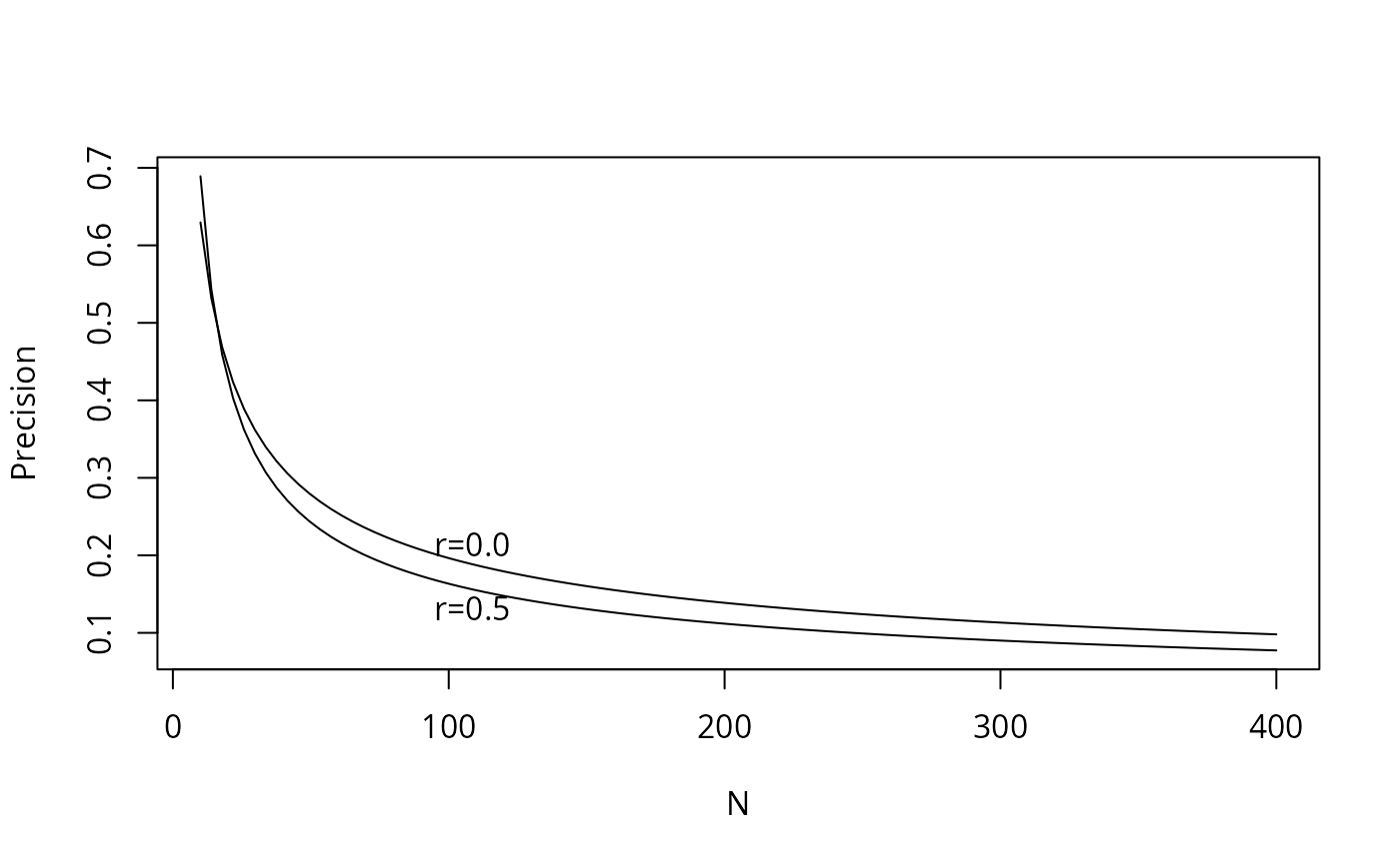
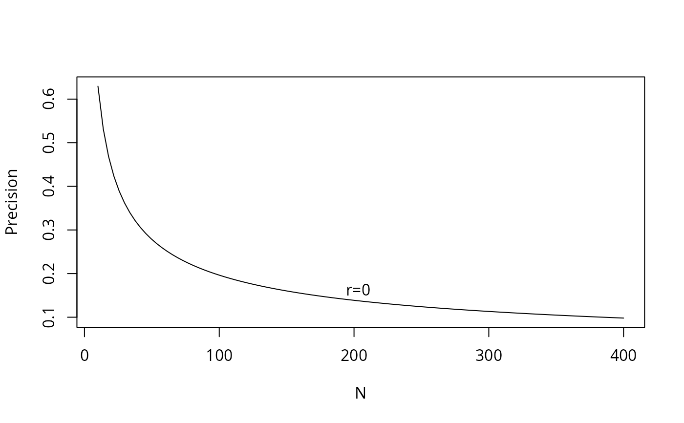
Plot Precision of Estimate of Pearson Correlation Coefficient
plotCorrPrecision.RdThis function plots the precision (margin of error) of the
product-moment linear
correlation coefficient r vs. sample size, for a given vector of
correlation coefficients rho. Precision is defined as the larger
of the upper confidence limit minus rho and rho minus the lower confidence
limit. labcurve is used to automatically label the curves.

