Linked text geometries are most useful for adding data labels to plots. `geom_text_s()` and `geom_label_s()` add text to the plot and for nudged positions link the original location to the nudged text with a segment or arrow.

geom_label_s(
  mapping = NULL,
  data = NULL,
  stat = "identity",
  position = "identity",
  ...,
  parse = FALSE,
  nudge_x = 0,
  nudge_y = 0,
  default.colour = "black",
  default.color = default.colour,
  colour.target = c("text", "box"),
  color.target = colour.target,
  default.alpha = NA,
  alpha.target = "all",
  label.padding = grid::unit(0.25, "lines"),
  label.r = grid::unit(0.15, "lines"),
  segment.linewidth = 0.5,
  add.segments = TRUE,
  box.padding = 1e-06,
  point.padding = 1e-06,
  min.segment.length = 0,
  arrow = NULL,
  size.unit = "mm",
  na.rm = FALSE,
  show.legend = NA,
  inherit.aes = TRUE
)

geom_text_s(
  mapping = NULL,
  data = NULL,
  stat = "identity",
  position = "identity",
  ...,
  parse = FALSE,
  nudge_x = 0,
  nudge_y = 0,
  default.colour = "black",
  default.color = default.colour,
  colour.target = "text",
  color.target = colour.target,
  default.alpha = NA,
  alpha.target = "all",
  add.segments = TRUE,
  box.padding = 0.25,
  point.padding = 1e-06,
  segment.linewidth = 0.5,
  min.segment.length = 0,
  arrow = NULL,
  check_overlap = FALSE,
  size.unit = "mm",
  na.rm = FALSE,
  show.legend = NA,
  inherit.aes = TRUE
)

Arguments

mapping

Set of aesthetic mappings created by aes. If specified and with inherit.aes = TRUE (the default), it is combined with the default mapping at the top level of the plot. You only need to supply mapping if there isn't a mapping defined for the plot.

data

A data frame. If specified, overrides the default data frame defined at the top level of the plot.

stat

The statistical transformation to use on the data for this layer, as a string.

position

Position adjustment, either as a string, or the result of a call to a position adjustment function.

...

other arguments passed on to layer. There are three types of arguments you can use here:

  • Aesthetics: to set an aesthetic to a fixed value, like colour = "red" or size = 3.

  • Other arguments to the layer, for example you override the default stat associated with the layer.

  • Other arguments passed on to the stat.

parse

If TRUE, the labels will be parsed into expressions and displayed as described in ?plotmath.

nudge_x, nudge_y

Horizontal and vertical adjustments to nudge the starting position of each text label. The units for nudge_x and nudge_y are the same as for the data units on the x-axis and y-axis.

default.colour, default.color

A colour definition to use for elements not targeted by the colour aesthetic.

colour.target, color.target

A vector of character strings; "all", "text", "segment", "box", "box.line", and "box.fill" or "none".

default.alpha

numeric in [0..1] A transparency value to use for elements not targeted by the alpha aesthetic.

alpha.target

A vector of character strings; "all", "text", "segment", "box", "box.line", and "box.fill" or "none".

label.padding

Amount of padding around label. Defaults to 0.25 lines.

label.r

Radius of rounded corners. Defaults to 0.15 lines.

segment.linewidth

numeric Width of the segments or arrows in mm.

add.segments

logical Display connecting segments or arrows between original positions and displaced ones if both are available.

box.padding, point.padding

numeric By how much each end of the segments should shortened in mm.

min.segment.length

numeric Segments shorter that the minimum length are not rendered, in mm.

arrow

specification for arrow heads, as created by arrow

size.unit

How the `size` aesthetic is interpreted: as millimetres (`"mm"`, default), points (`"pt"`), centimetres (`"cm"`), inches (`"in"`), or picas (`"pc"`).

na.rm

If FALSE (the default), removes missing values with a warning. If TRUE silently removes missing values.

show.legend

logical. Should this layer be included in the legends? NA, the default, includes a legend if any aesthetics are mapped. FALSE never includes it, and TRUE always includes it.

inherit.aes

If FALSE, overrides the default aesthetics, rather than combining them. This is most useful for helper functions that define both data and aesthetics and shouldn't inherit behaviour from the default plot specification, e.g., borders.

check_overlap

If TRUE, text that overlaps previous text in the same layer will not be plotted. check_overlap takes place at draw time and in the order of the data, thus its action depends of the size at which the plot is drawn.

Value

A plot layer instance.

Details

Geometries geom_text_s() and geom_label_s() have an interface similar to that of geom_text and geom_label, but support additional features. Similarly to geom_text_repel() and geom_label_repel() when used together with position functions defined in package 'ggpp' they draw a segment linking the label at a displaced position to the original position, usually a point corresponding to an observation to which the label refers. Another difference is that they allow control of to which graphical elements the mappings to colour and alpha aesthetics are applied. Differently to geom_label(), geom_label_s() obeys aesthetic mappings to linewidth and linetype applied to the line at the edge of the label box. These features are reflected in the plot key, except for the segment, assumed not to be used to display information only in coordination with other graphic elements.

In geom_label_s() the default fill is similar to "white" but with its alpha component set to 0.75. This differs from "white" used in geom_label(): the default fill is semitransparent with the intention that accidental occlusion of observations is obvious irrespective of the order in which layers are added to the plot.

Layer functions geom_text_s() and geom_label_s() use by default position_nudge_keep which is backwards compatible with position_nudge. In contrast to position_nudge, position_nudge_keep and all other position functions defined in packages 'ggpp' and 'ggrepel' keep the original coordinates, thus allowing the plotting of connecting segments and arrows.

Differently to geom_text_repel() and geom_label_repel(), geom_text_s() and geom_label_s() do not make use of additional aesthetics for the segments or boxes, but instead allow the choice of which elements are targeted by the aesthetics and which are rendered in a default colour. In the grammar of graphics using the same aesthetic with multiple meanings is not allowed, thus, the approach used in the geometry layer functions from package 'ggpp' attempts to enforce this.

Plot boundaries and clipping

Note that when you change the scale limits for x and/or y of a plot, text labels stay the same size, as determined by the size aesthetic, given in millimetres. The actual size as seen in the plotted output is decided during the rendering of the plot to a graphics device. Limits are expanded only to include the anchor point of the labels because the "width" and "height" of a text element are 0 (as seen by ggplot2). Text labels do have height and width, but in grid units, not data units.

Alignment

You can modify text alignment with the vjust and hjust aesthetics. These can either be a number between 0 (right/bottom) and 1 (top/left) or a character ("left", "middle", "right", "bottom", "center", "top"). In addition, you can use special alignments for justification including "position", "inward" and "outward". Inward always aligns text towards the center of the plotting area, and outward aligns it away from the center of the plotting area. If tagged with _mean or _median (e.g., "outward_mean") the mean or median of the data in the panel along the corresponding axis is used as center. If the characters following the underscore represent a number (e.g., "outward_10.5") the reference point will be this value in data units. Position justification is computed based on the direction of the displacement of the position of the label so that each individual text or label is justified outwards from its original position. The default justification is "position".

If no position displacement is applied, or a position function defined in 'ggplot2' is used, these geometries behave similarly to the corresponding ones from package 'ggplot2' with a default justification of 0.5 and no segment drawn.

Differences from earlier versions

The user interface is for the most part stable starting from 'ggpp' (== 0.5.7). In 'ggpp' (== 0.5.0) support for aesthetics related to segments was removed, and replaced by parameters and a new mechanism for targeting the usual colour and alpha aesthetics to text, border, and segment.

Aesthetics

Layer functions geom_text_s() and geom_label_s() require aesthetics x, y and label and support aesthetics: alpha, colour, group, size (of text), family, fontface, lineheight, hjust and vjust. In addition, geom_text_s supports angle and geom_label_s supports fill, linewidth and linetype. See aes_colour_fill_alpha, aes_linetype_size_shape, aes_position, and aes_group_order.

In 'ggplot2' linewidth when applied to the border of the box drawn by geom_label() is given in points rather than in mm because of a historical error in the code. In other geometries such as geom_segment() linewidth is given in mm. As in geom_label_s() it is important to remain consistent among different linewidth specifications, mm are used both for the box border and linking segment. To imitate the behaviour of geom_label() a correction factor of 0.75 (more exactly 1 pt = 0.7528 mm) can be used for the line width of the border of the box.

Position functions

Many layer functions from package 'ggpp' are designed to work seamlessly with position functions that keep, rather than discard, the original x and y positions in data when computing a new displaced position. See position_nudge_keep, position_dodge_keep, position_jitter_keep, position_nudge_center, position_nudge_line, position_nudge_to, position_dodgenudge, position_jitternudge, and position_stacknudge for examples and details of their use.

See also

geom_text, geom_label and other documentation of package 'ggplot2'.

Examples


my.cars <- mtcars[c(TRUE, FALSE, FALSE, FALSE), ]
my.cars$name <- rownames(my.cars)

# no nudging
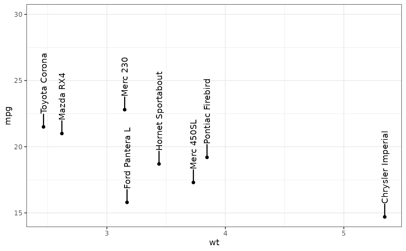
ggplot(my.cars, aes(wt, mpg, label = name)) +
  geom_text_s() +
  expand_limits(x = c(2, 6))


# base plot
p <- ggplot(my.cars, aes(wt, mpg, label = name)) +
       geom_point()

# Using nudging
p +
  geom_text_s(nudge_x = 0.12) +
  expand_limits(x = 6.2)

p +
  geom_text_s(nudge_x = -0.12) +
  expand_limits(x = 1.5)

p +
  geom_text_s(nudge_x = 0.12,
              arrow = arrow(length = grid::unit(1.5, "mm")),
              point.padding = 0.4) +
  expand_limits(x = 6.2)

p +
  geom_text_s(nudge_y = 0.1, nudge_x = 0.07) +
  expand_limits(x = 6.2)

p +
  geom_text_s(nudge_y = 1, angle = 90) +
  expand_limits(y = 30)

p +
  geom_text_s(angle = 90, nudge_y = 1,
              arrow = arrow(length = grid::unit(1.5, "mm")),
              colour.target = "segment", colour = "red") +
  expand_limits(y = 30)

p +
  geom_text_s(aes(colour = factor(cyl)),
              angle = 90, nudge_y = 1,
              arrow = arrow(length = grid::unit(1.5, "mm")),
              alpha.target = "segment", alpha = 0.3) +
  expand_limits(y = 30)


p +
  geom_label_s(nudge_x = 0.12) +
  expand_limits(x = 6.2)

p +
  geom_label_s(nudge_x = 0.12, linetype = "dotted", linewidth = 0.3) +
  expand_limits(x = 6.2)

p +
  geom_label_s(aes(colour = factor(cyl)),
               nudge_x = 0.12,
               colour.target = "box",
               linewidth = 0.5,
               label.r = unit(0, "lines")) +
  expand_limits(x = 6.2)

p +
  geom_label_s(nudge_x = 0.12, linewidth = 0) +
  expand_limits(x = 6.2)


# No segments
p +
  geom_label_s(nudge_x = 0.05, segment.linewidth = 0) +
  expand_limits(x = 6.2)


# Nudging away from arbitrary point
p +
  geom_label_s(hjust = "outward_1", nudge_x = 0.12) +
  expand_limits(x = 6.2)

p +
  geom_label_s(hjust = "inward_3", nudge_y = 0.4)


p +
  geom_label_s(nudge_y = 1, angle = 90) +
  expand_limits(y = 30)


# Add aesthetic mappings and adjust arrows
p +
  geom_text_s(aes(colour = factor(cyl)),
              angle = 90,
              nudge_y = 1,
              arrow = arrow(angle = 20,
                            length = grid::unit(1.5, "mm"),
                            ends = "first",
                            type = "closed")) +
  scale_colour_discrete(l = 40) + # luminance, make colours darker
  expand_limits(y = 27)


p +
  geom_text_s(aes(colour = factor(cyl)),
              angle = 90,
              nudge_y = 1,
              arrow = arrow(angle = 20,
                            length = grid::unit(1.5, "mm"),
                            ends = "first",
                            type = "closed")) +
  scale_colour_discrete(l = 40) + # luminance, make colours darker
  expand_limits(y = 27)


p +
  geom_label_s(aes(colour = factor(cyl)),
              colour.target = c("box", "text"),
              nudge_x = 0.3,
              arrow = arrow(angle = 20,
                            length = grid::unit(1/3, "lines"))) +
  scale_colour_discrete(l = 40) + # luminance, make colours darker
  expand_limits(x = 7)


p +
  geom_label_s(aes(colour = factor(cyl)),
              nudge_x = 0.3,
              colour.target = c("box", "segment"),
              linewidth = 0.5,
              arrow = arrow(angle = 20,
                            length = grid::unit(1/3, "lines"))) +
  scale_colour_discrete(l = 40) + # luminance, make colours darker
  expand_limits(x = 7)


p +
  geom_label_s(aes(colour = factor(cyl), fill = factor(cyl)),
              nudge_x = 0.3,
              alpha.target = "box",
              alpha = 0.1,
              linewidth = 0.5,
              arrow = arrow(angle = 20,
                            length = grid::unit(1/3, "lines"))) +
  scale_colour_discrete(l = 40) + # luminance, make colours darker
  expand_limits(x = 7)#' # Scale height of text, rather than sqrt(height)


p +
  geom_text_s(aes(size = wt), nudge_x = -0.1) +
  scale_radius(range = c(3,6)) + # override scale_area()
    expand_limits(x = c(1.8, 5.5))