vignettes/capped-axes.Rmd
capped-axes.RmdA quick demonstration of capping the lines.
First, load the package, generate a dataset and display it.
library(ggplot2)
library(lemon)
dat1 <- data.frame(
gp = factor(rep(letters[1:3], each = 10)),
y = rnorm(30),
cl = sample.int(3, 30, replace=TRUE),
cl2 = sample(c('a','b','c'), 30, replace=TRUE)
)
my.theme <- theme_light()
(
p <- ggplot(dat1, aes(gp, y)) + geom_point() + my.theme
)
Default ggplot2 plotting.
NB: In order to manipulate the axis lines, they must
be drawn. Modify the theme so the panel.border is not drawn
(it will be on top of the axis lines), and have the axis lines
drawn:
my.theme <- my.theme + theme(panel.border=element_blank(),
axis.line = element_line(),
axis.ticks = element_line(colour='black'))
p <- p + my.themeNow, let’s have some fun.
We cap the bottom axis line to the right-most tick. The left end is
also capped by the amount specified with the gap argument
(at time of writing, defaulted at 0.01).
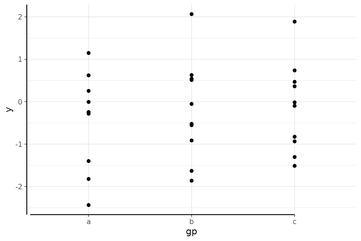
p + coord_capped_cart(bottom='right')
Using coord_capped_cart to cap the bottom axis from the
right. The left axis is unaffected.
To keep the axis lines consistent, we also specify the
left argument, which still caps the left axis line by the
amount specified with the gap argument.
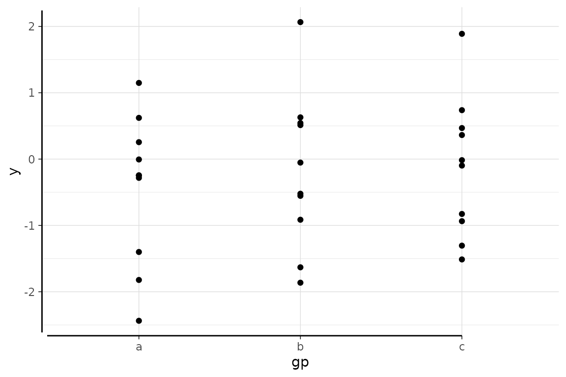
p + coord_capped_cart(bottom='right', left='none')
As before, but left axis is now also capped to give a consistent look.
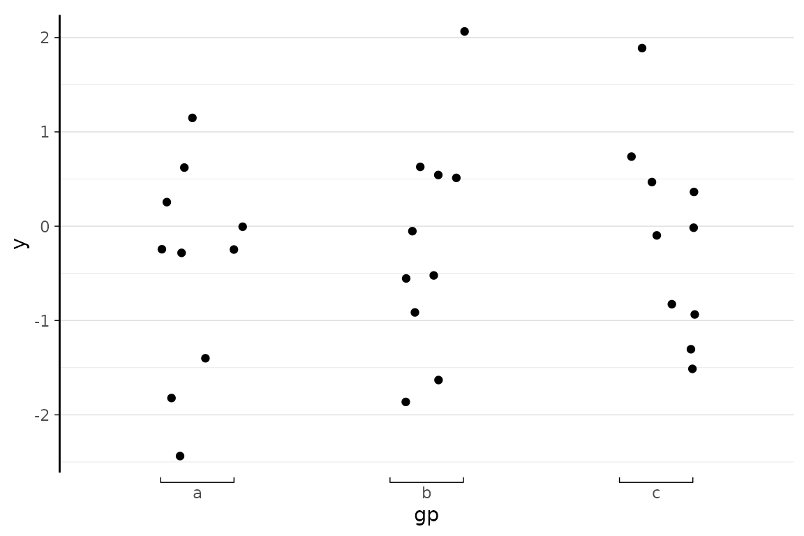
To avoid overplotting, we can apply a jitter. To emphasise that the x-axis is categorical, we can place brackets. We finally polish the plot by removing the redundant vertical grid lines.
ggplot(dat1, aes(gp, y)) + geom_point(position=position_jitter(width=0.2, height=0)) +
coord_capped_cart(left='none', bottom=brackets_horizontal()) +
my.theme + theme(panel.grid.major.x = element_blank())
Placing brackets instead of ticks emphasises that the x-scale is categorical and not nominal.
coord objects
ggplot2’s Cartesian coordinates systems,
coord_cartesian, have been extended to allow for flexible
specification of how axes are drawn. You’ve seen them above. The
following table summarises the connection between ggplot2’s coord
functions and those of lemon.
| ggplot2 | lemon’s flexible | lemon’s short hand |
|---|---|---|
coord_cartesian |
coord_flex_cart |
coord_capped_cart |
coord_flip |
coord_flex_flip |
coord_capped_flip |
coord_fixed |
coord_flex_fixed |
– |
The short hand functions in the table’s right column simply are
almost identical to those in the middle column. If one of the side
arguments are specified with a character value, the relevant axis
drawing function is used. You can however choose to use e.g.
brackets_horizontal in place.
** Following section no longer applicable as of ggplot2 v. 3.3.0 (-ish)! **
The functions capped_horizontal or
brackets_vertical returns a function that is called when
ggplot2 prints the plot. In this package, we use ggplot2 to build the
axes, then modify in place the return grobs.
The function is called by the coord objects when
printing the plot, and is called with the arguments
scale_details, axis, scale, position, theme
The function should then return a grob. Some pointers to how it is
used can be found in ggplot2’s help pages on ggproto
(?"ggplot2-ggproto")
The arguments are as follows1
scale_details: Details of the scales in ‘npc’ units (see
grid::unit). In the example below, a secondary y-axis is
used, so we find both y.major, etc., and
y.sec.major, etc.
List of 20
$ x.range : num [1:2] 0.4 3.6
$ x.labels : chr [1:3] "a" "b" "c"
$ x.major : num [1:3] 0.187 0.5 0.812
$ x.minor : NULL
$ x.major_source : int [1:3] 1 2 3
$ x.minor_source : NULL
$ x.arrange : chr [1:2] "secondary" "primary"
$ y.range : num [1:2] -2.17 2.26
$ y.labels : chr [1:5] "-2" "-1" "0" "1" ...
$ y.major : num [1:5] 0.0378 0.2635 0.4892 0.7149 0.9406
$ y.minor : num [1:9] 0.0378 0.1506 0.2635 0.3763 0.4892 ...
$ y.major_source : num [1:5] -2 -1 0 1 2
$ y.minor_source : num [1:9] -2 -1.5 -1 -0.5 0 0.5 1 1.5 2
$ y.sec.range : num [1:2] -10.8 11.3
$ y.sec.labels : chr [1:5] "-10" "-5" "0" "5" ...
$ y.sec.major : num [1:5] 0.038 0.263 0.489 0.715 0.941
$ y.sec.minor : num [1:9] 0.0378 0.1506 0.2635 0.3763 0.4892 ...
$ y.sec.major_source: num [1:5] -10 -5 0 5 10
$ y.sec.minor_source: num [1:9] -10 -7.5 -5 -2.5 0 2.5 5 7.5 10
$ y.arrange : chr [1:2] "primary" "secondary"
The secondary y-axis mulitplied the values by 5. Ticks are drawn at
major coordinates, as are major grid lines. Minor grid
lines, if the theme supports them, are drawn at minor.
Observe the connection between y.label and
y.major_source; it only becomes apparent when also
observing the same for the x-axis. The x.major_source are
the factor integers.
axis: Character, either "primary" or
"secondary". Recall that the function is called per
axis drawn.
scale: Character, either "x" or
"y".
position: Character, one of the sides,
"top", "right", "bottom", or
"left".
theme: The plot’s theme. This is however not in absolute
terms, e.g. so text sizes may be described in relative terms to the base
size. To resolve a usable gp (graphic parameters, see
?grid::gpar) for a grob, use
ggplot2:::element_render(theme, 'axis.text.x'), in which
the second argument would resolve to the labels of the x-axis.
The brackets comes in two orientations:
brackets_horizontal and brackets_vertical. If
you attempt to use a vertical bracket on a horizontal axis, it will fail
with a undescriptive error.
The bracket functions accept a direction argument, which
can be used to control which direction the end-points are pointing:
p <- ggplot(mpg, aes(cyl, hwy, colour=class)) +
geom_point(position=position_jitter(width=0.3)) +
scale_x_continuous(breaks=c(4,5,6,8), sec.axis=dup_axis()) +
scale_y_continuous(sec.axis=dup_axis()) +
coord_flex_cart(bottom=brackets_horizontal(),
top=brackets_horizontal(direction='down'),
left=brackets_vertical(),
right=brackets_vertical(direction='right')) +
my.theme
p
The look of the brackets are controlled via
theme(axis.ticks). The length of the end-point are
controlled via the theme theme(axis.ticks.length). If these
needs to be specified for each margin, use the argument
tick.length:
p <- ggplot(mpg, aes(cyl, hwy, colour=class)) +
geom_point(position=position_jitter(width=0.3)) +
coord_flex_cart(bottom=brackets_horizontal(tick.length=0),
left=brackets_vertical(tick.length = unit(1, 'cm'))) +
my.theme
p
As shown above, using tick.length=unit(0, 'cm') results
in a flat line.
Having produced such wonderous axes, it is a pity they are not plotted around all panels when using faceting.
dsamp <- diamonds[sample(nrow(diamonds), 1000), ]
(d <- ggplot(dsamp, aes(carat, price)) +
geom_point(aes(colour = clarity)) +
coord_capped_cart(bottom='none', left='bottom') +
facet_grid(.~cut) + my.theme
)
facet_grid and facet_wrap have been
implemented in versions that display the axis lines (and labels) on all
panels. They work exactly like ggplot2’s functions, and are named with
_rep_:
d + facet_rep_grid(.~cut)## Warning in facet_rep_grid(. ~ cut): `facet_rep_wrap` and `facet_rep_lab` have
## been soft-deprecated. A replacement can be found in ggh4x::facet_wrap2.

If we want the labels shown as well, use the argument:
d + facet_rep_grid(.~cut, repeat.tick.labels = TRUE)## Warning in facet_rep_grid(. ~ cut, repeat.tick.labels = TRUE): `facet_rep_wrap`
## and `facet_rep_lab` have been soft-deprecated. A replacement can be found in
## ggh4x::facet_wrap2.

It also works for facet_wrap:
(d2 <- d + facet_rep_wrap(~cut, ncol=2))## Warning in facet_rep_wrap(~cut, ncol = 2): `facet_rep_wrap` and `facet_rep_lab`
## have been soft-deprecated. A replacement can be found in ggh4x::facet_wrap2.

Finally, the legend can be repositioned to fit in a panel by using
reposition_legend. See the vignette legend.
The addition of theme(legend.background) is merely to
provide a border around the legend.
d2 <- d2 + guides(colour=guide_legend(ncol=3)) +
theme(legend.background = element_rect(colour='grey'))
reposition_legend(d2, position='center', panel='panel-2-3')
As of lemon v0.4.2, you can now use symmetric y- og x-axis scales.

Some points which should center around 0, but the scale indicates it’ off-target.
p + scale_y_symmetric(mid=0)
With the now added symmetric scale, it is nicely centered around 0.
The same effect could be achieved with coord_cartesian
or use of scale_y_continuous; however when used with a
facet where each row (or column) should scale to the data,
scale_x_symmetric and scale_y_symmetric
ensures the data will remain centered.
To get the contents of the arguments, I usually include
a line in the function’s code to save them as a RDS object:
saveRDS(list(scale_details=scale_details, axis=axis, scale=scale, position=position, theme=theme), file='whatever.rds')↩︎