Shortcut version of stat_slabinterval() with geom_pointinterval() for creating point + multiple-interval plots.

Roughly equivalent to:

stat_slabinterval(
  geom = "pointinterval",
  show_slab = FALSE
)
stat_pointinterval(
  mapping = NULL,
  data = NULL,
  geom = "pointinterval",
  position = "identity",
  ...,
  point_interval = "median_qi",
  .width = c(0.66, 0.95),
  orientation = NA,
  na.rm = FALSE,
  show.legend = c(size = FALSE),
  inherit.aes = TRUE,
  check.aes = TRUE,
  check.param = TRUE
)

Arguments

mapping

Set of aesthetic mappings created by aes(). If specified and inherit.aes = TRUE (the default), it is combined with the default mapping at the top level of the plot. You must supply mapping if there is no plot mapping.

data

The data to be displayed in this layer. There are three options:

If NULL, the default, the data is inherited from the plot data as specified in the call to ggplot().

A data.frame, or other object, will override the plot data. All objects will be fortified to produce a data frame. See fortify() for which variables will be created.

A function will be called with a single argument, the plot data. The return value must be a data.frame, and will be used as the layer data. A function can be created from a formula (e.g. ~ head(.x, 10)).

geom

<Geom | string> Use to override the default connection between stat_pointinterval() and geom_pointinterval()

position

<Position | string> Position adjustment, either as a string, or the result of a call to a position adjustment function. Setting this equal to "dodge" (position_dodge()) or "dodgejust" (position_dodgejust()) can be useful if you have overlapping geometries.

...

Other arguments passed to layer(). These are often aesthetics, used to set an aesthetic to a fixed value, like colour = "red" or linewidth = 3 (see Aesthetics, below). They may also be parameters to the paired geom/stat. When paired with the default geom, geom_pointinterval(), these include:

interval_size_domain

<length-2 numeric> Minimum and maximum of the values of the size and linewidth aesthetics that will be translated into actual sizes for intervals drawn according to interval_size_range (see the documentation for that argument.)

interval_size_range

<length-2 numeric> This geom scales the raw size aesthetic values when drawing interval and point sizes, as they tend to be too thick when using the default settings of scale_size_continuous(), which give sizes with a range of c(1, 6). The interval_size_domain value indicates the input domain of raw size values (typically this should be equal to the value of the range argument of the scale_size_continuous() function), and interval_size_range indicates the desired output range of the size values (the min and max of the actual sizes used to draw intervals). Most of the time it is not recommended to change the value of this argument, as it may result in strange scaling of legends; this argument is a holdover from earlier versions that did not have size aesthetics targeting the point and interval separately. If you want to adjust the size of the interval or points separately, you can also use the linewidth or point_size aesthetics; see sub-geometry-scales.

fatten_point

<scalar numeric> A multiplicative factor used to adjust the size of the point relative to the size of the thickest interval line. If you wish to specify point sizes directly, you can also use the point_size aesthetic and scale_point_size_continuous() or scale_point_size_discrete(); sizes specified with that aesthetic will not be adjusted using fatten_point.

arrow

<arrow | NULL> Type of arrow heads to use on the interval, or NULL for no arrows.

point_interval

<function | string> A function from the point_interval() family (e.g., median_qi, mean_qi, mode_hdi, etc), or a string giving the name of a function from that family (e.g., "median_qi", "mean_qi", "mode_hdi", etc; if a string, the caller's environment is searched for the function, followed by the ggdist environment). This function determines the point summary (typically mean, median, or mode) and interval type (quantile interval, qi; highest-density interval, hdi; or highest-density continuous interval, hdci). Output will be converted to the appropriate x- or y-based aesthetics depending on the value of orientation. See the point_interval() family of functions for more information.

.width

<numeric> The .width argument passed to point_interval: a vector of probabilities to use that determine the widths of the resulting intervals. If multiple probabilities are provided, multiple intervals per group are generated, each with a different probability interval (and value of the corresponding .width and level generated variables).

orientation

<string> Whether this geom is drawn horizontally or vertically. One of:

  • NA (default): automatically detect the orientation based on how the aesthetics are assigned. Automatic detection works most of the time.

  • "horizontal" (or "y"): draw horizontally, using the y aesthetic to identify different groups. For each group, uses the x, xmin, xmax, and thickness aesthetics to draw points, intervals, and slabs.

  • "vertical" (or "x"): draw vertically, using the x aesthetic to identify different groups. For each group, uses the y, ymin, ymax, and thickness aesthetics to draw points, intervals, and slabs.

For compatibility with the base ggplot naming scheme for orientation, "x" can be used as an alias for "vertical" and "y" as an alias for "horizontal" (ggdist had an orientation parameter before base ggplot did, hence the discrepancy).

na.rm

<scalar logical> If FALSE, the default, missing values are removed with a warning. If TRUE, missing values are silently removed.

show.legend

<logical> Should this layer be included in the legends? Default is c(size = FALSE), unlike most geoms, to match its common use cases. FALSE hides all legends, TRUE shows all legends, and NA shows only those that are mapped (the default for most geoms). It can also be a named logical vector to finely select the aesthetics to display.

inherit.aes

If FALSE, overrides the default aesthetics, rather than combining with them. This is most useful for helper functions that define both data and aesthetics and shouldn't inherit behaviour from the default plot specification, e.g. borders().

check.aes, check.param

If TRUE, the default, will check that supplied parameters and aesthetics are understood by the geom or stat. Use FALSE to suppress the checks.

Value

A ggplot2::Stat representing a point + multiple-interval geometry which can be added to a ggplot() object.

Details

To visualize sample data, such as a data distribution, samples from a bootstrap distribution, or a Bayesian posterior, you can supply samples to the x or y aesthetic.

To visualize analytical distributions, you can use the xdist or ydist aesthetic. For historical reasons, you can also use dist to specify the distribution, though this is not recommended as it does not work as well with orientation detection. These aesthetics can be used as follows:

  • xdist, ydist, and dist can be any distribution object from the distributional package (dist_normal(), dist_beta(), etc) or can be a posterior::rvar() object. Since these functions are vectorized, other columns can be passed directly to them in an aes() specification; e.g. aes(dist = dist_normal(mu, sigma)) will work if mu and sigma are columns in the input data frame.

  • dist can be a character vector giving the distribution name. Then the arg1, ... arg9 aesthetics (or args as a list column) specify distribution arguments. Distribution names should correspond to R functions that have "p", "q", and "d" functions; e.g. "norm" is a valid distribution name because R defines the pnorm(), qnorm(), and dnorm() functions for Normal distributions.

    See the parse_dist() function for a useful way to generate dist and args values from human-readable distribution specs (like "normal(0,1)"). Such specs are also produced by other packages (like the brms::get_prior function in brms); thus, parse_dist() combined with the stats described here can help you visualize the output of those functions.

Computed Variables

The following variables are computed by this stat and made available for use in aesthetic specifications (aes()) using the after_stat() function or the after_stat argument of stage():

  • x or y: For slabs, the input values to the slab function. For intervals, the point summary from the interval function. Whether it is x or y depends on orientation

  • xmin or ymin: For intervals, the lower end of the interval from the interval function.

  • xmax or ymax: For intervals, the upper end of the interval from the interval function.

  • .width: For intervals, the interval width as a numeric value in [0, 1]. For slabs, the width of the smallest interval containing that value of the slab.

  • level: For intervals, the interval width as an ordered factor. For slabs, the level of the smallest interval containing that value of the slab.

  • pdf: For slabs, the probability density function (PDF). If options("ggdist.experimental.slab_data_in_intervals") is TRUE: For intervals, the PDF at the point summary; intervals also have pdf_min and pdf_max for the PDF at the lower and upper ends of the interval.

  • cdf: For slabs, the cumulative distribution function. If options("ggdist.experimental.slab_data_in_intervals") is TRUE: For intervals, the CDF at the point summary; intervals also have cdf_min and cdf_max for the CDF at the lower and upper ends of the interval.

Aesthetics

The slab+interval stats and geoms have a wide variety of aesthetics that control the appearance of their three sub-geometries: the slab, the point, and the interval.

These stats support the following aesthetics:

  • x: x position of the geometry (when orientation = "vertical"); or sample data to be summarized (when orientation = "horizontal" with sample data).

  • y: y position of the geometry (when orientation = "horizontal"); or sample data to be summarized (when orientation = "vertical" with sample data).

  • weight: When using samples (i.e. the x and y aesthetics, not xdist or ydist), optional weights to be applied to each draw.

  • xdist: When using analytical distributions, distribution to map on the x axis: a distributional object (e.g. dist_normal()) or a posterior::rvar() object.

  • ydist: When using analytical distributions, distribution to map on the y axis: a distributional object (e.g. dist_normal()) or a posterior::rvar() object.

  • dist: When using analytical distributions, a name of a distribution (e.g. "norm"), a distributional object (e.g. dist_normal()), or a posterior::rvar() object. See Details.

  • args: Distribution arguments (args or arg1, ... arg9). See Details.

In addition, in their default configuration (paired with geom_pointinterval()) the following aesthetics are supported by the underlying geom:

Interval-specific aesthetics

  • xmin: Left end of the interval sub-geometry (if orientation = "horizontal").

  • xmax: Right end of the interval sub-geometry (if orientation = "horizontal").

  • ymin: Lower end of the interval sub-geometry (if orientation = "vertical").

  • ymax: Upper end of the interval sub-geometry (if orientation = "vertical").

Point-specific aesthetics

  • shape: Shape type used to draw the point sub-geometry.

Color aesthetics

  • colour: (or color) The color of the interval and point sub-geometries. Use the slab_color, interval_color, or point_color aesthetics (below) to set sub-geometry colors separately.

  • fill: The fill color of the slab and point sub-geometries. Use the slab_fill or point_fill aesthetics (below) to set sub-geometry colors separately.

  • alpha: The opacity of the slab, interval, and point sub-geometries. Use the slab_alpha, interval_alpha, or point_alpha aesthetics (below) to set sub-geometry colors separately.

  • colour_ramp: (or color_ramp) A secondary scale that modifies the color scale to "ramp" to another color. See scale_colour_ramp() for examples.

  • fill_ramp: A secondary scale that modifies the fill scale to "ramp" to another color. See scale_fill_ramp() for examples.

Line aesthetics

  • linewidth: Width of the line used to draw the interval (except with geom_slab(): then it is the width of the slab). With composite geometries including an interval and slab, use slab_linewidth to set the line width of the slab (see below). For interval, raw linewidth values are transformed according to the interval_size_domain and interval_size_range parameters of the geom (see above).

  • size: Determines the size of the point. If linewidth is not provided, size will also determines the width of the line used to draw the interval (this allows line width and point size to be modified together by setting only size and not linewidth). Raw size values are transformed according to the interval_size_domain, interval_size_range, and fatten_point parameters of the geom (see above). Use the point_size aesthetic (below) to set sub-geometry size directly without applying the effects of interval_size_domain, interval_size_range, and fatten_point.

  • stroke: Width of the outline around the point sub-geometry.

  • linetype: Type of line (e.g., "solid", "dashed", etc) used to draw the interval and the outline of the slab (if it is visible). Use the slab_linetype or interval_linetype aesthetics (below) to set sub-geometry line types separately.

Interval-specific color and line override aesthetics

  • interval_colour: (or interval_color) Override for colour/color: the color of the interval.

  • interval_alpha: Override for alpha: the opacity of the interval.

  • interval_linetype: Override for linetype: the line type of the interval.

Point-specific color and line override aesthetics

  • point_fill: Override for fill: the fill color of the point.

  • point_colour: (or point_color) Override for colour/color: the outline color of the point.

  • point_alpha: Override for alpha: the opacity of the point.

  • point_size: Override for size: the size of the point.

Deprecated aesthetics

  • interval_size: Use interval_linewidth.

Other aesthetics (these work as in standard geoms)

  • width

  • height

  • group

See examples of some of these aesthetics in action in vignette("slabinterval"). Learn more about the sub-geom override aesthetics (like interval_color) in the scales documentation. Learn more about basic ggplot aesthetics in vignette("ggplot2-specs").

See also

See geom_pointinterval() for the geom underlying this stat. See stat_slabinterval() for the stat this shortcut is based on.

Other slabinterval stats: stat_ccdfinterval(), stat_cdfinterval(), stat_eye(), stat_gradientinterval(), stat_halfeye(), stat_histinterval(), stat_interval(), stat_slab(), stat_spike()

Examples

library(dplyr)
library(ggplot2)
library(distributional)

theme_set(theme_ggdist())

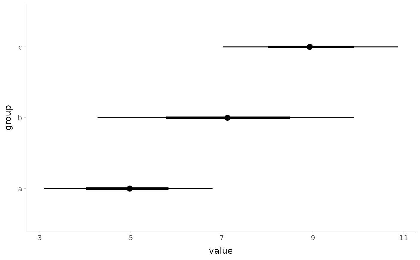
# ON SAMPLE DATA
set.seed(1234)
df = data.frame(
  group = c("a", "b", "c"),
  value = rnorm(1500, mean = c(5, 7, 9), sd = c(1, 1.5, 1))
)
df %>%
  ggplot(aes(x = value, y = group)) +
  stat_pointinterval()


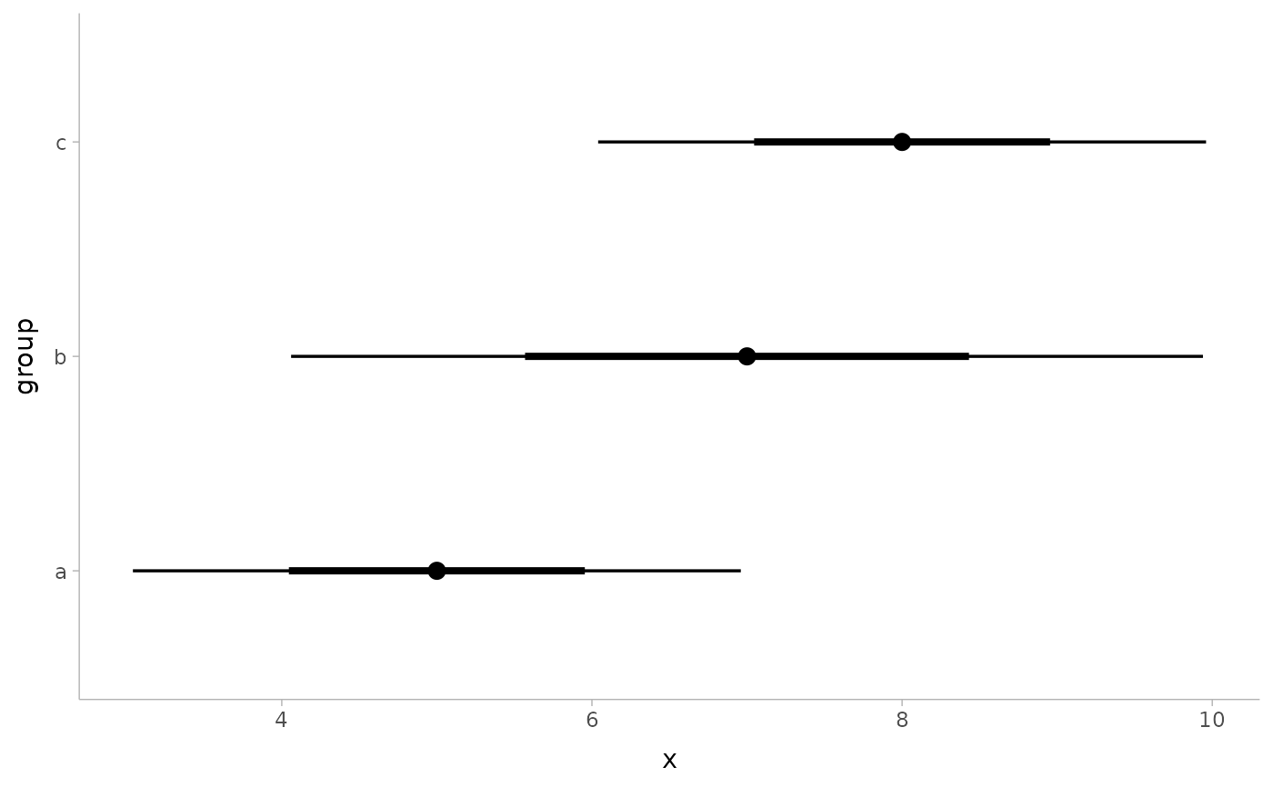
# ON ANALYTICAL DISTRIBUTIONS
dist_df = data.frame(
  group = c("a", "b", "c"),
  mean =  c(  5,   7,   8),
  sd =    c(  1, 1.5,   1)
)
# Vectorized distribution types, like distributional::dist_normal()
# and posterior::rvar(), can be used with the `xdist` / `ydist` aesthetics
dist_df %>%
  ggplot(aes(y = group, xdist = dist_normal(mean, sd))) +
  stat_pointinterval()