stat_fit_tb fits a model and returns a "tidy" version of the model's summary or ANOVA table, using 'tidy() methods from packages 'broom', 'broom.mixed', or other 'broom' extensions. The annotation is added to the plots in tabular form.

stat_fit_tb(
  mapping = NULL,
  data = NULL,
  geom = "table_npc",
  position = "identity",
  ...,
  method = "lm",
  method.args = list(formula = y ~ x),
  n.min = 2L,
  tidy.args = list(),
  tb.type = "fit.summary",
  tb.vars = NULL,
  tb.params = NULL,
  digits = 3,
  p.digits = digits,
  label.x = "center",
  label.y = "top",
  table.theme = NULL,
  table.rownames = FALSE,
  table.colnames = TRUE,
  table.hjust = 1,
  parse = FALSE,
  na.rm = FALSE,
  show.legend = FALSE,
  inherit.aes = TRUE
)

Arguments

mapping

The aesthetic mapping, usually constructed with aes. Only needs to be set at the layer level if you are overriding the plot defaults.

data

A layer specific dataset, only needed if you want to override the plot defaults.

geom

The geometric object to use display the data

position

The position adjustment to use for overlapping points on this layer

...

other arguments passed on to layer. This can include aesthetics whose values you want to set, not map. See layer for more details.

method

character.

method.args, tidy.args

lists of arguments to pass to method and to tidy().

n.min

integer Minimum number of distinct values in the explanatory variable (on the rhs of formula) for fitting to the attempted.

tb.type

character One of "fit.summary", "fit.anova" or "fit.coefs".

tb.vars, tb.params

character or numeric vectors, optionally named, used to select and/or rename the columns or the parameters in the table returned.

digits

integer indicating the number of significant digits to be used for all numeric values in the table.

p.digits

integer indicating the number of decimal places to round p-values to, with those rounded to zero displayed as the next larger possible value preceded by "<". If p.digits is outside the range 1..22 no rounding takes place.

label.x, label.y

numeric Coordinates in data units or with range 0..1, expressed in "normalized parent coordinates" or as character strings depending on the geometry used. If too short they will be recycled. They set the x and y coordinates at the after_stat stage.

table.theme

NULL, list or function A 'gridExtra' ttheme definition, or a constructor for a ttheme or NULL for default.

table.rownames, table.colnames

logical flag to enable or disabling printing of row names and column names.

table.hjust

numeric Horizontal justification for the core and column headings of the table.

parse

If TRUE, the labels will be parsed into expressions and displayed as described in ?plotmath.

na.rm

a logical indicating whether NA values should be stripped before the computation proceeds.

show.legend

logical. Should this layer be included in the legends? NA, the default, includes if any aesthetics are mapped. FALSE never includes, and TRUE always includes.

inherit.aes

If FALSE, overrides the default aesthetics, rather than combining with them. This is most useful for helper functions that define both data and aesthetics and shouldn't inherit behaviour from the default plot specification, e.g. borders.

Value

A tibble with columns named fm.tb (a tibble returned by tidy() with possibly renamed and subset columns and rows, within a list), fm.tb.type (copy of argument passed to tb.type), fm.class (the class of the fitted model object), fm.method (the fit function's name), fm.call (the call if available), x and y.

To explore the values returned by this statistic, which vary depending on the model fitting function and model formula we suggest the use of geom_debug.

Details

stat_fit_tb() Applies a model fitting function per panel, using the grouping factors from aesthetic mappings in the fitted model. This is suitable, for example for analysis of variance used to test for differences among groups.

The argument to method can be any fit method for which a suitable tidy() method is available, including non-linear regression. Fit methods retain their default arguments unless overridden.

A ggplot statistic receives as data a data frame that is not the one passed as argument by the user, but instead a data frame with the variables mapped to aesthetics. In other words, it respects the grammar of graphics and consequently within arguments passed through method.args names of aesthetics like \(x\) and \(y\) should be used instead of the original variable names. The plot's default data is used by default, which helps ensure that the model is fitted to the same data as plotted in other layers.

Computed variables

The output of tidy() is returned as a single "cell" in a tibble (i.e., a tibble nested within a tibble). The returned data object contains a single tibble, containing the result from a single model fit to all data in a panel. If grouping is present, it is ignored in the sense of returning a single table, but the grouping aesthetic can be a term in the fitted model.

See also

broom, broom.mixed, and tidy for details on how the tidying of the result of model fits is done. See geom_table for details on how inset tables respond to mapped aesthetics and table themes. For details on predefined table themes see ttheme_gtdefault.

Other ggplot statistics for model fits: stat_fit_augment(), stat_fit_deviations(), stat_fit_glance(), stat_fit_residuals(), stat_fit_tidy()

Examples

# Package 'broom' needs to be installed to run these examples.
# We check availability before running them to avoid errors.
broom.installed <- requireNamespace("broom", quietly = TRUE)

if (broom.installed)
  library(broom)

# data for examples
  x <- c(44.4, 45.9, 41.9, 53.3, 44.7, 44.1, 50.7, 45.2, 60.1)
  covariate <- sqrt(x) + rnorm(9)
  group <- factor(c(rep("A", 4), rep("B", 5)))
  my.df <- data.frame(x, group, covariate)

gginnards.installed  <- requireNamespace("gginnards", quietly = TRUE)

if (gginnards.installed)
  library(gginnards)

## covariate is a numeric or continuous variable
# Linear regression fit summary, all defaults
if (broom.installed)
  ggplot(my.df, aes(covariate, x)) +
    geom_point() +
    stat_fit_tb() +
    expand_limits(y = 70)


# we can use geom_debug() and str() to inspect the returned value
# and discover the variables that can be mapped to aesthetics with
# after_stat()
if (broom.installed && gginnards.installed)
  ggplot(my.df, aes(covariate, x)) +
    geom_point() +
    stat_fit_tb(geom = "debug", summary.fun = str) +
    expand_limits(y = 70)
#> Warning: Ignoring unknown parameters: `table.theme`, `table.rownames`, `table.colnames`,
#> `table.hjust`, `parse`, and `summary.fun`

#> [1] "PANEL 1; group(s) NULL; 'draw_function()' input 'data' (head):"
#>                                                             label PANEL
#> 1 (Intercept), x, 32.7, 2.11, 12.6, 1.74, 2.6, 1.22, 0.035, 0.264     1
#>          x  y                                                           fm.tb
#> 1 7.129285 70 (Intercept), x, 32.7, 2.11, 12.6, 1.74, 2.6, 1.22, 0.035, 0.264
#>    fm.tb.type fm.class fm.method fm.formula fm.formula.chr npcx npcy
#> 1 fit.summary       lm        lm      y ~ x          y ~ x   NA   NA

# Linear regression fit summary, with default formatting
if (broom.installed)
  ggplot(my.df, aes(covariate, x)) +
    geom_point() +
    stat_fit_tb(tb.type = "fit.summary") +
    expand_limits(y = 70)


# Linear regression fit summary, with manual table formatting
if (broom.installed)
  ggplot(my.df, aes(covariate, x)) +
    geom_point() +
    stat_fit_tb(digits = 2,
                p.digits = 4,
                tb.params = c("intercept" = 1, "covariate" = 2),
                tb.vars = c(Term = 1, Estimate = 2,
                            "italic(s)" = 3, "italic(t)" = 4,
                            "italic(P)" = 5),
                parse = TRUE) +
    expand_limits(y = 70)


# Linear regression ANOVA table, with default formatting
if (broom.installed)
  ggplot(my.df, aes(covariate, x)) +
    geom_point() +
    stat_fit_tb(tb.type = "fit.anova") +
    expand_limits(y = 70)


# Linear regression ANOVA table, with manual table formatting
if (broom.installed)
  ggplot(my.df, aes(covariate, x)) +
    geom_point() +
    stat_fit_tb(tb.type = "fit.anova",
                tb.params = c("Covariate" = 1, 2),
                tb.vars = c(Effect = 1, d.f. = 2,
                            "M.S." = 4, "italic(F)" = 5,
                            "italic(P)" = 6),
                parse = TRUE) +
    expand_limits(y = 67)


# Linear regression fit coeficients, with default formatting
if (broom.installed)
  ggplot(my.df, aes(covariate, x)) +
    geom_point() +
    stat_fit_tb(tb.type = "fit.coefs") +
    expand_limits(y = 67)


# Linear regression fit coeficients, with manual table formatting
if (broom.installed)
  ggplot(my.df, aes(covariate, x)) +
    geom_point() +
    stat_fit_tb(tb.type = "fit.coefs",
                tb.params = c(a = 1, b = 2),
                tb.vars = c(Term = 1, Estimate = 2)) +
    expand_limits(y = 67)


## x is also a numeric or continuous variable
# Polynomial regression, with default formatting
if (broom.installed)
  ggplot(my.df, aes(covariate, x)) +
    geom_point() +
    stat_fit_tb(method.args = list(formula = y ~ poly(x, 2))) +
    expand_limits(y = 70)


# Polynomial regression, with manual table formatting
if (broom.installed)
  ggplot(my.df, aes(covariate, x)) +
    geom_point() +
    stat_fit_tb(method.args = list(formula = y ~ poly(x, 2)),
                tb.params = c("x^0" = 1, "x^1" = 2, "x^2" = 3),
                tb.vars = c("Term" = 1, "Estimate" = 2, "S.E." = 3,
                            "italic(t)" = 4, "italic(P)" = 5),
                parse = TRUE) +
    expand_limits(y = 70)


## group is a factor or discrete variable
# ANOVA summary, with default formatting
if (broom.installed)
  ggplot(my.df, aes(group, x)) +
    geom_point() +
    stat_fit_tb() +
    expand_limits(y = 70)


# ANOVA table, with default formatting
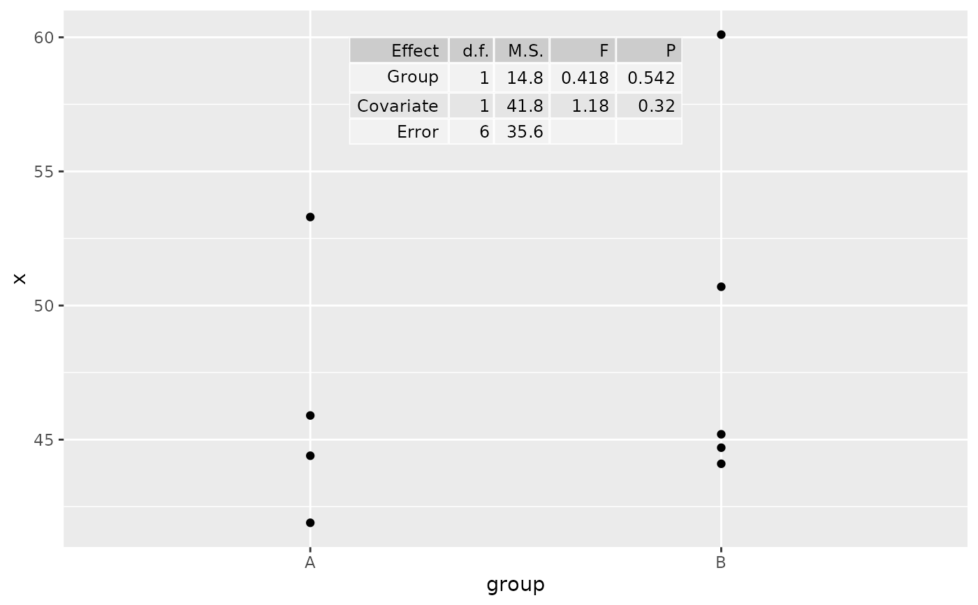
if (broom.installed)
  ggplot(my.df, aes(group, x)) +
    geom_point() +
    stat_fit_tb(tb.type = "fit.anova") +
    expand_limits(y = 70)


# ANOVA table, with manual table formatting
if (broom.installed)
  ggplot(my.df, aes(group, x)) +
    geom_point() +
    stat_fit_tb(tb.type = "fit.anova",
                tb.vars = c(Effect = "term", "df", "italic(F)" = "statistic",
                            "italic(P)" = "p.value"),
                tb.params = c(Group = 1, Error = 2),
                parse = TRUE)


# ANOVA table, with manual table formatting
# using column names with partial matching
if (broom.installed)
  ggplot(my.df, aes(group, x)) +
    geom_point() +
    stat_fit_tb(tb.type = "fit.anova",
                tb.vars = c(Effect = "term", "df", "italic(F)" = "stat",
                            "italic(P)" = "p"),
                tb.params = c(Group = "x", Error = "Resid"),
                parse = TRUE)


# ANOVA summary, with default formatting
if (broom.installed)
  ggplot(my.df, aes(group, x)) +
    geom_point() +
    stat_fit_tb() +
    expand_limits(y = 70)


## covariate is a numeric variable and group is a factor
# ANCOVA (covariate not plotted) ANOVA table, with default formatting
if (broom.installed)
  ggplot(my.df, aes(group, x, z = covariate)) +
    geom_point() +
    stat_fit_tb(tb.type = "fit.anova",
                method.args = list(formula = y ~ x + z))


# ANCOVA (covariate not plotted) ANOVA table, with manual table formatting
if (broom.installed)
  ggplot(my.df, aes(group, x, z = covariate)) +
    geom_point() +
    stat_fit_tb(tb.type = "fit.anova",
                method.args = list(formula = y ~ x + z),
                tb.vars = c(Effect = 1, d.f. = 2,
                            "M.S." = 4, "italic(F)" = 5,
                            "italic(P)" = 6),
                tb.params = c(Group = 1,
                              Covariate = 2,
                              Error = 3),
                parse = TRUE)


## group is a factor or discrete variable
# t-test, minimal output, with manual table formatting
if (broom.installed)
  ggplot(my.df, aes(group, x)) +
    geom_point() +
    stat_fit_tb(method = "t.test",
              tb.vars = c("italic(t)" = "statistic",
                          "italic(P)" = "p.value"),
              parse = TRUE)
#> Dropping param names from table!
#> 'formula' extracted from arguments


# t-test, more detailed output, with manual table formatting
if (broom.installed)
  ggplot(my.df, aes(group, x)) +
    geom_point() +
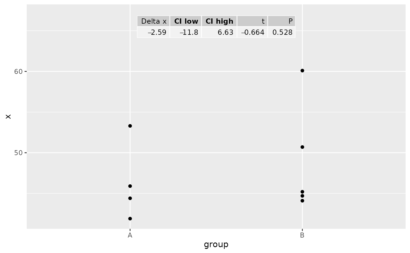
    stat_fit_tb(method = "t.test",
              tb.vars = c("\"Delta \"*italic(x)" = "estimate",
                          "CI low" = "conf.low", "CI high" = "conf.high",
                          "italic(t)" = "statistic",
                          "italic(P)" = "p.value"),
              parse = TRUE) +
    expand_limits(y = 67)
#> 'formula' extracted from arguments


# t-test (equal variances assumed), minimal output, with manual
# table formatting
if (broom.installed)
  ggplot(my.df, aes(group, x)) +
    geom_point() +
    stat_fit_tb(method = "t.test",
                method.args = list(formula = y ~ x, var.equal = TRUE),
                tb.vars = c("italic(t)" = "statistic",
                            "italic(P)" = "p.value"),
                parse = TRUE)
#> Dropping param names from table!
#> 'formula' extracted from arguments


## covariate is a numeric or continuous variable
# Linear regression using a table theme and non-default position
if (broom.installed)
  ggplot(my.df, aes(covariate, x)) +
    geom_point() +
    stat_fit_tb(table.theme = ttheme_gtlight,
                npcx = "left", npcy = "bottom") +
    expand_limits(y = 35)