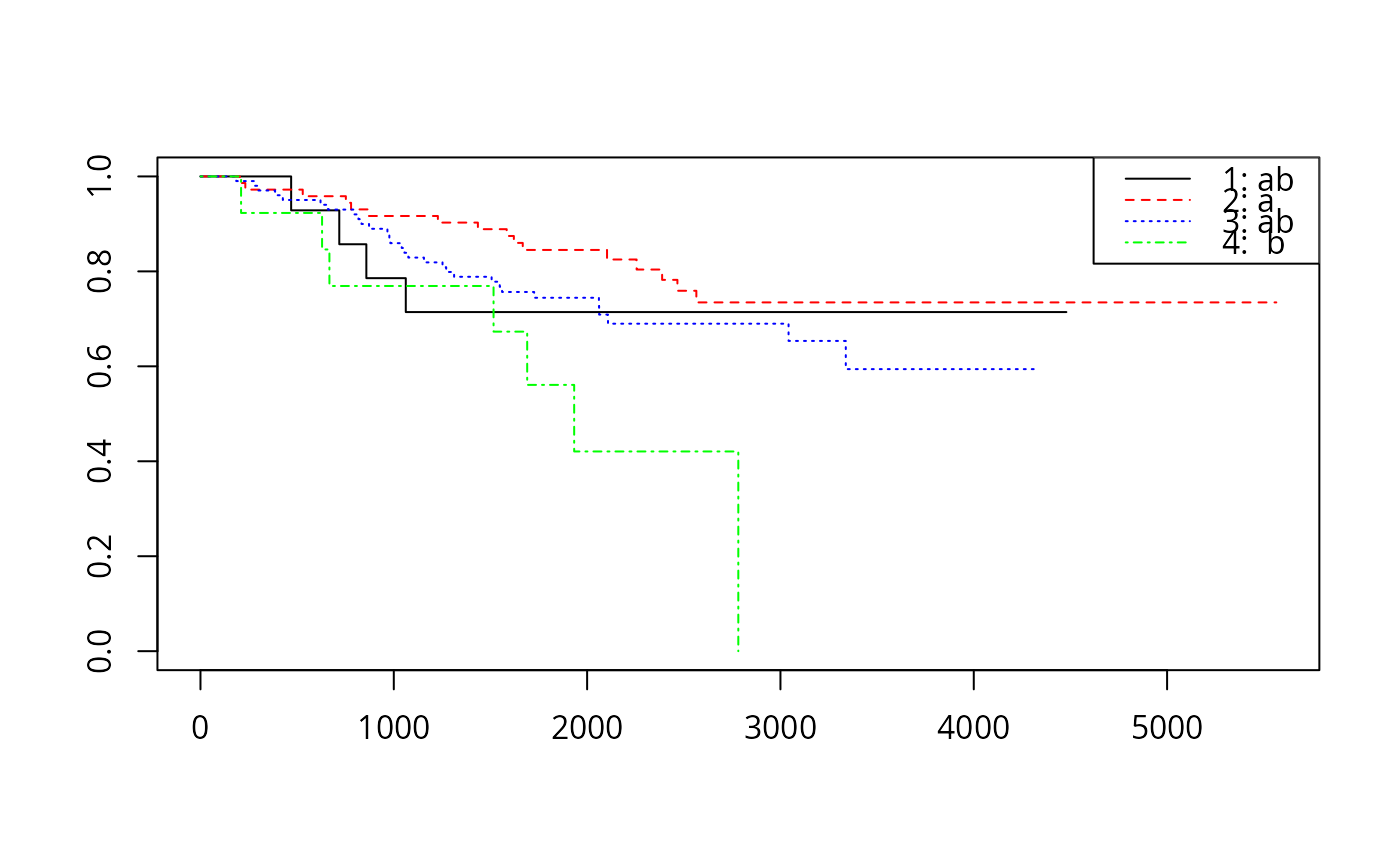
    plot(cld(cm.glht), col=c("black", "red", "blue", "green"))
    par(old.par)
  }


  if (require("nlme") && require("lme4")) {
    data("ergoStool", package = "nlme")

    stool.lmer <- lmer(effort ~ Type + (1 | Subject),
                       data = ergoStool)
    glme41 <- glht(stool.lmer, mcp(Type = "Tukey"))

    old.par <- par(mai=c(1,1,1.5,1), no.readonly=TRUE)
    plot(cld(glme41))
    par(old.par)
  }
#> Loading required package: nlme
#> 
#> Attaching package: ‘nlme’
#> The following object is masked from ‘package:mlt’:
#> 
#>     coef<-
#> Loading required package: lme4
#> Loading required package: Matrix
#> 
#> Attaching package: ‘lme4’
#> The following object is masked from ‘package:nlme’:
#> 
#>     lmList