Skip to contents

This manual page collects a list of examples from the book. Some solutions might not be exact and the list is not complete. If you have suggestions for improvement (preferably in the form of code), please contact the package maintainer.

References

Winkelmann, R., and Boes, S. (2009). Analysis of Microdata, 2nd ed. Berlin and Heidelberg: Springer-Verlag.

Examples

#> Loading required namespace: ROCR
#> Loading required namespace: truncreg
# \donttest{
#########################################
## US General Social Survey 1974--2002 ##
#########################################

## data
data("GSS7402", package = "AER")

## completed fertility subset
gss40 <- subset(GSS7402, age >= 40)


## Chapter 1
## Table 1.1
gss_kids <- table(gss40$kids)
cbind(absolute = gss_kids,
  relative = round(prop.table(gss_kids) * 100, digits = 2))
#>   absolute relative
#> 0      744    14.45
#> 1      706    13.71
#> 2     1368    26.56
#> 3     1002    19.46
#> 4      593    11.51
#> 5      309     6.00
#> 6      190     3.69
#> 7       89     1.73
#> 8      149     2.89

## Table 1.2
sd1 <- function(x) sd(x) / sqrt(length(x))
with(gss40, round(cbind(
  "obs"            = tapply(kids, year, length),
  "av kids"        = tapply(kids, year, mean),
  " " =              tapply(kids, year, sd1),
  "prop childless" = tapply(kids, year, function(x) mean(x <= 0)),
   " " =             tapply(kids, year, function(x) sd1(x <= 0)),
  "av schooling"   = tapply(education, year, mean),
   " " =             tapply(education, year, sd1)
), digits = 2))
#>      obs av kids      prop childless      av schooling     
#> 1974 410    3.17 0.10           0.09 0.01        11.07 0.16
#> 1978 445    2.73 0.09           0.14 0.02        11.00 0.15
#> 1982 577    2.96 0.09           0.14 0.01        11.05 0.14
#> 1986 470    2.70 0.09           0.16 0.02        11.34 0.14
#> 1990 431    2.50 0.08           0.15 0.02        12.41 0.15
#> 1994 989    2.40 0.06           0.15 0.01        12.78 0.10
#> 1998 911    2.42 0.06           0.15 0.01        12.94 0.11
#> 2002 917    2.36 0.06           0.16 0.01        13.25 0.10

## Table 1.3
gss40$trend <- gss40$year - 1974
kids_lm1 <- lm(kids ~ factor(year), data = gss40)
kids_lm2 <- lm(kids ~ trend, data = gss40)
kids_lm3 <- lm(kids ~ trend + education, data = gss40)


## Chapter 2
## Table 2.1
kids_tab <- prop.table(xtabs(~ kids + year, data = gss40), 2) * 100
round(kids_tab[,c(4, 8)], digits = 2)
#>     year
#> kids  1986  2002
#>    0 16.38 15.59
#>    1 11.28 13.96
#>    2 26.60 28.68
#>    3 15.74 22.14
#>    4 11.49  9.92
#>    5  7.02  3.93
#>    6  6.38  2.62
#>    7  1.70  1.64
#>    8  3.40  1.53
## Figure 2.1
barplot(t(kids_tab[, c(4, 8)]), beside = TRUE, legend = TRUE)



## Chapter 3, Example 3.14
## Table 3.1
gss40$nokids <- factor(gss40$kids <= 0,
  levels = c(FALSE, TRUE), labels = c("no", "yes"))
nokids_p1 <- glm(nokids ~ 1, data = gss40, family = binomial(link = "probit"))
nokids_p2 <- glm(nokids ~ trend, data = gss40, family = binomial(link = "probit"))
nokids_p3 <- glm(nokids ~ trend + education + ethnicity + siblings,
  data = gss40, family = binomial(link = "probit"))

## p. 87
lrtest(nokids_p1, nokids_p2, nokids_p3)
#> Likelihood ratio test
#> 
#> Model 1: nokids ~ 1
#> Model 2: nokids ~ trend
#> Model 3: nokids ~ trend + education + ethnicity + siblings
#>   #Df  LogLik Df   Chisq Pr(>Chisq)    
#> 1   1 -2126.9                          
#> 2   2 -2123.6  1  6.5677    0.01038 *  
#> 3   5 -2107.1  3 32.9906  3.235e-07 ***
#> ---
#> Signif. codes:  0 ‘***’ 0.001 ‘**’ 0.01 ‘*’ 0.05 ‘.’ 0.1 ‘ ’ 1

## Chapter 4, Example 4.1
gss40$nokids01 <- as.numeric(gss40$nokids) - 1
nokids_lm3 <- lm(nokids01 ~ trend + education + ethnicity + siblings, data = gss40)
coeftest(nokids_lm3, vcov = sandwich)
#> 
#> t test of coefficients:
#> 
#>                  Estimate  Std. Error t value  Pr(>|t|)    
#> (Intercept)    0.03972864  0.02898580  1.3706    0.1706    
#> trend          0.00060242  0.00053829  1.1191    0.2631    
#> education      0.00757341  0.00187637  4.0362 5.511e-05 ***
#> ethnicitycauc  0.01424775  0.01314836  1.0836    0.2786    
#> siblings      -0.00235388  0.00153770 -1.5308    0.1259    
#> ---
#> Signif. codes:  0 ‘***’ 0.001 ‘**’ 0.01 ‘*’ 0.05 ‘.’ 0.1 ‘ ’ 1
#> 

## Example 4.3
## Table 4.1
nokids_l1 <- glm(nokids ~ 1, data = gss40, family = binomial(link = "logit"))
nokids_l3 <- glm(nokids ~ trend + education + ethnicity + siblings,
  data = gss40, family = binomial(link = "logit"))
lrtest(nokids_p3)
#> Error in eval(mf, parent.frame()): object 'gss40' not found
lrtest(nokids_l3)
#> Error in eval(mf, parent.frame()): object 'gss40' not found

## Table 4.2
nokids_xbar <- colMeans(model.matrix(nokids_l3))
sum(coef(nokids_p3) * nokids_xbar)
#> [1] -1.069858
sum(coef(nokids_l3) * nokids_xbar)
#> [1] -1.802965
dnorm(sum(coef(nokids_p3) * nokids_xbar))
#> [1] 0.2250941
dlogis(sum(coef(nokids_l3) * nokids_xbar))
#> [1] 0.1214709
dnorm(sum(coef(nokids_p3) * nokids_xbar)) * coef(nokids_p3)[3]
#>   education 
#> 0.007072723 
dlogis(sum(coef(nokids_l3) * nokids_xbar)) * coef(nokids_l3)[3]
#>   education 
#> 0.007658209 
exp(coef(nokids_l3)[3])
#> education 
#>  1.065075 

## Figure 4.4
## everything by hand (for ethnicity = "cauc" group)
nokids_xbar <- as.vector(nokids_xbar)
nokids_nd <- data.frame(education = seq(0, 20, by = 0.5), trend = nokids_xbar[2],
  ethnicity = "cauc", siblings = nokids_xbar[4])
nokids_p3_fit <- predict(nokids_p3, newdata = nokids_nd,
  type = "response", se.fit = TRUE)
plot(nokids_nd$education, nokids_p3_fit$fit, type = "l", 
  xlab = "education", ylab = "predicted probability", ylim = c(0, 0.3))
polygon(c(nokids_nd$education, rev(nokids_nd$education)),
  c(nokids_p3_fit$fit + 1.96 * nokids_p3_fit$se.fit,
  rev(nokids_p3_fit$fit - 1.96 * nokids_p3_fit$se.fit)),
  col = "lightgray", border = "lightgray")
lines(nokids_nd$education, nokids_p3_fit$fit)


## using "effects" package (for average "ethnicity" variable)
library("effects")
nokids_p3_ef <- effect("education", nokids_p3, xlevels = list(education = 0:20))
plot(nokids_p3_ef, rescale.axis = FALSE, ylim = c(0, 0.3))


## using "effects" plus modification by hand
nokids_p3_ef1 <- as.data.frame(nokids_p3_ef)
plot(pnorm(fit) ~ education, data = nokids_p3_ef1, type = "n", ylim = c(0, 0.3))
polygon(c(0:20, 20:0), pnorm(c(nokids_p3_ef1$upper, rev(nokids_p3_ef1$lower))),
  col = "lightgray", border = "lightgray")
lines(pnorm(fit) ~ education, data = nokids_p3_ef1)


## Table 4.6
## McFadden's R^2
1 - as.numeric( logLik(nokids_p3) / logLik(nokids_p1) )
#> [1] 0.009299554
1 - as.numeric( logLik(nokids_l3) / logLik(nokids_l1) )
#> [1] 0.009840523
## McKelvey and Zavoina R^2
r2mz <- function(obj) {
  ystar <- predict(obj)
  sse <- sum((ystar - mean(ystar))^2)
  s2 <- switch(obj$family$link, "probit" = 1, "logit" = pi^2/3, NA)
  n <- length(residuals(obj))
  sse / (n * s2 + sse)
}
r2mz(nokids_p3)
#> [1] 0.01784602
r2mz(nokids_l3)
#> [1] 0.02076783
## AUC
library("ROCR")
nokids_p3_pred <- prediction(fitted(nokids_p3), gss40$nokids)
nokids_l3_pred <- prediction(fitted(nokids_l3), gss40$nokids)
plot(performance(nokids_p3_pred, "tpr", "fpr"))
abline(0, 1, lty = 2)

performance(nokids_p3_pred, "auc")
#> A performance instance
#>   'Area under the ROC curve'
plot(performance(nokids_l3_pred, "tpr", "fpr"))
abline(0, 1, lty = 2)

performance(nokids_l3_pred, "auc")@y.values
#> [[1]]
#> [1] 0.5828855
#> 

## Chapter 7
## Table 7.3
## subset selection
gss02 <- subset(GSS7402, year == 2002 & (age < 40 | !is.na(agefirstbirth)))
#Z# This selection conforms with top of page 229. However, there
#Z# are too many observations: 1374. Furthermore, there are six
#Z# observations with agefirstbirth <= 14 which will cause problems in
#Z# taking logs!

## computing time to first birth
gss02$tfb <- with(gss02, ifelse(is.na(agefirstbirth), age - 14, agefirstbirth - 14))
#Z# currently this is still needed before taking logs
gss02$tfb <- pmax(gss02$tfb, 1)

tfb_tobit <- tobit(log(tfb) ~ education + ethnicity + siblings + city16 + immigrant,
  data = gss02, left = -Inf, right = log(gss02$age - 14))
tfb_ols <- lm(log(tfb) ~ education + ethnicity + siblings + city16 + immigrant,
  data = gss02, subset = !is.na(agefirstbirth))

## Chapter 8
## Example 8.3
gss2002 <- subset(GSS7402, year == 2002 & (agefirstbirth < 40 | age < 40))
gss2002$afb <- with(gss2002, Surv(ifelse(kids > 0, agefirstbirth, age), kids > 0))
afb_km <- survfit(afb ~ 1, data = gss2002)
afb_skm <- summary(afb_km)
print(afb_skm)
#> Call: survfit(formula = afb ~ 1, data = gss2002)
#> 
#>  time n.risk n.event survival  std.err lower 95% CI upper 95% CI
#>    11   1371       1   0.9993 0.000729       0.9978       1.0000
#>    13   1370       3   0.9971 0.001457       0.9942       0.9999
#>    14   1367       2   0.9956 0.001783       0.9921       0.9991
#>    15   1365      14   0.9854 0.003238       0.9791       0.9918
#>    16   1351      40   0.9562 0.005525       0.9455       0.9671
#>    17   1311      66   0.9081 0.007802       0.8929       0.9235
#>    18   1245      97   0.8373 0.009967       0.8180       0.8571
#>    19   1148     106   0.7600 0.011534       0.7378       0.7830
#>    20   1030     122   0.6700 0.012726       0.6455       0.6954
#>    21    898     123   0.5782 0.013406       0.5525       0.6051
#>    22    767      97   0.5051 0.013612       0.4791       0.5325
#>    23    654      72   0.4495 0.013600       0.4236       0.4770
#>    24    563      61   0.4008 0.013480       0.3752       0.4281
#>    25    484      60   0.3511 0.013248       0.3261       0.3781
#>    26    407      45   0.3123 0.012986       0.2878       0.3388
#>    27    351      45   0.2723 0.012618       0.2486       0.2981
#>    28    294      37   0.2380 0.012223       0.2152       0.2632
#>    29    246      32   0.2070 0.011795       0.1852       0.2315
#>    30    209      38   0.1694 0.011119       0.1489       0.1926
#>    31    163      18   0.1507 0.010730       0.1311       0.1733
#>    32    135      19   0.1295 0.010264       0.1108       0.1512
#>    33    108      17   0.1091 0.009766       0.0915       0.1300
#>    34     83       7   0.0999 0.009542       0.0828       0.1205
#>    35     65      13   0.0799 0.009101       0.0639       0.0999
#>    36     45       7   0.0675 0.008815       0.0522       0.0872
#>    37     29       7   0.0512 0.008572       0.0369       0.0711
#>    38     17       3   0.0422 0.008499       0.0284       0.0626
#>    39     12       2   0.0351 0.008411       0.0220       0.0562
with(afb_skm, plot(n.event/n.risk ~ time, type = "s"))

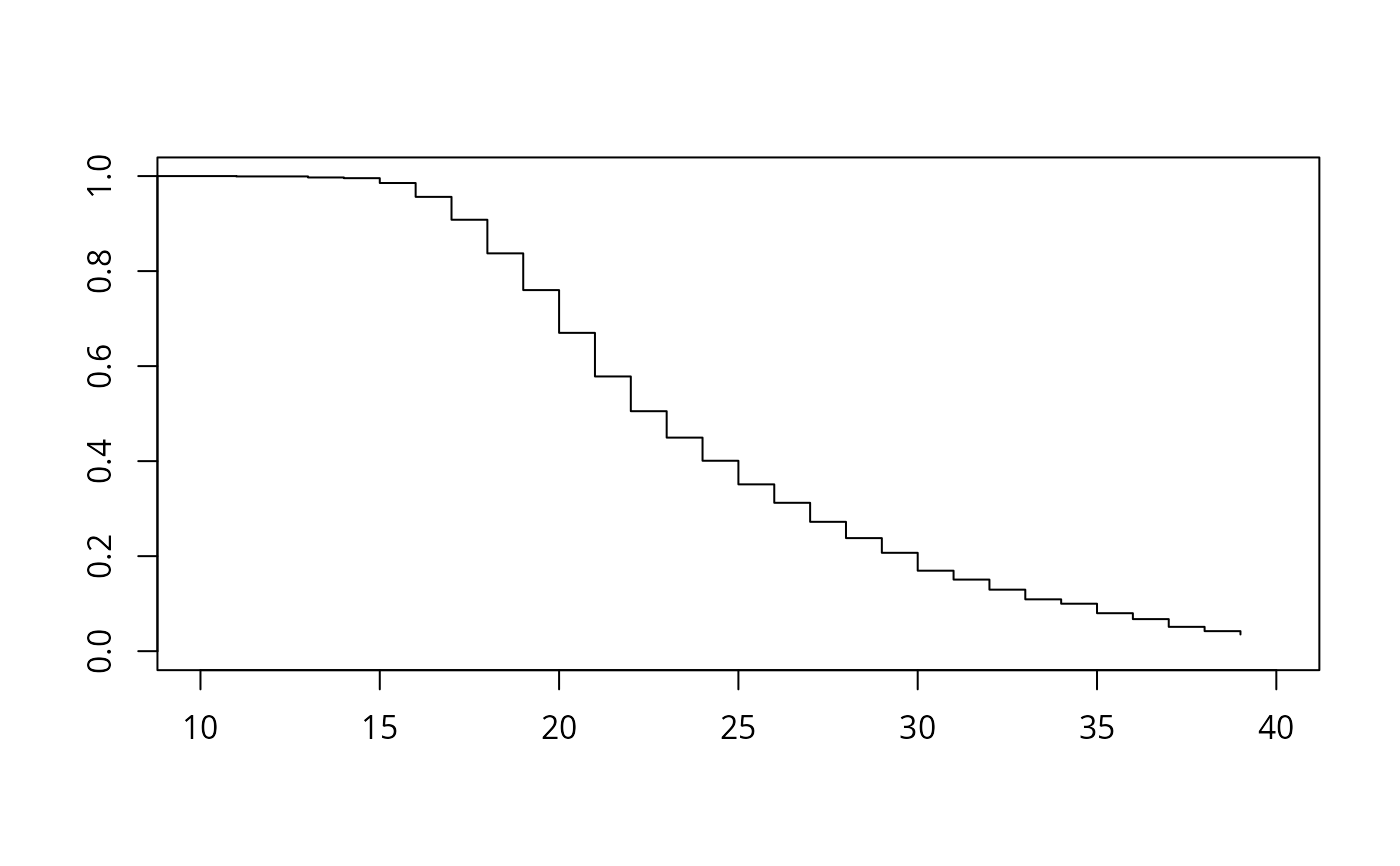
plot(afb_km, xlim = c(10, 40), conf.int = FALSE)


## Example 8.9
library("survival")
afb_ex <- survreg(
  afb ~ education + siblings + ethnicity + immigrant + lowincome16 + city16,
  data = gss2002, dist = "exponential")
afb_wb <- survreg(
  afb ~ education + siblings + ethnicity + immigrant + lowincome16 + city16,
  data = gss2002, dist = "weibull")
afb_ln <- survreg(
  afb ~ education + siblings + ethnicity + immigrant + lowincome16 + city16,
  data = gss2002, dist = "lognormal")

## Example 8.11
kids_pois <- glm(kids ~ education + trend + ethnicity + immigrant + lowincome16 + city16,
  data = gss40, family = poisson)
library("MASS")
kids_nb <- glm.nb(kids ~ education + trend + ethnicity + immigrant + lowincome16 + city16,
  data = gss40)
lrtest(kids_pois, kids_nb)
#> Likelihood ratio test
#> 
#> Model 1: kids ~ education + trend + ethnicity + immigrant + lowincome16 + 
#>     city16
#> Model 2: kids ~ education + trend + ethnicity + immigrant + lowincome16 + 
#>     city16
#>   #Df LogLik Df  Chisq Pr(>Chisq)    
#> 1   7 -10117                         
#> 2   8 -10014  1 205.17  < 2.2e-16 ***
#> ---
#> Signif. codes:  0 ‘***’ 0.001 ‘**’ 0.01 ‘*’ 0.05 ‘.’ 0.1 ‘ ’ 1


############################################
## German Socio-Economic Panel 1994--2002 ##
############################################

## data
data("GSOEP9402", package = "AER")

## some convenience data transformations
gsoep <- GSOEP9402
gsoep$meducation2 <- cut(gsoep$meducation, breaks = c(6, 10.25, 12.25, 18),
  labels = c("7-10", "10.5-12", "12.5-18"))
gsoep$year2 <- factor(gsoep$year)

## Chapter 1
## Table 1.4 plus visualizations
gsoep_tab <- xtabs(~ meducation2 + school, data = gsoep)
round(prop.table(gsoep_tab, 1) * 100, digits = 2)
#>            school
#> meducation2 Hauptschule Realschule Gymnasium
#>     7-10          55.12      25.20     19.69
#>     10.5-12       28.09      34.16     37.75
#>     12.5-18        3.88      14.56     81.55
spineplot(gsoep_tab)

plot(school ~ meducation, data = gsoep, breaks = c(7, 10.25, 12.25, 18))

plot(school ~ meducation, data = gsoep, breaks = c(7, 9, 10.5, 11.5, 12.5, 15, 18))



## Chapter 5
## Table 5.1
library("nnet")
gsoep_mnl <- multinom(
  school ~ meducation + memployment + log(income) + log(size) + parity + year2,
  data = gsoep)
#> # weights:  48 (30 variable)
#> initial  value 741.563295 
#> iter  10 value 655.748279
#> iter  20 value 624.992858
#> iter  30 value 618.605354
#> final  value 618.475696 
#> converged
coeftest(gsoep_mnl)[c(1:6, 1:6 + 14),]
#>                                   Estimate Std. Error    z value     Pr(>|z|)
#> Realschule:(Intercept)          -6.3864877 2.36903996 -2.6958126 7.021716e-03
#> Realschule:meducation            0.3004843 0.07910641  3.7984819 1.455851e-04
#> Realschule:memploymentparttime   0.4933680 0.32189721  1.5326879 1.253528e-01
#> Realschule:memploymentnone       0.7526399 0.32884476  2.2887392 2.209451e-02
#> Realschule:log(income)           0.3934871 0.22539836  1.7457408 8.085601e-02
#> Realschule:log(size)            -1.1921790 0.44641156 -2.6705827 7.571972e-03
#> Realschule:year22002             0.1922413 0.45158350  0.4257049 6.703229e-01
#> Gymnasium:(Intercept)          -23.6975758 3.01022807 -7.8723523 3.480345e-15
#> Gymnasium:meducation             0.6597649 0.08144034  8.1012060 5.441700e-16
#> Gymnasium:memploymentparttime    0.9372429 0.34536421  2.7137813 6.652007e-03
#> Gymnasium:memploymentnone        1.1007579 0.35842760  3.0710746 2.132898e-03
#> Gymnasium:log(income)            1.6676745 0.28408439  5.8703492 4.348783e-09
 
## alternatively
library("mlogit")
gsoep_mnl2 <- mlogit(school ~ 0 | meducation + memployment + log(income) +
  log(size) + parity + year2, data = gsoep, shape = "wide", reflevel = "Hauptschule")
coeftest(gsoep_mnl2)[1:12,]
#>                                   Estimate Std. Error   t value     Pr(>|t|)
#> (Intercept):Gymnasium          -23.6982768 3.01026604 -7.872486 1.475202e-14
#> (Intercept):Realschule          -6.3865987 2.36904833 -2.695850 7.204061e-03
#> meducation:Gymnasium             0.6597829 0.08144157  8.101304 2.726719e-15
#> meducation:Realschule            0.3004923 0.07910725  3.798543 1.593085e-04
#> memploymentparttime:Gymnasium    0.9372401 0.34536576  2.713761 6.830145e-03
#> memploymentparttime:Realschule   0.4933644 0.32189760  1.532675 1.258463e-01
#> memploymentnone:Gymnasium        1.1007670 0.35842942  3.071084 2.222541e-03
#> memploymentnone:Realschule       0.7526490 0.32884523  2.288764 2.241551e-02
#> log(income):Gymnasium            1.6677258 0.28408738  5.870468 6.954975e-09
#> log(income):Realschule           0.3934899 0.22539876  1.745750 8.133056e-02
#> log(size):Gymnasium             -1.5459256 0.48775919 -3.169444 1.599570e-03
#> log(size):Realschule            -1.1921835 0.44641174 -2.670592 7.762668e-03

## Table 5.2
library("effects")
gsoep_eff <- effect("meducation", gsoep_mnl,
  xlevels = list(meducation = sort(unique(gsoep$meducation))))
gsoep_eff$prob
#>       prob.Hauptschule prob.Realschule prob.Gymnasium
#>  [1,]      0.686724467      0.24514452     0.06813102
#>  [2,]      0.494486442      0.32195219     0.18356137
#>  [3,]      0.385007121      0.33853566     0.27645721
#>  [4,]      0.331068546      0.33830072     0.33063074
#>  [5,]      0.279605513      0.33203209     0.38836239
#>  [6,]      0.231922018      0.32005576     0.44802222
#>  [7,]      0.189019319      0.30313717     0.50784351
#>  [8,]      0.119575666      0.25898492     0.62143941
#>  [9,]      0.093066080      0.23424613     0.67268779
#> [10,]      0.071541719      0.20926168     0.71919660
#> [11,]      0.054404764      0.18493393     0.76066131
#> [12,]      0.040990572      0.16192466     0.79708477
#> [13,]      0.022753542      0.12138826     0.85585820
#> [14,]      0.006601958      0.06423885     0.92915919
plot(gsoep_eff, confint = FALSE)


## Table 5.3, odds
exp(coef(gsoep_mnl)[, "meducation"])
#> Realschule  Gymnasium 
#>   1.350513   1.934338 

## all effects
eff_mnl <- allEffects(gsoep_mnl)
plot(eff_mnl, ask = FALSE, confint = FALSE)

plot(eff_mnl, ask = FALSE, style = "stacked", colors = gray.colors(3))


## omit year
gsoep_mnl1 <- multinom(
  school ~ meducation + memployment + log(income) + log(size) + parity,
  data = gsoep)
#> # weights:  24 (14 variable)
#> initial  value 741.563295 
#> iter  10 value 658.442291
#> iter  20 value 624.980518
#> final  value 624.957624 
#> converged
lrtest(gsoep_mnl, gsoep_mnl1)
#> Likelihood ratio test
#> 
#> Model 1: school ~ meducation + memployment + log(income) + log(size) + 
#>     parity + year2
#> Model 2: school ~ meducation + memployment + log(income) + log(size) + 
#>     parity
#>   #Df  LogLik  Df  Chisq Pr(>Chisq)
#> 1  30 -618.48                      
#> 2  14 -624.96 -16 12.964     0.6754
eff_mnl1 <- allEffects(gsoep_mnl1)
plot(eff_mnl1, ask = FALSE, confint = FALSE)

plot(eff_mnl1, ask = FALSE, style = "stacked", colors = gray.colors(3))



## Chapter 6
## Table 6.1
library("MASS")
gsoep$munemp <- factor(gsoep$memployment != "none",
  levels = c(FALSE, TRUE), labels = c("no", "yes"))
gsoep_pop <- polr(school ~ meducation + munemp + log(income) + log(size) + parity + year2,
  data = gsoep, method = "probit", Hess = TRUE)
gsoep_pol <- polr(school ~ meducation + munemp + log(income) + log(size) + parity + year2,
  data = gsoep, Hess = TRUE)
lrtest(gsoep_pop)
#> Error in eval(expr, p): object 'gsoep' not found
lrtest(gsoep_pol)
#> Error in eval(expr, p): object 'gsoep' not found

## Table 6.2
## todo
eff_pol <- allEffects(gsoep_pol)
plot(eff_pol, ask = FALSE, confint = FALSE)

plot(eff_pol, ask = FALSE, style = "stacked", colors = gray.colors(3))



####################################
## Labor Force Participation Data ##
####################################

## Mroz data
data("PSID1976", package = "AER")
PSID1976$nwincome <- with(PSID1976, (fincome - hours * wage)/1000)

## visualizations
plot(hours ~ nwincome, data = PSID1976,
  xlab = "Non-wife income (in USD 1000)",
  ylab = "Hours of work in 1975")


plot(jitter(hours, 200) ~ jitter(wage, 50), data = PSID1976,
  xlab = "Wife's average hourly wage (jittered)",
  ylab = "Hours of work in 1975 (jittered)")


## Chapter 1, p. 18
hours_lm <- lm(hours ~ wage + nwincome + youngkids + oldkids, data = PSID1976,
  subset = participation == "yes")

## Chapter 7
## Example 7.2, Table 7.1
hours_tobit <- tobit(hours ~ nwincome + education + experience + I(experience^2) +
  age + youngkids + oldkids, data = PSID1976)
hours_ols1 <- lm(hours ~ nwincome + education + experience + I(experience^2) +
  age + youngkids + oldkids, data = PSID1976)
hours_ols2 <- lm(hours ~ nwincome + education + experience + I(experience^2) +
  age + youngkids + oldkids, data = PSID1976, subset = participation == "yes")

## Example 7.10, Table 7.4
wage_ols <- lm(log(wage) ~ education + experience + I(experience^2),
  data = PSID1976, subset = participation == "yes")

library("sampleSelection")
wage_ghr <- selection(participation ~ nwincome + age + youngkids + oldkids +
  education + experience + I(experience^2), 
  log(wage) ~ education + experience + I(experience^2), data = PSID1976)

## Exercise 7.13
hours_cragg1 <- glm(participation ~ nwincome + education +
  experience + I(experience^2) + age + youngkids + oldkids,
  data = PSID1976, family = binomial(link = "probit"))
library("truncreg")
hours_cragg2 <- truncreg(hours ~ nwincome + education +
  experience + I(experience^2) + age + youngkids + oldkids,
  data = PSID1976, subset = participation == "yes")

## Exercise 7.15
wage_olscoef <- sapply(c(-Inf, 0.5, 1, 1.5, 2), function(censpoint)
  coef(lm(log(wage) ~ education + experience + I(experience^2),
  data = PSID1976[log(PSID1976$wage) > censpoint,])))
wage_mlcoef <- sapply(c(0.5, 1, 1.5, 2), function(censpoint)
  coef(tobit(log(wage) ~ education + experience + I(experience^2),
  data = PSID1976, left = censpoint)))


##################################
## Choice of Brand for Crackers ##
##################################

## data
library("mlogit")
data("Cracker", package = "mlogit")
head(Cracker, 3)
#>   id disp.sunshine disp.keebler disp.nabisco disp.private feat.sunshine
#> 1  1             0            0            0            0             0
#> 2  1             0            0            0            0             0
#> 3  1             1            0            0            0             0
#>   feat.keebler feat.nabisco feat.private price.sunshine price.keebler
#> 1            0            0            0             98            88
#> 2            0            0            0             99           109
#> 3            0            0            0             49           109
#>   price.nabisco price.private   choice
#> 1           120            71  nabisco
#> 2            99            71  nabisco
#> 3           109            78 sunshine
crack <- mlogit.data(Cracker, varying = 2:13, shape = "wide", choice = "choice")
head(crack, 12)
#> ~~~~~~~
#>  first 12 observations out of 13168 
#> ~~~~~~~
#>    id choice      alt disp feat price chid    idx
#> 1   1  FALSE  keebler    0    0    88    1 1:bler
#> 2   1   TRUE  nabisco    0    0   120    1 1:isco
#> 3   1  FALSE  private    0    0    71    1 1:vate
#> 4   1  FALSE sunshine    0    0    98    1 1:hine
#> 5   1  FALSE  keebler    0    0   109    2 2:bler
#> 6   1   TRUE  nabisco    0    0    99    2 2:isco
#> 7   1  FALSE  private    0    0    71    2 2:vate
#> 8   1  FALSE sunshine    0    0    99    2 2:hine
#> 9   1  FALSE  keebler    0    0   109    3 3:bler
#> 10  1  FALSE  nabisco    0    0   109    3 3:isco
#> 11  1  FALSE  private    0    0    78    3 3:vate
#> 12  1   TRUE sunshine    1    0    49    3 3:hine
#> 
#> ~~~ indexes ~~~~
#>    chid      alt
#> 1     1  keebler
#> 2     1  nabisco
#> 3     1  private
#> 4     1 sunshine
#> 5     2  keebler
#> 6     2  nabisco
#> 7     2  private
#> 8     2 sunshine
#> 9     3  keebler
#> 10    3  nabisco
#> 11    3  private
#> 12    3 sunshine
#> indexes:  1, 2 

## Table 5.6 (model 3 probably not fully converged in W&B)
crack$price <- crack$price/100
crack_mlogit1 <- mlogit(choice ~ price | 0, data = crack, reflevel = "private")
crack_mlogit2 <- mlogit(choice ~ price | 1, data = crack, reflevel = "private")
crack_mlogit3 <- mlogit(choice ~ price + feat + disp | 1, data = crack,
  reflevel = "private")
lrtest(crack_mlogit1, crack_mlogit2, crack_mlogit3)
#> Likelihood ratio test
#> 
#> Model 1: choice ~ price | 0
#> Model 2: choice ~ price | 1
#> Model 3: choice ~ price + feat + disp | 1
#>   #Df  LogLik Df    Chisq Pr(>Chisq)    
#> 1   1 -4498.5                           
#> 2   4 -3364.9  3 2267.243  < 2.2e-16 ***
#> 3   6 -3347.7  2   34.376   3.43e-08 ***
#> ---
#> Signif. codes:  0 ‘***’ 0.001 ‘**’ 0.01 ‘*’ 0.05 ‘.’ 0.1 ‘ ’ 1

## IIA test
crack_mlogit_all <- update(crack_mlogit2, reflevel = "nabisco")
crack_mlogit_res <- update(crack_mlogit_all,
  alt.subset = c("keebler", "nabisco", "sunshine"))
hmftest(crack_mlogit_all, crack_mlogit_res)
#> 
#> 	Hausman-McFadden test
#> 
#> data:  crack
#> chisq = 51.592, df = 3, p-value = 3.659e-11
#> alternative hypothesis: IIA is rejected
#> 
# }