vignettes/facet-rep-labels.Rmd
facet-rep-labels.Rmdggplot2 offers the fantastic option for displaying complex data in forms of ‘many multiple’, i.e. the facets. From the example of facet_grid:
p <- ggplot(mpg, aes(displ, cty)) + geom_point()
p + facet_grid(drv ~ cyl) + theme_bw()
Faceting works quite well in its default form. When the panel’s borders are drawn, nothing lacks.
In the above example, the panel’s borders are drawn with the default settings of theme_bw().
If we desire the the axis lines, such as those given in this package, the distinction of the panels disappears.
library(lemon)
p <- p + coord_capped_cart(bottom='both', left='both') +
theme_bw() + theme(panel.border=element_blank(), axis.line=element_line())
p + facet_grid(drv ~ cyl)
The optimised axis lines are gone from inner panels.
The above example is re-created below with both left- and bottom-axis lines repeated.
library(lemon)
p + facet_rep_grid(drv ~ cyl) + coord_capped_cart(bottom='both', left='both') +
theme_bw() + theme(panel.border=element_blank(), axis.line=element_line())## Coordinate system already present. Adding new coordinate system, which will
## replace the existing one.

Axis lines are repeated across all panels by using facet_rep_grid of the lemon package.
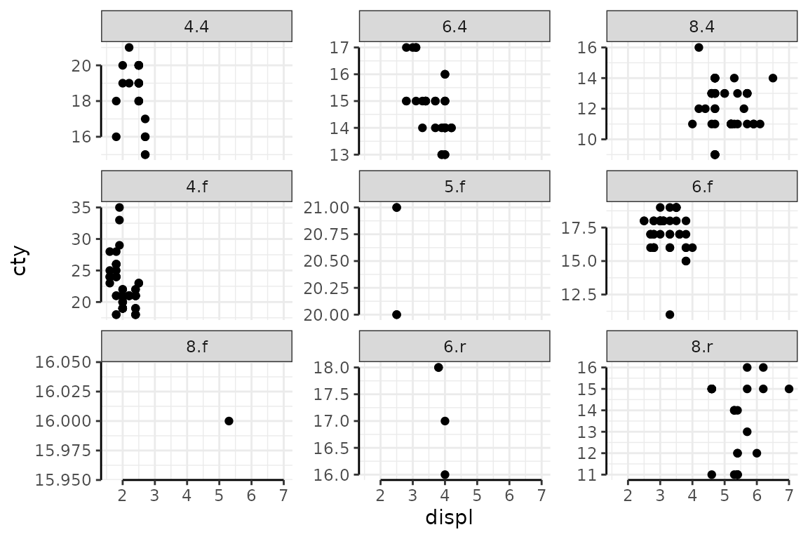
In the following example, we change the facet from a grid to being wrapped on the interaction of drv and cyl, and add free scaling on y-axis. facet_wrap would normally print the y-axis tick labels for each panel, but still ignores the x-axis.
p + facet_wrap(~ interaction(cyl, drv), scales='free_y') 
facet_wrap keeps y-axis label ticks with scales='free_y'.
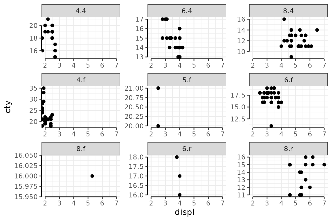
A work around by keeping both axes free scale, and fixing the x-axis with either scale_x_continuous or limits in cord_*, but the same x-axis tick labels are repeated. And this is a bit tedious.
p + facet_wrap(~ interaction(cyl, drv), scales='free') +
coord_capped_cart(bottom='both', left='both', xlim=c(2,7))## Coordinate system already present. Adding new coordinate system, which will
## replace the existing one.

X-axis is entirely fixed, and the plot is littered with x-axis tick labels.
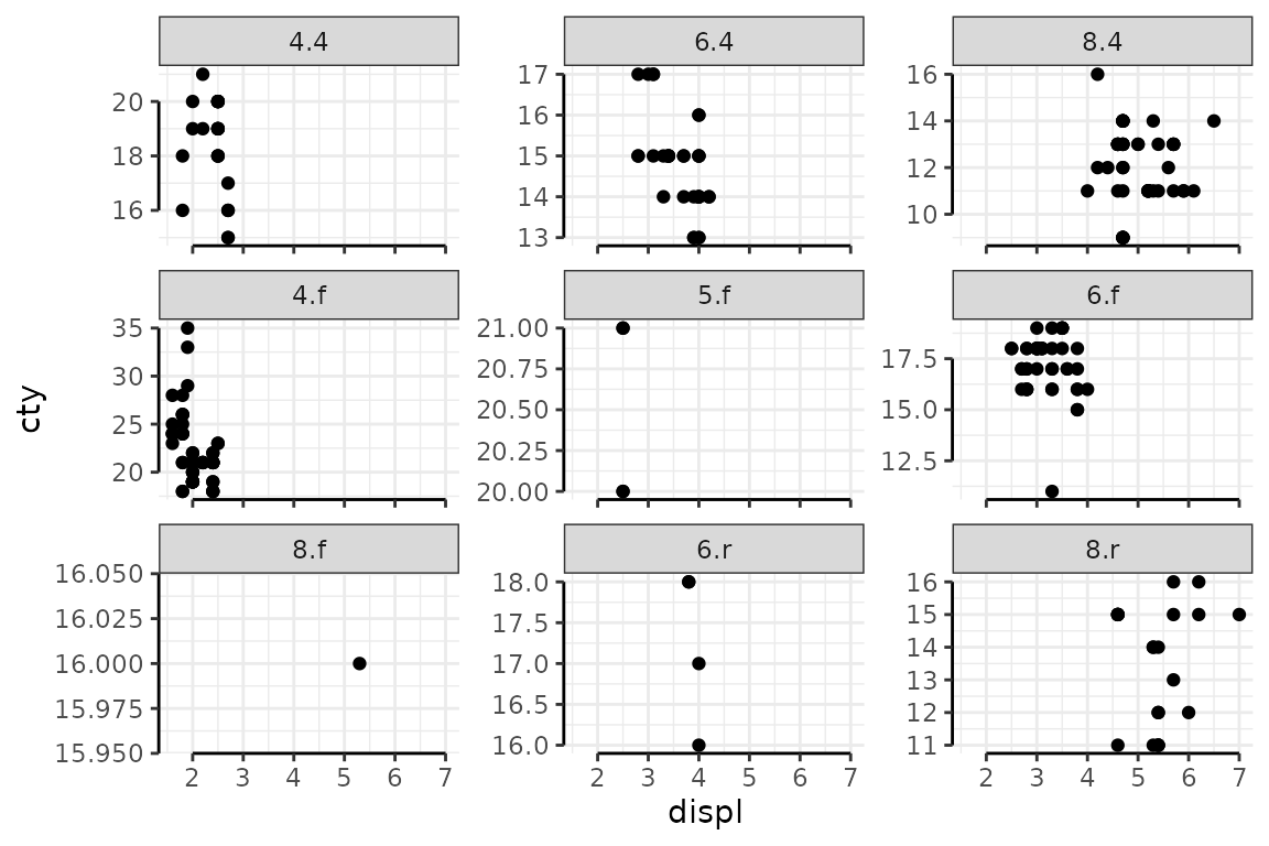
We can specify which labels to keep with facet_rep_wrap. Default is repeat.tick.labels=FALSE when scales='fixed' which removes tick labels on all axes (shown in earlier figure). When using free scales on facet_rep_wrap, the appropiate labels are drawn.
p + facet_rep_wrap(~ interaction(cyl, drv), scales='free_y', repeat.tick.labels = 'left')
With repeat.tick.labels we are free to specify which sides to keep.
The argument repeat.tick.labels accepts a range of arguments: top,right,bottom, and left, any combination of these are accepted, as well as TRUE and FALSE which are interpreted as all or none, and all and none.
There are many posibilities. Examples given below (but not executed), and they might not be pretty.
p + facet_rep_wrap(~ interaction(cyl, drv), scales='free_y', repeat.tick.labels = 'all')
p + facet_rep_wrap(~ interaction(cyl, drv), scales='free_y', repeat.tick.labels = 'bottom')
p + facet_rep_wrap(~ interaction(cyl, drv), scales='free_y', repeat.tick.labels = 'left')
p + scale_x_continuous(sec.axis = dup_axis()) +
facet_rep_wrap(~ interaction(cyl, drv), scales='free_y', repeat.tick.labels = 'all')
p + scale_x_continuous(sec.axis = dup_axis()) +
facet_rep_wrap(~ interaction(cyl, drv), scales='free_y', repeat.tick.labels = c('top','left'))