Skip to contents

Augmentation for random effects (for caterpillar plots etc.)

Usage

# S3 method for class 'ranef.mer'
augment(x, ci.level = 0.9, reorder = TRUE, order.var = 1, ...)

Arguments

x

ranef (conditional mode) information from an lme4 fit, using ranef(.,condVar=TRUE)

ci.level

level for confidence intervals

reorder

reorder levels by conditional mode values?

order.var

numeric or character: which variable to use for ordering levels?

...

additional arguments (unused: for generic consistency)

Examples

if (require("lme4")) {
   load(system.file("extdata","lme4_example.rda",package="broom.mixed"))
   rr <- ranef(lmm1,condVar=TRUE)
   aa <- broom::augment(rr)
   ## Q-Q plot:
   if (require(ggplot2) && require(dplyr)) {
      g0 <- ggplot(aa,aes(estimate,qq,xmin=lb,xmax=ub))+
          geom_errorbarh(height=0)+
          geom_point()+facet_wrap(~variable,scale="free_x")
      ## regular caterpillar plot:
      g1 <- ggplot(aa,aes(estimate,level,xmin=lb,xmax=ub))+
         geom_errorbarh(height=0)+
         geom_vline(xintercept=0,lty=2)+
         geom_point()+facet_wrap(~variable,scale="free_x")
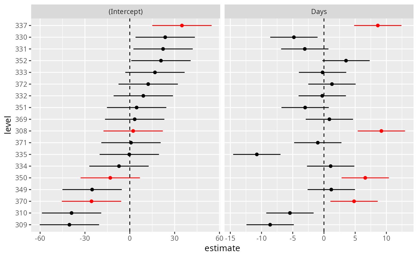
      ## emphasize extreme values
      aa2 <- group_by(aa,grp,level)
      aa3 <- mutate(aa2, keep=any(estimate/std.error>2))
      ## Update caterpillar plot with extreme levels highlighted
      ##  (highlight all groups with *either* extreme intercept *or*
      ##   extreme slope)
      ggplot(aa3, aes(estimate,level,xmin=lb,xmax=ub,colour=factor(keep)))+
         geom_errorbarh(height=0)+
         geom_vline(xintercept=0,lty=2)+
         geom_point()+facet_wrap(~variable,scale="free_x")+
         scale_colour_manual(values=c("black","red"), guide=FALSE)
   }
}
#> Loading required package: lme4
#> Loading required package: Matrix
#> Loading required package: ggplot2
#> Loading required package: dplyr
#> 
#> Attaching package: ‘dplyr’
#> The following objects are masked from ‘package:stats’:
#> 
#>     filter, lag
#> The following objects are masked from ‘package:base’:
#> 
#>     intersect, setdiff, setequal, union
#> Warning: `geom_errorbarh()` was deprecated in ggplot2 4.0.0.
#>  Please use the `orientation` argument of `geom_errorbar()` instead.
#> `height` was translated to `width`.
#> Warning: The `guide` argument in `scale_*()` cannot be `FALSE`. This was deprecated in
#> ggplot2 3.3.4.
#>  Please use "none" instead.