R/position-dodge.R, R/position-dodge2.R
position_dodge.RdDodging preserves the vertical position of an geom while adjusting the
horizontal position. position_dodge() requires the grouping variable to be
be specified in the global or geom_* layer. Unlike position_dodge(),
position_dodge2() works without a grouping variable in a layer.
position_dodge2() works with bars and rectangles, but is
particularly useful for arranging box plots, which
can have variable widths.
position_dodge(
width = NULL,
preserve = "total",
orientation = "x",
reverse = FALSE
)
position_dodge2(
width = NULL,
preserve = "total",
padding = 0.1,
reverse = FALSE
)Dodging width, when different to the width of the individual elements. This is useful when you want to align narrow geoms with wider geoms. See the examples.
Should dodging preserve the "total" width of all elements
at a position, or the width of a "single" element?
Fallback orientation when the layer or the data does not
indicate an explicit orientation, like geom_point(). Can be "x"
(default) or "y".
If TRUE, will reverse the default stacking order.
This is useful if you're rotating both the plot and legend.
Padding between elements at the same position. Elements are shrunk by this proportion to allow space between them. Defaults to 0.1.
Other position adjustments:
position_identity(),
position_jitter(),
position_jitterdodge(),
position_nudge(),
position_stack()
position_dodge() understands the following aesthetics. Required aesthetics are displayed in bold and defaults are displayed for optional aesthetics:
| • | order | → NULL |
Learn more about setting these aesthetics in vignette("ggplot2-specs").
ggplot(mtcars, aes(factor(cyl), fill = factor(vs))) +
geom_bar(position = "dodge2")
# By default, dodging with `position_dodge2()` preserves the total width of
# the elements. You can choose to preserve the width of each element with:
ggplot(mtcars, aes(factor(cyl), fill = factor(vs))) +
geom_bar(position = position_dodge2(preserve = "single"))
# \donttest{
ggplot(diamonds, aes(price, fill = cut)) +
geom_histogram(position="dodge2")
#> `stat_bin()` using `bins = 30`. Pick better value `binwidth`.
# see ?geom_bar for more examples
# In this case a frequency polygon is probably a better choice
ggplot(diamonds, aes(price, colour = cut)) +
geom_freqpoly()
#> `stat_bin()` using `bins = 30`. Pick better value `binwidth`.
# }
# Dodging with various widths -------------------------------------
# To dodge items with different widths, you need to be explicit
df <- data.frame(
x = c("a","a","b","b"),
y = 2:5,
g = rep(1:2, 2)
)
p <- ggplot(df, aes(x, y, group = g)) +
geom_col(position = "dodge", fill = "grey50", colour = "black")
p
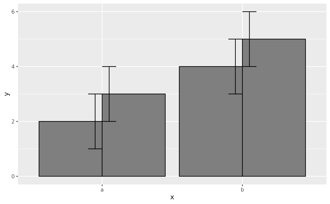
# A line range has no width:
p + geom_linerange(aes(ymin = y - 1, ymax = y + 1), position = "dodge")
#> Warning: Width not defined
#> ℹ Set with `position_dodge(width = ...)`
# So you must explicitly specify the width
p + geom_linerange(
aes(ymin = y - 1, ymax = y + 1),
position = position_dodge(width = 0.9)
)
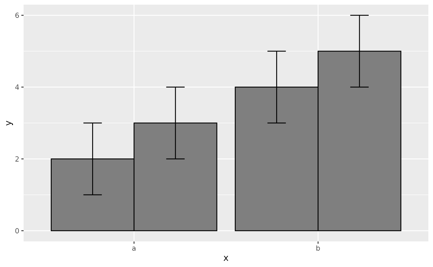
# The same principle applies to error bars, which are usually
# narrower than the bars
p + geom_errorbar(
aes(ymin = y - 1, ymax = y + 1),
width = 0.2,
position = "dodge"
)
p + geom_errorbar(
aes(ymin = y - 1, ymax = y + 1),
width = 0.2,
position = position_dodge(width = 0.9)
)
# Box plots use position_dodge2 by default, and bars can use it too
ggplot(mpg, aes(factor(year), displ)) +
geom_boxplot(aes(colour = hwy < 30))
ggplot(mpg, aes(factor(year), displ)) +
geom_boxplot(aes(colour = hwy < 30), varwidth = TRUE)
ggplot(mtcars, aes(factor(cyl), fill = factor(vs))) +
geom_bar(position = position_dodge2(preserve = "single"))
ggplot(mtcars, aes(factor(cyl), fill = factor(vs))) +
geom_bar(position = position_dodge2(preserve = "total"))