vignettes/introduction_plotmethod.Rmd
introduction_plotmethod.RmdThis vignettes demonstrates the plot()-method of the ggeffects-package. It is recommended to read the general introduction first, if you haven’t done this yet.
If you don’t want to write your own ggplot-code, ggeffects has a plot()-method with some convenient defaults, which allows quickly creating ggplot-objects. plot() has some arguments to tweak the plot-appearance. For instance, show_ci allows you to show or hide confidence bands (or error bars, for discrete variables), facets allows you to create facets even for just one grouping variable, or colors allows you to quickly choose from some color-palettes, including black & white colored plots. Use show_data to add the raw data points to the plot.
ggeffects supports labelled data and the plot()-method automatically sets titles, axis - and legend-labels depending on the value and variable labels of the data.
library(ggplot2)
library(ggeffects)
data(efc, package = "ggeffects")
efc <- datawizard::to_factor(efc, c("c172code", "e42dep"))
fit <- lm(barthtot ~ c12hour + neg_c_7 + c161sex + c172code + e42dep, data = efc)
dat <- predict_response(fit, terms = c("c12hour", "c172code"))
plot(dat, facets = TRUE)
# don't use facets, b/w figure, w/o confidence bands
plot(dat, colors = "bw", show_ci = FALSE)
dat <- predict_response(fit, terms = c("c12hour", "c172code"))
plot(dat, show_data = TRUE)
# for three variables, automatic facetting
dat <- predict_response(fit, terms = c("c12hour", "c172code", "c161sex"))
plot(dat)
# categorical variables have errorbars
dat <- predict_response(fit, terms = c("c172code", "c161sex"))
plot(dat)
# point-geoms for discrete x-axis can be connected with lines
plot(dat, connect_lines = TRUE)
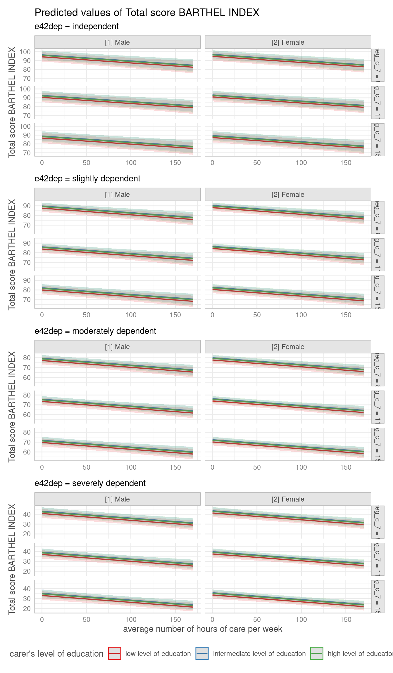
For four grouping variable (i.e. if terms is of length five), one plot per value/level of the fifth variable in terms is created, and a single, integrated plot is produced by default. Use one_plot = FALSE to return one plot per panel.
# for five variables, automatic facetting and integrated panel
dat <- predict_response(
fit,
terms = c("c12hour", "c172code", "c161sex", "neg_c_7", "e42dep")
)
# use 'one_plot = FALSE' for returning multiple single plots
plot(dat, one_plot = TRUE)
If facets become too small, you can align the panels in multiple rows, using the n_rows argument. Furthermore, use functions from ggplot2 to align the legend.

In some plots, the the confidence bands are not represented by a shaded area (ribbons), but rather by error bars (with line), dashed or dotted lines. Use ci_style = "errorbar", ci_style = "dash" or ci_style = "dot" to change the style of confidence bands.
# dashed lines for CI
dat <- predict_response(fit, terms = "c12hour")
plot(dat, ci_style = "dash")
# facet by group
dat <- predict_response(fit, terms = c("c12hour", "c172code"))
plot(dat, facets = TRUE, ci_style = "errorbar", dot_size = 1.5)
The style of error bars for plots with categorical x-axis can also be changed. By default, these are “error bars”, but ci_style = "dot" or ci_style = "dashed" works as well
dat <- predict_response(fit, terms = "c172code")
plot(dat, ci_style = "dot")
For binomial models, the y-axis indicates the predicted probabilities of an event. In this case, error bars are not symmetrical.
library("lme4")
m <- glm(
cbind(incidence, size - incidence) ~ period,
family = binomial,
data = lme4::cbpp
)
dat <- predict_response(m, "period")
# normal plot, asymmetrical error bars
plot(dat)
Here you can use log_y to log-transform the y-axis. The plot()-method will automatically choose axis breaks and limits that fit well to the value range and log-scale.
# plot with log-transformed y-axis
plot(dat, log_y = TRUE)
Furthermore, arguments in ... are passed down to ggplot::scale_y_continuous() (resp. ggplot::scale_y_log10(), if log_y = TRUE), so you can control the appearance of the y-axis.
# plot with log-transformed y-axis, modify breaks
plot(
dat, log_y = TRUE,
breaks = c(0.05, 0.1, 0.15, 0.2, 0.25, 0.3),
limits = c(0.01, 0.3)
)
predict_response() also supports coxph-models from the survival-package and is able to either plot risk-scores (the default), probabilities of survival (type = "survival") or cumulative hazards (type = "cumulative_hazard").
Since probabilities of survival and cumulative hazards are changing across time, the time-variable is automatically used as x-axis in such cases, so the terms-argument only needs up to two variables.
library(survival)
data("lung2")
m <- coxph(Surv(time, status) ~ sex + age + ph.ecog, data = lung2)
# predicted risk-scores
pr <- predict_response(m, c("sex", "ph.ecog"))
plot(pr)
# probability of survival
pr <- predict_response(m, c("sex", "ph.ecog"), type = "survival")
plot(pr)
# cumulative hazards
pr <- predict_response(m, c("sex", "ph.ecog"), type = "cumulative_hazard")
plot(pr)
The ggeffects-package has a few pre-defined color-palettes that can be used with the colors-argument. Use show_palettes() to see all available palettes.

Here are two examples showing how to use pre-defined colors:
dat <- predict_response(fit, terms = c("c12hour", "c172code"))
plot(dat, facets = TRUE, colors = "circus")
dat <- predict_response(fit, terms = c("c172code", "c12hour [quart]"))
plot(dat, colors = "hero", dodge = 0.4) # increase space between error bars