This vignette documents the official extension mechanism provided in
ggplot2 2.0.0. This vignette is a high-level adjunct to the low-level
details found in ?Stat, ?Geom and
?theme. You’ll learn how to extend ggplot2 by creating a
new stat, geom, or theme.
As you read this document, you’ll see many things that will make you scratch your head and wonder why on earth is it designed this way? Mostly it’s historical accident - I wasn’t a terribly good R programmer when I started writing ggplot2 and I made a lot of questionable decisions. We cleaned up as many of those issues as possible in the 2.0.0 release, but some fixes simply weren’t worth the effort.
All ggplot2 objects are built using the ggproto system of object oriented programming. This OO system is used only in one place: ggplot2. This is mostly historical accident: ggplot2 started off using proto because I needed mutable objects. This was well before the creation of (the briefly lived) mutatr, reference classes and R6: proto was the only game in town.
But why ggproto? Well when we turned to add an official extension mechanism to ggplot2, we found a major problem that caused problems when proto objects were extended in a different package (methods were evaluated in ggplot2, not the package where the extension was added). We tried converting to R6, but it was a poor fit for the needs of ggplot2. We could’ve modified proto, but that would’ve first involved understanding exactly how proto worked, and secondly making sure that the changes didn’t affect other users of proto.
It’s strange to say, but this is a case where inventing a new OO system was actually the right answer to the problem! Fortunately Winston is now very good at creating OO systems, so it only took him a day to come up with ggproto: it maintains all the features of proto that ggplot2 needs, while allowing cross package inheritance to work.
Here’s a quick demo of ggproto in action:
A <- ggproto("A", NULL,
x = 1,
inc = function(self) {
self$x <- self$x + 1
}
)
A$x
#> [1] 1
A$inc()
A$x
#> [1] 2
A$inc()
A$inc()
A$x
#> [1] 4The majority of ggplot2 classes are immutable and static: the methods neither use nor modify state in the class. They’re mostly used as a convenient way of bundling related methods together.
When you create new functionality, like a new geom or stat, the first
decision to make is whether you want to build these from scratch or you
want to re-use parts of pre-exiting classes. To create a new geom or
stat from scratch, you will just create a new ggproto object that
inherits from Stat or Geom and override the
methods described below.
Stats are an important part of layers: they instruct what is
displayed, not how it is displayed. They are declared in the
layer(stat) argument which has a correspondence to
Stat* ggproto classes which all inherit from the root
Stat class.
We’ll start by creating a very simple stat: one that gives the convex
hull (the c hull) of a set of points. First we create a new
ggproto object that inherits from Stat:
StatChull <- ggproto("StatChull", Stat,
compute_group = function(data, scales) {
data[chull(data$x, data$y), , drop = FALSE]
},
required_aes = c("x", "y")
)The two most important components are the
compute_group() method (which does the computation), and
the required_aes field, which lists which aesthetics must
be present in order for the stat to work.
Next we write a layer function. Unfortunately, due to an early design
mistake I called these either stat_() or
geom_(). A better decision would have been to call them
layer_() functions: that’s a more accurate description
because every layer involves a stat and a geom. Currently it is
the convention to have stat_() wrappers with fixed
layer(stat) arguments and geom_() wrappers
with fixed layer(geom) arguments. The stat_()
and geom_() functions both have the same ingredients and
cook up new layers.
All layer functions follow the same form - you specify defaults in
the function arguments and then call the layer() function,
sending ... into the params argument. The
arguments in ... will either be arguments for the geom (if
you’re making a stat wrapper), arguments for the stat (if you’re making
a geom wrapper), or aesthetics to be set. layer() takes
care of teasing the different parameters apart and making sure they’re
stored in the right place.
stat_chull <- function(mapping = NULL, data = NULL, geom = "polygon",
position = "identity", na.rm = FALSE, show.legend = NA,
inherit.aes = TRUE, ...) {
layer(
stat = StatChull, data = data, mapping = mapping, geom = geom,
position = position, show.legend = show.legend, inherit.aes = inherit.aes,
params = list(na.rm = na.rm, ...)
)
}(Note that if you’re writing this in your own package, you’ll either
need to call ggplot2::layer() explicitly, or import the
layer() function into your package namespace.)
If you have standard expectations of a constructor with no side
effects (e.g. checking arguments), you can also use the
make_constructor() function to build one for you. There is
no sensible default geom for a stat, so you have to set the default one
yourself.
stat_chull <- make_constructor(StatChull, geom = "polygon")
print(stat_chull)
#> function (mapping = NULL, data = NULL, geom = "polygon", position = "identity",
#> ..., na.rm = FALSE, show.legend = NA, inherit.aes = TRUE)
#> {
#> layer(mapping = mapping, data = data, geom = geom, stat = "chull",
#> position = position, show.legend = show.legend, inherit.aes = inherit.aes,
#> params = list2(na.rm = na.rm, ...))
#> }
#> <environment: 0x563f7d08fa38>Once we have a layer function we can try our new stat:
ggplot(mpg, aes(displ, hwy)) +
geom_point() +
stat_chull(fill = NA, colour = "black")
(We’ll see later how to change the defaults of the geom so that you
don’t need to specify fill = NA every time.)
Once we’ve written this basic object, ggplot2 gives a lot for free. For example, ggplot2 automatically preserves aesthetics that are constant within each group:
ggplot(mpg, aes(displ, hwy, colour = drv)) +
geom_point() +
stat_chull(fill = NA)
We can also override the default geom to display the convex hull in a different way:
ggplot(mpg, aes(displ, hwy)) +
stat_chull(geom = "point", size = 4, colour = "red") +
geom_point()
A more complex stat will do some computation. Let’s implement a
simple version of geom_smooth() that adds a line of best
fit to a plot. We create a StatLm that inherits from
Stat and a layer function, stat_lm():
StatLm <- ggproto("StatLm", Stat,
required_aes = c("x", "y"),
compute_group = function(data, scales) {
rng <- range(data$x, na.rm = TRUE)
grid <- data.frame(x = rng)
mod <- lm(y ~ x, data = data)
grid$y <- predict(mod, newdata = grid)
grid
}
)
stat_lm <- make_constructor(StatLm, geom = "line")
ggplot(mpg, aes(displ, hwy)) +
geom_point() +
stat_lm()
StatLm is inflexible because it has no parameters. We
might want to allow the user to control the model formula and the number
of points used to generate the grid. To do so, we add arguments to the
compute_group() method which will get picked up by
make_constructor().
StatLm <- ggproto("StatLm", Stat,
required_aes = c("x", "y"),
compute_group = function(data, scales, params = list(), n = 100, formula = y ~ x) {
rng <- range(data$x, na.rm = TRUE)
grid <- data.frame(x = seq(rng[1], rng[2], length = n))
mod <- lm(formula, data = data)
grid$y <- predict(mod, newdata = grid)
grid
}
)
stat_lm <- make_constructor(StatLm, geom = "line")
ggplot(mpg, aes(displ, hwy)) +
geom_point() +
stat_lm(formula = y ~ poly(x, 10)) +
stat_lm(formula = y ~ poly(x, 10), geom = "point", colour = "red", n = 20)
If you’re defining a constructor function yourself, it is good
practise to add the parameters as arguments. We don’t have to
explicitly include the new parameters in the arguments for the layer,
... will get passed to the right place anyway. But you’ll
need to document them somewhere so the user knows about them. Here’s a
brief example. Note @inheritParams ggplot2::stat_identity:
that will automatically inherit documentation for all the parameters
also defined for stat_identity().
#' @export
#' @inheritParams ggplot2::stat_identity
#' @param formula The modelling formula passed to \code{lm}. Should only
#' involve \code{y} and \code{x}
#' @param n Number of points used for interpolation.
stat_lm <- function(mapping = NULL, data = NULL, geom = "line",
position = "identity", na.rm = FALSE, show.legend = NA,
inherit.aes = TRUE, n = 50, formula = y ~ x,
...) {
layer(
stat = StatLm, data = data, mapping = mapping, geom = geom,
position = position, show.legend = show.legend, inherit.aes = inherit.aes,
params = list(n = n, formula = formula, na.rm = na.rm, ...)
)
}stat_lm() must be exported if you want other people to
use it. You could also consider exporting StatLm if you
want people to extend the underlying object; this should be done with
care.
Sometimes you have calculations that should be performed once for the
complete dataset, not once for each group. This is useful for picking
sensible default values. For example, if we want to do a density
estimate, it’s reasonable to pick one bandwidth for the whole plot. The
following Stat creates a variation of the stat_density()
that picks one bandwidth for all groups by choosing the mean of the
“best” bandwidth for each group (I have no theoretical justification for
this, but it doesn’t seem unreasonable).
To do this we override the setup_params() method. It’s
passed the data and a list of params, and returns an updated list.
StatDensityCommon <- ggproto("StatDensityCommon", Stat,
required_aes = "x",
setup_params = function(data, params) {
if (!is.null(params$bandwidth))
return(params)
xs <- split(data$x, data$group)
bws <- vapply(xs, bw.nrd0, numeric(1))
bw <- mean(bws)
message("Picking bandwidth of ", signif(bw, 3))
params$bandwidth <- bw
params
},
compute_group = function(data, scales, bandwidth = 1) {
d <- density(data$x, bw = bandwidth)
data.frame(x = d$x, y = d$y)
}
)
stat_density_common <- make_constructor(StatDensityCommon, geom = "line")
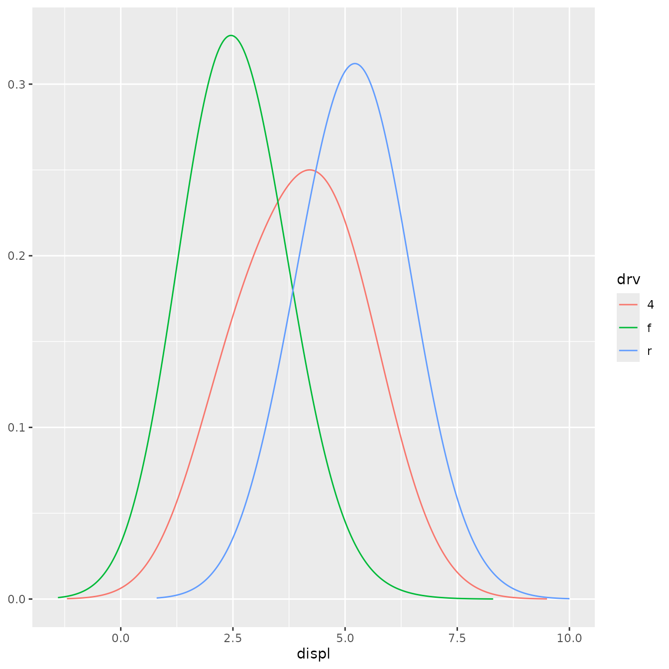
ggplot(mpg, aes(displ, colour = drv)) +
stat_density_common()

I recommend using NULL as a default value. If you pick
important parameters automatically, it’s a good idea to
message() to the user (and when printing a floating point
parameter, using signif() to show only a few significant
digits).
This stat illustrates another important point. If we want to make
this stat usable with other geoms, we should return a variable called
density instead of y. Then we can set up the
default_aes to automatically map density to
y, which allows the user to override it to use with
different geoms:
StatDensityCommon <- ggproto("StatDensity2", Stat,
required_aes = "x",
default_aes = aes(y = after_stat(density)),
compute_group = function(data, scales, bandwidth = 1) {
d <- density(data$x, bw = bandwidth)
data.frame(x = d$x, density = d$y)
}
)
ggplot(mpg, aes(displ, drv, colour = after_stat(density))) +
stat_density_common(bandwidth = 1, geom = "point")
However, using this stat with the area geom doesn’t work quite right. The areas don’t stack on top of each other:
ggplot(mpg, aes(displ, fill = drv)) +
stat_density_common(bandwidth = 1, geom = "area", position = "stack")
This is because each density is computed independently, and the
estimated xs don’t line up. We can resolve that issue by
computing the range of the data once in setup_params().
StatDensityCommon <- ggproto("StatDensityCommon", Stat,
required_aes = "x",
default_aes = aes(y = after_stat(density)),
setup_params = function(data, params) {
min <- min(data$x) - 3 * params$bandwidth
max <- max(data$x) + 3 * params$bandwidth
list(
bandwidth = params$bandwidth,
min = min,
max = max,
na.rm = params$na.rm
)
},
compute_group = function(data, scales, min, max, bandwidth = 1) {
d <- density(data$x, bw = bandwidth, from = min, to = max)
data.frame(x = d$x, density = d$y)
}
)
ggplot(mpg, aes(displ, fill = drv)) +
stat_density_common(bandwidth = 1, geom = "area", position = "stack")
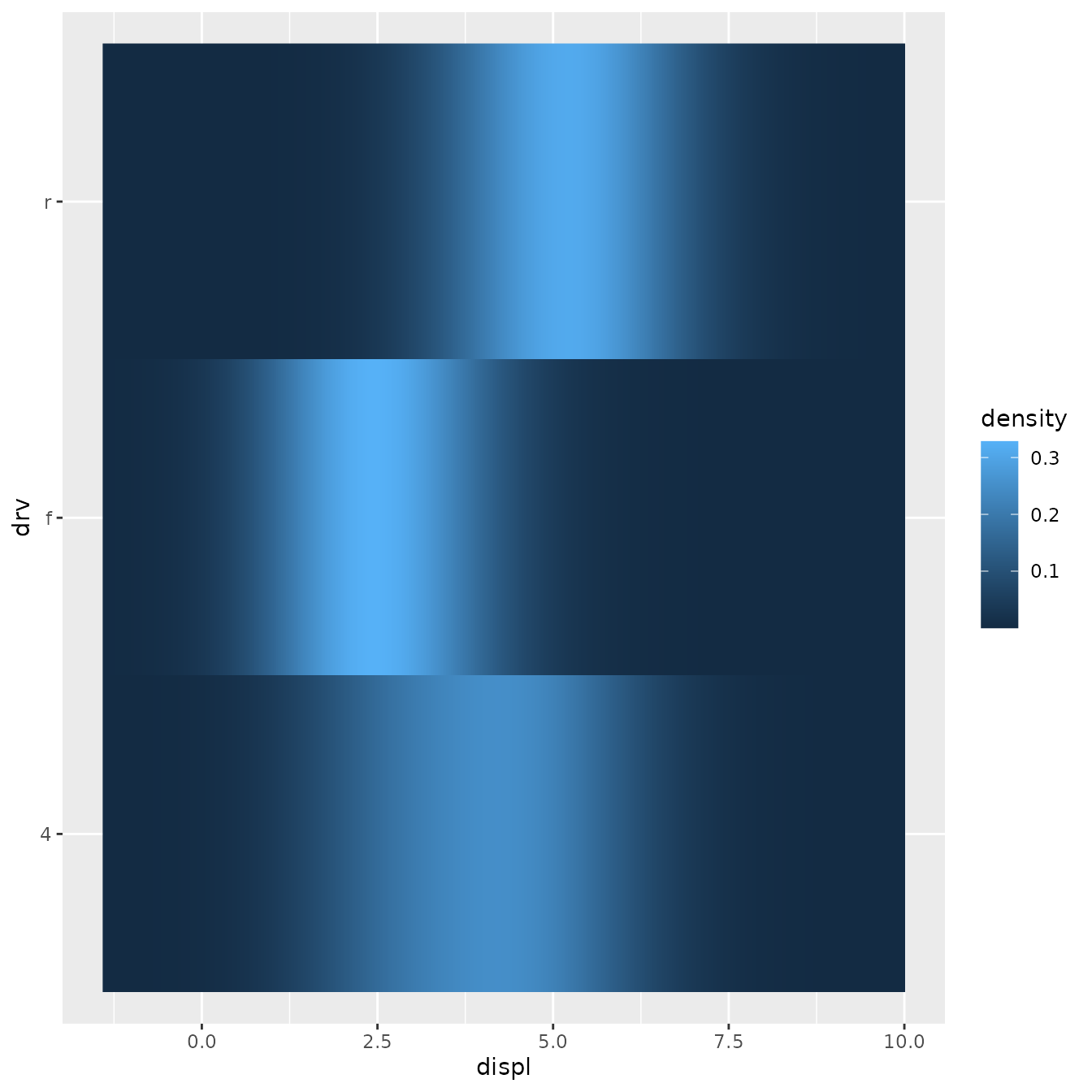
ggplot(mpg, aes(displ, drv, fill = after_stat(density))) +
stat_density_common(bandwidth = 1, geom = "raster")
Extend stat_chull to compute the alpha hull, as from
the alphahull
package. Your new stat should take an alpha
argument.
Modify the final version of StatDensityCommon to
allow the user to specify the min and max
parameters. You’ll need to modify both the layer function and the
compute_group() method.
Note: be careful when adding parameters to a layer function. The
following names col, color, pch,
cex, lty, lwd, srt, adj,
bg, fg, min, and max are
intentionally renamed to accommodate base graphical parameter names. For
example, a value passed as min to a layer appears as
ymin in the setup_params list of params. It is
recommended you avoid using these names for layer parameters.
Compare and contrast StatLm to
ggplot2::StatSmooth. What key differences make
StatSmooth more complex than StatLm?
Geoms are also important parts of layers: they instruct how data is
displayed. They are declared in the layer(geom) argument
which has a correspondence to Geom* ggproto classes which
all inherit from the root Geom class.
It’s harder to create a new geom than a new stat because you also need to know some grid. ggplot2 is built on top of grid, so you’ll need to know the basics of drawing with grid. If you’re serious about adding a new geom, I’d recommend buying R graphics by Paul Murrell. It tells you everything you need to know about drawing with grid.
It’s easiest to start with a simple example. The code below is a
simplified version of geom_point():
GeomSimplePoint <- ggproto("GeomSimplePoint", Geom,
required_aes = c("x", "y"),
default_aes = aes(shape = 19, colour = "black"),
draw_key = draw_key_point,
draw_panel = function(data, panel_params, coord) {
coords <- coord$transform(data, panel_params)
grid::pointsGrob(
coords$x, coords$y,
pch = coords$shape,
gp = grid::gpar(col = coords$colour)
)
}
)
# Default stat is `stat_identity()`, no need to specify
geom_simple_point <- make_constructor(GeomSimplePoint)
ggplot(mpg, aes(displ, hwy)) +
geom_simple_point()
This is very similar to defining a new stat. You always need to provide fields/methods for the four pieces shown above:
required_aes is a character vector which lists all
the aesthetics that the user must provide.
default_aes lists the aesthetics that have default
values.
draw_key provides the function used to draw the key
in the legend. You can see a list of all the build in key functions in
?draw_key
draw_panel() is where the magic happens. This
function takes three arguments and returns a grid grob. It is called
once for each panel. It’s the most complicated part and is described in
more detail below.
draw_panel() has three arguments:
data: a data frame with one column for each
aesthetic.
panel_params: a list of per-panel parameters
generated by the coord. You should consider this an opaque data
structure: don’t look inside it, just pass along to coord
methods.
coord: an object describing the coordinate
system.
You need to use panel_params and coord
together to transform the data
coords <- coord$transform(data, panel_params). This
creates a data frame where position variables are scaled to the range
0–1. You then take this data and call a grid grob function.
(Transforming for non-Cartesian coordinate systems is quite complex -
you’re best off transforming your data to the form accepted by an
existing ggplot2 geom and passing it.)
Overriding draw_panel() is most appropriate if there is
one graphic element per row. In other cases, you want graphic element
per group. For example, take polygons: each row gives one vertex of a
polygon. In this case, you should instead override
draw_group().
The following code makes a simplified version of
GeomPolygon:
GeomSimplePolygon <- ggproto("GeomPolygon", Geom,
required_aes = c("x", "y"),
default_aes = aes(
colour = NA, fill = "grey20", linewidth = 0.5,
linetype = 1, alpha = 1
),
draw_key = draw_key_polygon,
draw_group = function(data, panel_params, coord) {
n <- nrow(data)
if (n <= 2) return(grid::nullGrob())
coords <- coord$transform(data, panel_params)
# A polygon can only have a single colour, fill, etc, so take from first row
first_row <- coords[1, , drop = FALSE]
grid::polygonGrob(
coords$x, coords$y,
default.units = "native",
gp = grid::gpar(
col = first_row$colour,
fill = scales::alpha(first_row$fill, first_row$alpha),
lwd = first_row$linewidth * .pt,
lty = first_row$linetype
)
)
}
)
geom_simple_polygon <- make_constructor(GeomSimplePolygon, stat = "chull")
ggplot(mpg, aes(displ, hwy)) +
geom_point() +
geom_simple_polygon(aes(colour = class), fill = NA)
There are a few things to note here:
We override draw_group() instead of
draw_panel() because we want one polygon per group, not one
polygon per row.
If the data contains two or fewer points, there’s no point trying
to draw a polygon, so we return a nullGrob(). This is the
graphical equivalent of NULL: it’s a grob that doesn’t draw
anything and doesn’t take up any space.
Note the units: x and y should always
be drawn in “native” units. (The default units for
pointGrob() is a native, so we didn’t need to change it
there). lwd is measured in points, but ggplot2 uses mm, so
we need to multiply it by the adjustment factor
.pt.
You might want to compare this to the real GeomPolygon.
You’ll see it overrides draw_panel() because it uses some
tricks to make polygonGrob() produce multiple polygons in
one call. This is considerably more complicated, but gives better
performance.
Sometimes you just want to make a small modification to an existing
geom. In this case, rather than inheriting from Geom you
can inherit from an existing subclass. For example, we might want to
change the defaults for GeomPolygon to work better with
StatChull:
GeomPolygonHollow <- ggproto("GeomPolygonHollow", GeomPolygon,
default_aes = aes(colour = "black", fill = NA, linewidth = 0.5, linetype = 1,
alpha = NA)
)
geom_chull <- make_constructor(GeomPolygonHollow, stat = "chull")
ggplot(mpg, aes(displ, hwy)) +
geom_point() +
geom_chull()
This doesn’t allow you to use different geoms with the stat, but that seems appropriate here since the convex hull is primarily a polygonal feature.
Some layers have a specific orientation. geom_bar()
e.g. have the bars along one axis, geom_line() will sort
the input by one axis, etc. The original approach to using these geoms
in the other orientation was to add coord_flip() to the
plot to switch the position of the x and y axes. Following ggplot2 v3.3
all the geoms will natively work in both orientations without
coord_flip(). The mechanism is that the layer will try to
guess the orientation from the mapped data, or take direction from the
user using the orientation parameter. To replicate this
functionality in new stats and geoms there’s a few steps to take. We
will look at the boxplot layer as an example instead of creating a new
one from scratch.
The actual guessing of orientation will happen in
setup_params() using the has_flipped_aes()
helper:
StatBoxplot$setup_params
#> <ggproto method>
#> <Wrapper function>
#> function (...)
#> setup_params(..., self = self)
#>
#> <Inner function (f)>
#> function (self, data, params)
#> {
#> params$flipped_aes <- has_flipped_aes(data, params, main_is_orthogonal = TRUE,
#> group_has_equal = TRUE, main_is_optional = TRUE)
#> data <- flip_data(data, params$flipped_aes)
#> has_x <- !(is.null(data$x) && is.null(params$x))
#> has_y <- !(is.null(data$y) && is.null(params$y))
#> if (!has_x && !has_y) {
#> cli::cli_abort("{.fn {snake_class(self)}} requires an {.field x} or {.field y} aesthetic.")
#> }
#> params$width <- params$width %||% (resolution(data$x %||%
#> 0, discrete = TRUE) * 0.75)
#> if (!is_mapped_discrete(data$x) && is.double(data$x) && !has_groups(data) &&
#> any(data$x != data$x[1L])) {
#> cli::cli_warn(c("Continuous {.field {flipped_names(params$flipped_aes)$x}} aesthetic",
#> i = "did you forget {.code aes(group = ...)}?"))
#> }
#> params
#> }Following this is a call to flip_data() which will make
sure the data is in horizontal orientation. The rest of the code can
then simply assume that the data is in a specific orientation. The same
thing happens in setup_data():
StatBoxplot$setup_data
#> <ggproto method>
#> <Wrapper function>
#> function (...)
#> setup_data(..., self = self)
#>
#> <Inner function (f)>
#> function (self, data, params)
#> {
#> data <- flip_data(data, params$flipped_aes)
#> data$x <- data$x %||% 0
#> data <- remove_missing(data, na.rm = params$na.rm, vars = "x",
#> name = "stat_boxplot")
#> flip_data(data, params$flipped_aes)
#> }The data is flipped (if needed), manipulated, and flipped back as it is returned.
During the computation, this sandwiching between
flip_data() is used as well, but right before the data is
returned it will also get a flipped_aes column denoting if
the data is flipped or not. This allows the stat to communicate to the
geom that orientation has already been determined.
The setup for geoms is pretty much the same, with a few twists.
has_flipped_aes() is also used in
setup_params(), where it will usually be picked up from the
flipped_aes column given by the stat. In
setup_data() you will often see that
flipped_aes is reassigned, to make sure it exist prior to
position adjustment. This is needed if the geom is used together with a
stat that doesn’t handle orientation (often
stat_identity()):
GeomBoxplot$setup_data
#> <ggproto method>
#> <Wrapper function>
#> function (...)
#> setup_data(..., self = self)
#>
#> <Inner function (f)>
#> function (self, data, params)
#> {
#> data$flipped_aes <- params$flipped_aes
#> data <- flip_data(data, params$flipped_aes)
#> data <- compute_data_size(data, params$width, default = self$default_aes$width,
#> zero = FALSE, discrete = TRUE)
#> if (isFALSE(params$outliers)) {
#> data$outliers <- NULL
#> }
#> if (!is.null(data$outliers)) {
#> suppressWarnings({
#> out_min <- vapply(data$outliers, min, numeric(1))
#> out_max <- vapply(data$outliers, max, numeric(1))
#> })
#> data$ymin_final <- pmin(out_min, data$ymin)
#> data$ymax_final <- pmax(out_max, data$ymax)
#> }
#> if (is.null(params) || is.null(params$varwidth) || !params$varwidth ||
#> is.null(data$relvarwidth)) {
#> data$xmin <- data$x - data$width/2
#> data$xmax <- data$x + data$width/2
#> }
#> else {
#> data$relvarwidth <- data$relvarwidth/max(data$relvarwidth)
#> data$xmin <- data$x - data$relvarwidth * data$width/2
#> data$xmax <- data$x + data$relvarwidth * data$width/2
#> }
#> data$width <- NULL
#> if (!is.null(data$relvarwidth))
#> data$relvarwidth <- NULL
#> flip_data(data, params$flipped_aes)
#> }In the draw_*() method you will once again sandwich any
data manipulation between flip_data() calls. It is
important to make sure that the data is flipped back prior to creating
the grob or calling draw methods from other geoms.
Omnidirectional layers usually have two different sets of required
aesthetics. Which set is used is often how it knows the orientation. To
handle this gracefully the required_aes field of
Stat and Geom classes understands the
| (or) operator. Looking at GeomBoxplot we can
see how it is used:
GeomBoxplot$required_aes
#> [1] "x|y" "lower|xlower" "upper|xupper" "middle|xmiddle"
#> [5] "ymin|xmin" "ymax|xmax"This tells ggplot2 that either all the aesthetics before
| are required or all the aesthetics after are
required.
Some layers will not have a clear interpretation of their data in
terms of orientation. A classic example is geom_line()
which just by convention runs along the x-axis. There is nothing in the
data itself that indicates that. For these geoms the user must indicate
a flipped orientation by setting orientation = "y". The
stat or geom will then call has_flipped_aes() with
ambiguous = TRUE to cancel any guessing based on data
format. As an example we can see the setup_params() method
of GeomLine:
GeomLine$setup_params
#> <ggproto method>
#> <Wrapper function>
#> function (...)
#> setup_params(...)
#>
#> <Inner function (f)>
#> function (data, params)
#> {
#> params$flipped_aes <- has_flipped_aes(data, params, ambiguous = TRUE)
#> params
#> }Themes govern how non-data elements of the plot are displayed. If you’re going to create your own complete theme, there are a few things you need to know:
By default, when you add a new theme element, it inherits values from the existing theme. For example, the following code sets the key colour to red, but it inherits the existing fill colour:
theme_grey()$legend.key
#> NULL
new_theme <- theme_grey() + theme(legend.key = element_rect(colour = "red"))
new_theme$legend.key
#> <ggplot2::element_rect>
#> @ fill : NULL
#> @ colour : chr "red"
#> @ linewidth : NULL
#> @ linetype : NULL
#> @ linejoin : NULL
#> @ inherit.blank: logi FALSETo override it completely, use %+replace% instead of
+:
new_theme <- theme_grey() %+replace% theme(legend.key = element_rect(colour = "red"))
new_theme$legend.key
#> <ggplot2::element_rect>
#> @ fill : NULL
#> @ colour : chr "red"
#> @ linewidth : NULL
#> @ linetype : NULL
#> @ linejoin : NULL
#> @ inherit.blank: logi FALSEThere are four elements that affect the global appearance of the plot:
| Element | Theme function | Description |
|---|---|---|
| line | element_line() |
all line elements |
| rect | element_rect() |
all rectangular elements |
| text | element_text() |
all text |
| title | element_text() |
all text in title elements (plot, axes & legend) |
These set default properties that are inherited by more specific settings. These are most useful for setting an overall “background” colour and overall font settings (e.g. family and size).
df <- data.frame(x = 1:3, y = 1:3)
base <- ggplot(df, aes(x, y)) +
geom_point() +
theme_minimal()
base
base + theme(text = element_text(colour = "red"))
You should generally start creating a theme by modifying these values.
It is useful to understand the difference between complete and
incomplete theme objects. A complete theme object is one
produced by calling a theme function with the attribute
complete = TRUE.
Theme functions theme_grey() and theme_bw()
are examples of complete theme functions. Calls to theme()
produce incomplete theme objects, since they represent (local)
modifications to a theme object rather than returning a complete theme
object per se. When adding an incomplete theme to a complete one, the
result is a complete theme.
Complete and incomplete themes behave somewhat differently when added to a ggplot object:
Adding an incomplete theme augments the current theme object,
replacing only those properties of elements defined in the call to
theme().
Adding a complete theme wipes away the existing theme and applies the new theme.
Facets are a way to draw small multiples of the data in different panels. One of the more daunting exercises in ggplot2 extensions is to create a new faceting system. The reason for this is that when creating new facetings you take on the responsibility of how (almost) everything is drawn on the screen, and many do not have experience with directly using gtable and grid upon which the ggplot2 rendering is built. If you decide to venture into faceting extensions, it is highly recommended to gain proficiency with the above-mentioned packages.
The Facet class in ggplot2 is very powerful as it takes
on responsibility of a wide range of tasks. The main tasks of a
Facet object are:
Define a layout; that is, a partitioning of the data into different plot areas (panels) as well as which panels share position scales.
Map plot data into the correct panels, potentially duplicating
data if it should exist in multiple panels (e.g. margins in
facet_grid()).
Assemble all panels into a final gtable, adding axes, strips and decorations in the process.
Apart from these three tasks, for which functionality must be implemented, there are a couple of additional extension points where sensible defaults have been provided. These can generally be ignored, but adventurous developers can override them for even more control:
Initialization and training of positional scales for each panel.
Decoration in front of and behind each panel.
Drawing of axis labels
To show how a new faceting class is created we will start simple and
go through each of the required methods in turn to build up
facet_duplicate() that simply duplicate our plot into two
panels. After this we will tinker with it a bit to show some of the more
powerful possibilities.
A layout in the context of facets is a data.frame that
defines a mapping between data and the panels it should reside in as
well as which positional scales should be used. The output should at
least contain the columns PANEL, SCALE_X, and
SCALE_Y, but will often contain more to help assign data to
the correct panel (facet_grid() will e.g. also return the
faceting variables associated with each panel). Let’s make a function
that defines a duplicate layout:
layout <- function(data, params) {
data.frame(PANEL = c(1L, 2L), SCALE_X = 1L, SCALE_Y = 1L)
}This is quite simple as the faceting should just define two panels irrespectively of the input data and parameters.
In order for ggplot2 to know which data should go where it needs the
data to be assigned to a panel. The purpose of the mapping step is to
assign a PANEL column to the layer data identifying which
panel it belongs to.
mapping <- function(data, layout, params) {
if (is.null(data) || nrow(data) == 0) {
return(cbind(data, PANEL = integer(0)))
}
rbind(
cbind(data, PANEL = 1L),
cbind(data, PANEL = 2L)
)
}here we first investigate whether we have gotten an empty
data.frame and if not we duplicate the data and assign the
original data to the first panel and the new data to the second
panel.
While the two functions above have been deceivingly simple, this last one is going to take some more work. Our goal is to draw two panels beside (or above) each other with axes etc.
render <- function(panels, layout, x_scales, y_scales, ranges, coord, data,
theme, params) {
# Place panels according to settings
if (params$horizontal) {
# Put panels in matrix and convert to a gtable
panels <- matrix(panels, ncol = 2)
panel_table <- gtable::gtable_matrix("layout", panels,
widths = unit(c(1, 1), "null"), heights = unit(1, "null"), clip = "on")
# Add spacing according to theme
panel_spacing <- calc_element("panel.spacing.x", theme)
panel_table <- gtable::gtable_add_col_space(panel_table, panel_spacing)
} else {
panels <- matrix(panels, ncol = 1)
panel_table <- gtable::gtable_matrix("layout", panels,
widths = unit(1, "null"), heights = unit(c(1, 1), "null"), clip = "on")
panel_spacing <- if (is.null(theme$panel.spacing.y)) {
theme$panel.spacing
} else {
theme$panel.spacing.y
}
panel_table <- gtable::gtable_add_row_space(panel_table, panel_spacing)
}
# Name panel grobs so they can be found later
panel_table$layout$name <- paste0("panel-", c(1, 2))
# Construct the axes
axes <- render_axes(ranges[1], ranges[1], coord, theme,
transpose = TRUE)
# Add axes around each panel
panel_pos_h <- panel_cols(panel_table)$l
panel_pos_v <- panel_rows(panel_table)$t
axis_width_l <- unit(grid::convertWidth(
grid::grobWidth(axes$y$left[[1]]), "cm", TRUE), "cm")
axis_width_r <- unit(grid::convertWidth(
grid::grobWidth(axes$y$right[[1]]), "cm", TRUE), "cm")
## We do it reverse so we don't change the position of panels when we add axes
for (i in rev(panel_pos_h)) {
panel_table <- gtable::gtable_add_cols(panel_table, axis_width_r, i)
panel_table <- gtable::gtable_add_grob(panel_table,
rep(axes$y$right, length(panel_pos_v)), t = panel_pos_v, l = i + 1,
clip = "off")
panel_table <- gtable::gtable_add_cols(panel_table, axis_width_l, i - 1)
panel_table <- gtable::gtable_add_grob(panel_table,
rep(axes$y$left, length(panel_pos_v)), t = panel_pos_v, l = i,
clip = "off")
}
## Recalculate as gtable has changed
panel_pos_h <- panel_cols(panel_table)$l
panel_pos_v <- panel_rows(panel_table)$t
axis_height_t <- unit(grid::convertHeight(
grid::grobHeight(axes$x$top[[1]]), "cm", TRUE), "cm")
axis_height_b <- unit(grid::convertHeight(
grid::grobHeight(axes$x$bottom[[1]]), "cm", TRUE), "cm")
for (i in rev(panel_pos_v)) {
panel_table <- gtable::gtable_add_rows(panel_table, axis_height_b, i)
panel_table <- gtable::gtable_add_grob(panel_table,
rep(axes$x$bottom, length(panel_pos_h)), t = i + 1, l = panel_pos_h,
clip = "off")
panel_table <- gtable::gtable_add_rows(panel_table, axis_height_t, i - 1)
panel_table <- gtable::gtable_add_grob(panel_table,
rep(axes$x$top, length(panel_pos_h)), t = i, l = panel_pos_h,
clip = "off")
}
panel_table
}Usually all methods are defined within the class definition in the
same way as is done for Geom and Stat. Here we
have split it out so we could go through each in turn. All that remains
is to assign our functions to the correct methods as well as making a
constructor
# Constructor: shrink is required to govern whether scales are trained on
# Stat-transformed data or not.
facet_duplicate <- function(horizontal = TRUE, shrink = TRUE) {
ggproto(NULL, FacetDuplicate,
shrink = shrink,
params = list(
horizontal = horizontal
)
)
}
FacetDuplicate <- ggproto("FacetDuplicate", Facet,
compute_layout = layout,
map_data = mapping,
draw_panels = render
)Now with everything assembled, lets test it out:
p <- ggplot(mtcars, aes(x = hp, y = mpg)) + geom_point()
p
p + facet_duplicate()
The example above was pretty useless and we’ll now try to expand on it to add some actual usability. We are going to make a faceting that adds panels with y-transformed axes:
library(scales)
facet_trans <- function(trans, horizontal = TRUE, shrink = TRUE) {
ggproto(NULL, FacetTrans,
shrink = shrink,
params = list(
trans = scales::as.transform(trans),
horizontal = horizontal
)
)
}
FacetTrans <- ggproto("FacetTrans", Facet,
# Almost as before but we want different y-scales for each panel
compute_layout = function(data, params) {
data.frame(PANEL = c(1L, 2L), SCALE_X = 1L, SCALE_Y = c(1L, 2L))
},
# Same as before
map_data = function(data, layout, params) {
if (is.null(data) || nrow(data) == 0) {
return(cbind(data, PANEL = integer(0)))
}
rbind(
cbind(data, PANEL = 1L),
cbind(data, PANEL = 2L)
)
},
# This is new. We create a new scale with the defined transformation
init_scales = function(layout, x_scale = NULL, y_scale = NULL, params) {
scales <- list()
if (!is.null(x_scale)) {
scales$x <- lapply(seq_len(max(layout$SCALE_X)), function(i) x_scale$clone())
}
if (!is.null(y_scale)) {
y_scale_orig <- y_scale$clone()
y_scale_new <- y_scale$clone()
y_scale_new$trans <- params$trans
# Make sure that oob values are kept
y_scale_new$oob <- function(x, ...) x
scales$y <- list(y_scale_orig, y_scale_new)
}
scales
},
# We must make sure that the second scale is trained on transformed data
train_scales = function(x_scales, y_scales, layout, data, params) {
# Transform data for second panel prior to scale training
if (!is.null(y_scales)) {
data <- lapply(data, function(layer_data) {
match_id <- match(layer_data$PANEL, layout$PANEL)
y_vars <- intersect(y_scales[[1]]$aesthetics, names(layer_data))
trans_scale <- layer_data$PANEL == 2L
for (i in y_vars) {
layer_data[trans_scale, i] <- y_scales[[2]]$transform(layer_data[trans_scale, i])
}
layer_data
})
}
Facet$train_scales(x_scales, y_scales, layout, data, params)
},
# this is where we actually modify the data. It cannot be done in $map_data as that function
# doesn't have access to the scales
finish_data = function(data, layout, x_scales, y_scales, params) {
match_id <- match(data$PANEL, layout$PANEL)
y_vars <- intersect(y_scales[[1]]$aesthetics, names(data))
trans_scale <- data$PANEL == 2L
for (i in y_vars) {
data[trans_scale, i] <- y_scales[[2]]$transform(data[trans_scale, i])
}
data
},
# A few changes from before to accommodate that axes are now not duplicate of each other
# We also add a panel strip to annotate the different panels
draw_panels = function(panels, layout, x_scales, y_scales, ranges, coord,
data, theme, params) {
# Place panels according to settings
if (params$horizontal) {
# Put panels in matrix and convert to a gtable
panels <- matrix(panels, ncol = 2)
panel_table <- gtable::gtable_matrix("layout", panels,
widths = unit(c(1, 1), "null"), heights = unit(1, "null"), clip = "on")
# Add spacing according to theme
panel_spacing <- calc_element("panel.spacing.x", theme)
panel_table <- gtable::gtable_add_col_space(panel_table, panel_spacing)
} else {
panels <- matrix(panels, ncol = 1)
panel_table <- gtable::gtable_matrix("layout", panels,
widths = unit(1, "null"), heights = unit(c(1, 1), "null"), clip = "on")
panel_spacing <- calc_element("panel.spacing.y", theme)
panel_table <- gtable::gtable_add_row_space(panel_table, panel_spacing)
}
# Name panel grobs so they can be found later
panel_table$layout$name <- paste0("panel-", c(1, 2))
# Construct the axes
axes <- render_axes(ranges[1], ranges, coord, theme,
transpose = TRUE)
# Add axes around each panel
grobWidths <- function(x) {
unit(vapply(x, function(x) {
grid::convertWidth(
grid::grobWidth(x), "cm", TRUE)
}, numeric(1)), "cm")
}
panel_pos_h <- panel_cols(panel_table)$l
panel_pos_v <- panel_rows(panel_table)$t
axis_width_l <- grobWidths(axes$y$left)
axis_width_r <- grobWidths(axes$y$right)
## We do it reverse so we don't change the position of panels when we add axes
if (params$horizontal) {
for (i in rev(seq_along(panel_pos_h))) {
panel_table <- gtable::gtable_add_cols(panel_table, axis_width_r[i], panel_pos_h[i])
panel_table <- gtable::gtable_add_grob(panel_table,
axes$y$right[i], t = panel_pos_v, l = panel_pos_h[i] + 1,
clip = "off")
panel_table <- gtable::gtable_add_cols(panel_table, axis_width_l[i], panel_pos_h[i] - 1)
panel_table <- gtable::gtable_add_grob(panel_table,
axes$y$left[i], t = panel_pos_v, l = panel_pos_h[i],
clip = "off")
}
} else {
panel_table <- gtable::gtable_add_cols(panel_table, axis_width_r[1], panel_pos_h)
panel_table <- gtable::gtable_add_grob(panel_table,
axes$y$right, t = panel_pos_v, l = panel_pos_h + 1,
clip = "off")
panel_table <- gtable::gtable_add_cols(panel_table, axis_width_l[1], panel_pos_h - 1)
panel_table <- gtable::gtable_add_grob(panel_table,
axes$y$left, t = panel_pos_v, l = panel_pos_h,
clip = "off")
}
## Recalculate as gtable has changed
panel_pos_h <- panel_cols(panel_table)$l
panel_pos_v <- panel_rows(panel_table)$t
axis_height_t <- unit(grid::convertHeight(
grid::grobHeight(axes$x$top[[1]]), "cm", TRUE), "cm")
axis_height_b <- unit(grid::convertHeight(
grid::grobHeight(axes$x$bottom[[1]]), "cm", TRUE), "cm")
for (i in rev(panel_pos_v)) {
panel_table <- gtable::gtable_add_rows(panel_table, axis_height_b, i)
panel_table <- gtable::gtable_add_grob(panel_table,
rep(axes$x$bottom, length(panel_pos_h)), t = i + 1, l = panel_pos_h,
clip = "off")
panel_table <- gtable::gtable_add_rows(panel_table, axis_height_t, i - 1)
panel_table <- gtable::gtable_add_grob(panel_table,
rep(axes$x$top, length(panel_pos_h)), t = i, l = panel_pos_h,
clip = "off")
}
# Add strips
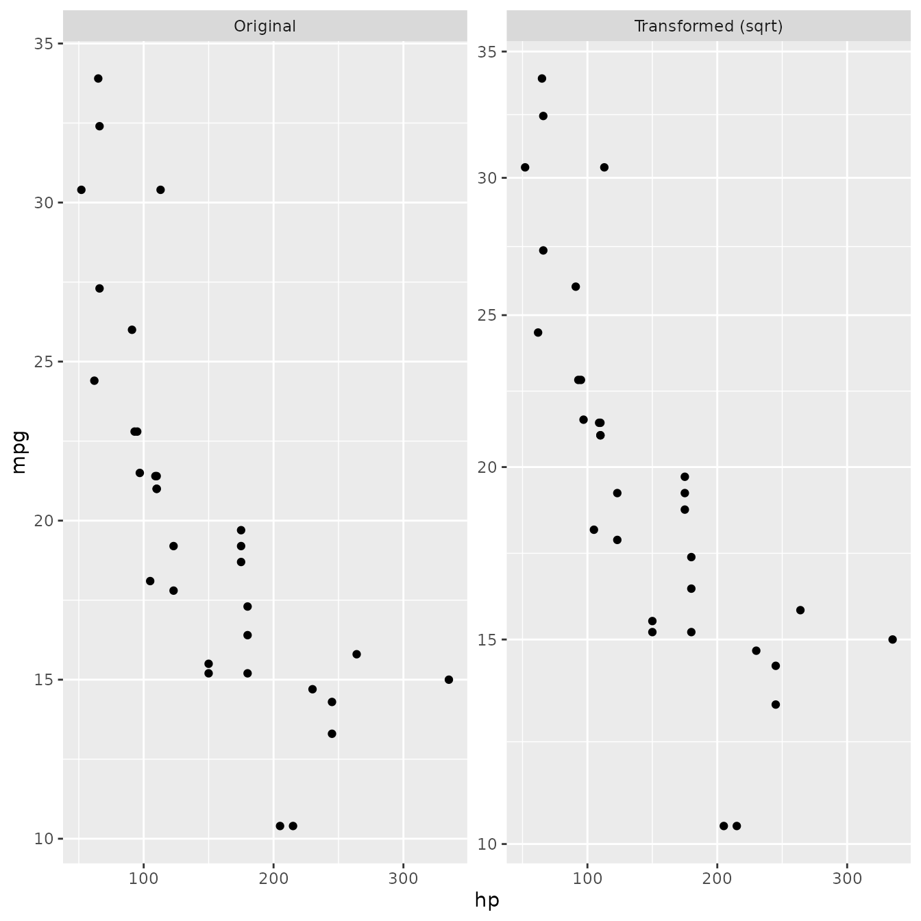
strips <- render_strips(
x = data.frame(name = c("Original", paste0("Transformed (", params$trans$name, ")"))),
labeller = label_value, theme = theme)
panel_pos_h <- panel_cols(panel_table)$l
panel_pos_v <- panel_rows(panel_table)$t
strip_height <- unit(grid::convertHeight(
grid::grobHeight(strips$x$top[[1]]), "cm", TRUE), "cm")
for (i in rev(seq_along(panel_pos_v))) {
panel_table <- gtable::gtable_add_rows(panel_table, strip_height, panel_pos_v[i] - 1)
if (params$horizontal) {
panel_table <- gtable::gtable_add_grob(panel_table, strips$x$top,
t = panel_pos_v[i], l = panel_pos_h, clip = "off")
} else {
panel_table <- gtable::gtable_add_grob(panel_table, strips$x$top[i],
t = panel_pos_v[i], l = panel_pos_h, clip = "off")
}
}
panel_table
}
)As is very apparent, the draw_panel method can become
very unwieldy once it begins to take multiple possibilities into
account. The fact that we want to support both horizontal and vertical
layout leads to a lot of if/else blocks in the above code. In general,
this is the big challenge when writing facet extensions so be prepared
to be very meticulous when writing these methods.
Enough talk - lets see if our new and powerful faceting extension works:
ggplot(mtcars, aes(x = hp, y = mpg)) + geom_point() + facet_trans('sqrt')
As the rendering part of a facet class is often the difficult
development step, it is possible to piggyback on the existing faceting
classes to achieve a range of new facetings. Below we will subclass
facet_wrap() to make a facet_bootstrap() class
that splits the input data into a number of panels at random.
facet_bootstrap <- function(n = 9, prop = 0.2, nrow = NULL, ncol = NULL,
scales = "fixed", shrink = TRUE, strip.position = "top") {
facet <- facet_wrap(~.bootstrap, nrow = nrow, ncol = ncol, scales = scales,
shrink = shrink, strip.position = strip.position)
facet$params$n <- n
facet$params$prop <- prop
ggproto(NULL, FacetBootstrap,
shrink = shrink,
params = facet$params
)
}
FacetBootstrap <- ggproto("FacetBootstrap", FacetWrap,
compute_layout = function(data, params) {
id <- seq_len(params$n)
dims <- wrap_dims(params$n, params$nrow, params$ncol)
layout <- data.frame(PANEL = factor(id))
layout$ROW <- as.integer((id - 1L) %/% dims[2] + 1L)
layout$COL <- as.integer((id - 1L) %% dims[2] + 1L)
layout <- layout[order(layout$PANEL), , drop = FALSE]
rownames(layout) <- NULL
# Add scale identification
layout$SCALE_X <- if (params$free$x) id else 1L
layout$SCALE_Y <- if (params$free$y) id else 1L
cbind(layout, .bootstrap = id)
},
map_data = function(data, layout, params) {
if (is.null(data) || nrow(data) == 0) {
return(cbind(data, PANEL = integer(0)))
}
n_samples <- round(nrow(data) * params$prop)
new_data <- lapply(seq_len(params$n), function(i) {
cbind(data[sample(nrow(data), n_samples), , drop = FALSE], PANEL = i)
})
do.call(rbind, new_data)
}
)
ggplot(diamonds, aes(carat, price)) +
geom_point(alpha = 0.1) +
facet_bootstrap(n = 9, prop = 0.05)
What we are doing above is to intercept the
compute_layout and map_data methods and
instead of dividing the data by a variable we randomly assigns rows to a
panel based on the sampling parameters (n determines the
number of panels, prop determines the proportion of data in
each panel). It is important here that the layout returned by
compute_layout is a valid layout for FacetWrap
as we are counting on the draw_panel method from
FacetWrap to do all the work for us. Thus if you want to
subclass FacetWrap or FacetGrid, make sure you understand the nature of
their layout specification.
Guides are closely related to scales and aesthetics, so an important
part of guides is taking information from the scale and translating it
to a graphic. This information is passed around inside guides as a
key dataframe. For existing guides, you can glance at what
a key contains by using the get_guide_data() function.
Typical variables you may see in guides are the aesthetic mapped by the
scale, such as the hexadecimal colours in the example below, what those
aesthetic represent in the .value column and how they
should be labelled in the .label column. Sometimes, the
aesthetic is used in computations. To avoid interpreting the values and
labels as aesthetics, it is customary to prefix these with
..
p <- ggplot(mpg, aes(displ, hwy, colour = drv)) +
geom_point() +
scale_colour_discrete(
labels = c("4-wheel drive", "front wheel drive", "rear wheel drive")
)
get_guide_data(p, "colour")
#> colour .value .label
#> 1 #F8766D 4 4-wheel drive
#> 2 #00BA38 f front wheel drive
#> 3 #619CFF r rear wheel driveLet’s now make a first guide extension by adjusting the guide’s key.
Axes are most straightforward to extend, because they are the least
complicated. We’ll build an axis that accepts custom values for the
guide’s key. We can begin by making a custom ggproto class
that inherits from the axis guide. An important extension point is the
extract_key() method, which determines how break
information is transferred from the scale to the guide. In our class, we
reject the scale’s reality and substitute our own.
GuideKey <- ggproto(
"Guide", GuideAxis,
# Some parameters are required, so it is easiest to copy the base Guide's
# parameters into our new parameters.
# We add a new 'key' parameter for our own guide.
params = c(GuideAxis$params, list(key = NULL)),
# It is important for guides to have a mapped aesthetic with the correct name
extract_key = function(scale, aesthetic, key, ...) {
key$aesthetic <- scale$map(key$aesthetic)
names(key)[names(key) == "aesthetic"] <- aesthetic
key
}
)Now we can make a guide constructor that creates a custom key to pass
along on. The new_guide() function instantiates a new guide
with the given parameters. This function automatically rejects any
parameters that are not in the class’ params field, so it
is important to declare these.
guide_key <- function(
aesthetic, value = aesthetic, label = as.character(aesthetic),
...,
# Standard guide arguments
theme = NULL, title = waiver(), order = 0, position = waiver()
) {
key <- data.frame(aesthetic, .value = value, .label = label, ...)
new_guide(
# Arguments passed on to the GuideKey$params field
key = key, theme = theme, title = title, order = order, position = position,
# Declare which aesthetics are supported
available_aes = c("x", "y"),
# Set the guide class
super = GuideKey
)
}Our new guide can now be used inside the guides()
function or as the guide argument in a position scale.
ggplot(mpg, aes(displ, hwy)) +
geom_point() +
scale_x_continuous(
guide = guide_key(aesthetic = 2:6 + 0.5)
)
If we are feeling more adventurous, we can also alter they way guides
are drawn. The majority of drawing code is in the
Guide$build_*() methods, which is all orchestrated by the
Guide$draw() method. For derived guides, such as the custom
key guide we’re extending here, overriding a
Guide$build_*() method should be sufficient. If you are
writing a completely novel guide that does not resemble the structure of
any existing guide, overriding the Guide$draw() method
might be wise.
In this example, we are changing the way the labels are drawn, so we
should edit the Guide$build_labels() method. We’ll edit the
method so that the labels are drawn with a colour set in
the key. In addition to the key and params
variable we’ve seen before, we now also have an elements
variable, which is a list of precomputed theme elements. We can use the
elements$text element to draw a graphical object (grob) in
the style of axis text. Perhaps the most finicky thing about drawing
guides is that a lot of settings depend on the guide’s
position parameter.
# Same as before
GuideKey <- ggproto(
"Guide", GuideAxis,
params = c(GuideAxis$params, list(key = NULL)),
extract_key = function(scale, aesthetic, key, ...) {
key$aesthetic <- scale$map(key$aesthetic)
names(key)[names(key) == "aesthetic"] <- aesthetic
key
},
# New method to draw labels
build_labels = function(key, elements, params) {
position <- params$position
# Downstream code expects a list of labels
list(element_grob(
elements$text,
label = key$.label,
x = switch(position, left = 1, right = 0, key$x),
y = switch(position, top = 0, bottom = 1, key$y),
margin_x = position %in% c("left", "right"),
margin_y = position %in% c("top", "bottom"),
colour = key$colour
))
}
)Because we are incorporating the ... argument to
guide_key() in the key, adding a colour column
to the key is straightforward. We can check that are guide looks correct
in the different positions around the panel.
ggplot(mpg, aes(displ, hwy)) +
geom_point() +
guides(
x = guide_key(
aesthetic = 2:6 + 0.5,
colour = c("red", "grey", "red", "grey", "red")
),
x.sec = guide_key(
aesthetic = c(2, 4, 6),
colour = c("tomato", "limegreen", "dodgerblue")
)
)
guide_key() to also pass on family,
face and size aesthetics from the key to the
labels.GuideKey$build_ticks() method to also pass
on colour and linewidth settings to the tick
marks. Looking at Guide$build_ticks() is a good starting
point.GuideKey$extract_key() to
Guide$extract_key(). What steps have been skimmed over in
the example?