Skip to contents

Tidying methods for MCMC (Stan, JAGS, etc.) fits

Usage

# S3 method for class 'MCMCglmm'
tidy(x, effects = c("fixed", "ran_pars"), scales = NULL, ...)

tidyMCMC(
  x,
  pars,
  robust = FALSE,
  conf.int = FALSE,
  conf.level = 0.95,
  conf.method = c("quantile", "HPDinterval"),
  drop.pars = c("lp__", "deviance"),
  rhat = FALSE,
  ess = FALSE,
  index = FALSE,
  ...
)

# S3 method for class 'rjags'
tidy(
  x,
  robust = FALSE,
  conf.int = FALSE,
  conf.level = 0.95,
  conf.method = "quantile",
  ...
)

# S3 method for class 'stanfit'
tidy(
  x,
  pars,
  robust = FALSE,
  conf.int = FALSE,
  conf.level = 0.95,
  conf.method = c("quantile", "HPDinterval"),
  drop.pars = c("lp__", "deviance"),
  rhat = FALSE,
  ess = FALSE,
  index = FALSE,
  ...
)

# S3 method for class 'mcmc'
tidy(
  x,
  pars,
  robust = FALSE,
  conf.int = FALSE,
  conf.level = 0.95,
  conf.method = c("quantile", "HPDinterval"),
  drop.pars = c("lp__", "deviance"),
  rhat = FALSE,
  ess = FALSE,
  index = FALSE,
  ...
)

# S3 method for class 'mcmc.list'
tidy(
  x,
  pars,
  robust = FALSE,
  conf.int = FALSE,
  conf.level = 0.95,
  conf.method = c("quantile", "HPDinterval"),
  drop.pars = c("lp__", "deviance"),
  rhat = FALSE,
  ess = FALSE,
  index = FALSE,
  ...
)

Arguments

x

a model fit to be converted to a data frame

effects

which effects (fixed, random, etc.) to return

scales

scales on which to report results

...

mostly unused; for tidy.MCMCglmm, these represent options passed through to tidy.mcmc (e.g. robust, conf.int, conf.method, ...)

pars

(character) specification of which parameters to include

robust

use mean and standard deviation (if FALSE) or median and mean absolute deviation (if TRUE) to compute point estimates and uncertainty?

conf.int

(logical) include confidence interval?

conf.level

probability level for CI

conf.method

method for computing confidence intervals ("quantile" or "HPDinterval")

drop.pars

Parameters not to include in the output (such as log-probability information)

rhat, ess

(logical) include Rhat and/or effective sample size estimates?

index

Add index column, remove index from term. For example, term a[13] becomes term a and index 13.

Examples

if (require("MCMCglmm")) {
  ## original model
  if (FALSE) { # \dontrun{
      mm0 <- MCMCglmm(Reaction ~ Days,
                 random = ~Subject, data = sleepstudy,
                 nitt=4000,
                 pr = TRUE
             )
   } # }
   ## load stored object
   load(system.file("extdata","MCMCglmm_example.rda",
                                     package="broom.mixed"))
   tidy(mm0)
   tidy(mm1)
   tidy(mm2)
   tail(tidy(mm0,effects="ran_vals"))
}
#> Loading required package: MCMCglmm
#> Loading required package: coda
#> 
#> Attaching package: ‘coda’
#> The following object is masked from ‘package:rstan’:
#> 
#>     traceplot
#> Loading required package: ape
#> 
#> Attaching package: ‘ape’
#> The following object is masked from ‘package:dplyr’:
#> 
#>     where
#> 
#> Attaching package: ‘MCMCglmm’
#> The following object is masked from ‘package:brms’:
#> 
#>     me
#> # A tibble: 6 × 6
#>   effect   group   level term        estimate std.error
#>   <chr>    <chr>   <chr> <chr>          <dbl>     <dbl>
#> 1 ran_vals Subject 351   (Intercept)    -8.10      12.9
#> 2 ran_vals Subject 352   (Intercept)    36.1       14.6
#> 3 ran_vals Subject 369   (Intercept)     7.11      13.4
#> 4 ran_vals Subject 370   (Intercept)    -6.54      12.2
#> 5 ran_vals Subject 371   (Intercept)    -4.52      14.1
#> 6 ran_vals Subject 372   (Intercept)    17.6       14.3

# Using example from "RStan Getting Started"
# https://github.com/stan-dev/rstan/wiki/RStan-Getting-Started

model_file <- system.file("extdata", "8schools.stan", package = "broom.mixed")
schools_dat <- list(J = 8,
                    y = c(28,  8, -3,  7, -1,  1, 18, 12),
                    sigma = c(15, 10, 16, 11,  9, 11, 10, 18))
## original model
if (FALSE) { # \dontrun{
    set.seed(2015)
    rstan_example <- rstan::stan(file = model_file, data = schools_dat,
                         iter = 1000, chains = 2, save_dso = FALSE)
} # }
if (require(rstan)) {
   ## load stored object
   rstan_example <- readRDS(system.file("extdata", "rstan_example.rds", package = "broom.mixed"))
   tidy(rstan_example)
   tidy(rstan_example, conf.int = TRUE, pars = "theta")
   td_mean <- tidy(rstan_example, conf.int = TRUE)
   td_median <- tidy(rstan_example, conf.int = TRUE, robust = TRUE)
   
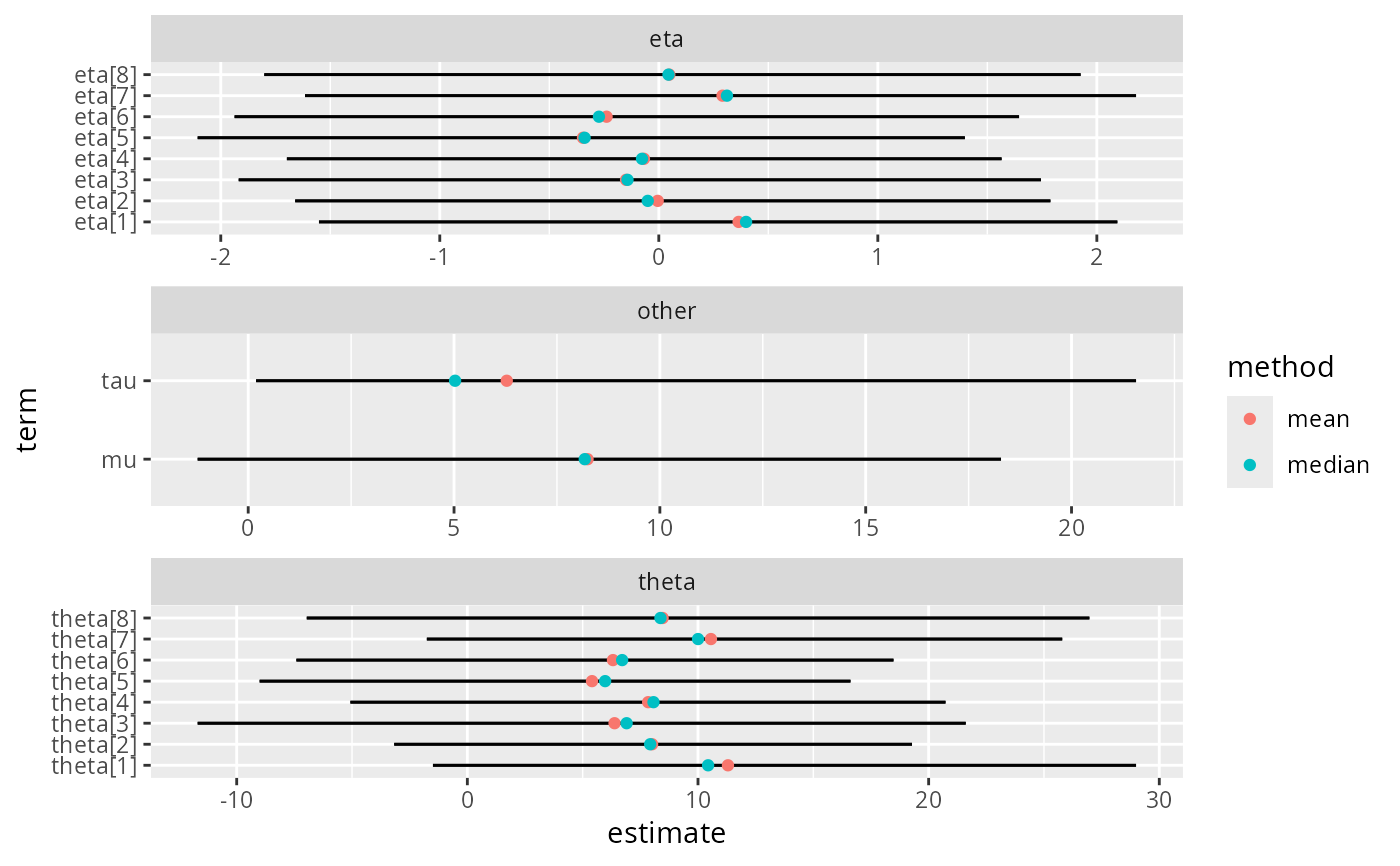
   if (require(dplyr) && require(ggplot2)) {
       tds <- (dplyr::bind_rows(list(mean=td_mean, median=td_median), .id="method")
          %>% mutate(type=ifelse(grepl("^theta",term),"theta",
            ifelse(grepl("^eta",term),"eta",
                  "other")))
      )

     ggplot(tds, aes(estimate, term)) +
      geom_errorbarh(aes(xmin = conf.low, xmax = conf.high),height=0) +
      geom_point(aes(color = method))+
      facet_wrap(~type,scale="free",ncol=1)
 } ## require(dplyr,ggplot2)
} ## require(rstan)
#> `height` was translated to `width`.

if (require(R2jags)) {
   ## see help("jags",package="R2jags")
   ## and  example("jags",package="R2jags")
   ## for details
   ## load stored object
   R2jags_example <- readRDS(system.file("extdata", "R2jags_example.rds", package = "broom.mixed"))
   tidy(R2jags_example)
   tidy(R2jags_example, conf.int=TRUE, conf.method="quantile")
}
#> Loading required package: R2jags
#> Loading required package: rjags
#> Linked to JAGS 4.3.2
#> Loaded modules: basemod,bugs
#> 
#> Attaching package: ‘R2jags’
#> The following object is masked from ‘package:coda’:
#> 
#>     traceplot
#> The following object is masked from ‘package:rstan’:
#> 
#>     traceplot
#> # A tibble: 10 × 5
#>    term     estimate std.error conf.low conf.high
#>    <chr>       <dbl>     <dbl>    <dbl>     <dbl>
#>  1 mu       -0.321       1.37   -1.70        1.85
#>  2 sigma     0.710       0.535   0.0360      1.44
#>  3 theta[1] -0.00383     1.62   -1.68        2.92
#>  4 theta[2] -0.0727      1.65   -2.09        2.70
#>  5 theta[3] -0.613       1.17   -1.76        1.86
#>  6 theta[4] -0.719       1.24   -1.78        1.71
#>  7 theta[5] -0.439       1.38   -1.71        2.18
#>  8 theta[6] -0.0943      1.70   -1.71        2.84
#>  9 theta[7] -0.312       1.57   -1.72        2.41
#> 10 theta[8] -0.556       1.34   -2.46        1.58