Plotting method for objects of class "zoo".

# S3 method for class 'zoo'
plot(x, y = NULL, screens, plot.type,
  panel = lines, xlab = "Index", ylab = NULL, main = NULL,
  xlim = NULL, ylim = NULL, xy.labels = FALSE, xy.lines = NULL,
  yax.flip = FALSE, oma = c(6, 0, 5, 0),
  mar = c(0, 5.1, 0, if(yax.flip) 5.1 else 2.1), 
  col = 1, lty = 1, lwd = 1, pch = 1, type = "l", log = "",
  nc, widths = 1, heights = 1, ...)
# S3 method for class 'zoo'
lines(x, y = NULL, type = "l", ...)
# S3 method for class 'zoo'
points(x, y = NULL, type = "p", ...)

Arguments

x

an object of class "zoo".

y

an object of class "zoo". If y is NULL (the default) a time series plot of x is produced, otherwise if both x and y are univariate "zoo" series, a scatter plot of y versus x is produced.

screens

factor (or coerced to factor) whose levels specify which graph each series is to be plotted in. screens=c(1,2,1) would plot series 1, 2 and 3 in graphs 1, 2 and 1. If not specified then 1 is used if plot.type="single" and seq_len(ncol(x)) otherwise.

plot.type

for multivariate zoo objects, "multiple" plots the series on multiple plots and "single" superimposes them on a single plot. Default is "single" if screens has only one level and "multiple" otherwise. If neither screens nor plot.type is specified then "single" is used if there is one series and "mulitple" otherwise. This option is provided for back compatibility. Usually screens is used instead.

panel

a function(x, y, col, lty, ...) which gives the action to be carried out in each panel of the display for plot.type = "multiple".

ylim

if plot.type = "multiple" then it can be a list of y axis limits. If not a list each graph has the same limits. If any list element is not a pair then its range is used instead. If plot.type = "single" then it is as in plot.

xy.labels

logical, indicating if text labels should be used in the scatter plot, or character, supplying a vector of labels to be used.

xy.lines

logical, indicating if lines should be drawn in the scatter plot. Defaults to the value of xy.labels if that is logical, otherwise to FALSE.

yax.flip

logical, indicating if the y-axis (ticks and numbering) should flip from side 2 (left) to 4 (right) from series to series when type = "multiple".

xlab, ylab, main, xlim, oma, mar

graphical arguments, see par.

col, lty, lwd, pch, type

graphical arguments that can be vectors or (named) lists. See the details for more information.

log

specification of log scales as "x", "y" or "xy".

nc

the number of columns to use when plot.type = "multiple". Defaults to 1 for up to 4 series, otherwise to 2.

widths, heights

widths and heights for individual graphs, see layout.

...

additional graphical arguments.

Details

The methods for plot and lines are very similar to the corresponding ts methods. However, the handling of several graphical parameters is more flexible for multivariate series. These parameters can be vectors of the same length as the number of series plotted or are recycled if shorter. They can also be (partially) named list, e.g., list(A = c(1,2), c(3,4)) in which c(3, 4) is the default value and c(1, 2) the value only for series A. The screens argument can be specified in a similar way. If plot.type and screens conflict then multiple plots will be assumed. Also see the examples.

In the case of a custom panel the panel can reference parent.frame$panel.number in order to determine which frame the panel is being called from. See examples.

par(mfrow=...) and Axis can be used in conjunction with single panel plots in the same way as with other classic graphics.

For multi-panel graphics, plot.zoo takes over the layout so par(mfrow=...) cannot be used. Axis can be used within the panels themselves but not outside the panel. See examples. Also, par(new = TRUE) is not supported for multi-panel graphics.

In addition to classical time series line plots, there is also a simple barplot method for "zoo" series. Additionally, there is a boxplot method that visualizes the coredata of the "zoo" series with a box plot.

Examples

## example dates
x.Date <- as.Date(paste(2003, 02, c(1, 3, 7, 9, 14), sep = "-"))

## univariate plotting
x <- zoo(rnorm(5), x.Date)
x2 <- zoo(rnorm(5, sd = 0.2), x.Date)
plot(x)
lines(x2, col = 2)


## multivariate plotting
z <- cbind(x, x2, zoo(rnorm(5, sd = 0.5), x.Date))
plot(z, type = "b", pch = 1:3, col = 1:3, ylab = list(expression(mu), "b", "c"))

colnames(z) <- LETTERS[1:3]
plot(z, screens = 1, col = list(B = 2))

plot(z, type = "b", pch = 1:3, col = 1:3)

plot(z, type = "b", pch = list(A = 1:5, B = 3), col = list(C = 4, 2))

plot(z, type = "b", screen = c(1,2,1), col = 1:3)

# right axis is for broken lines
plot(x)
opar <- par(usr = c(par("usr")[1:2], range(x2)))
lines(x2, lty = 2)
# axis(4)
axis(side = 4)

par(opar)


## Custom x axis labelling using a custom panel.
# 1. test data
z <- zoo(c(21, 34, 33, 41, 39, 38, 37, 28, 33, 40), 
     as.Date(c("1992-01-10", "1992-01-17", "1992-01-24", "1992-01-31", 
       "1992-02-07", "1992-02-14", "1992-02-21", "1992-02-28", "1992-03-06", 
       "1992-03-13")))
zz <- merge(a = z, b = z+10)
# 2. axis tick for every point. Also every 3rd point labelled.
my.panel <- function(x, y, ..., pf = parent.frame()) {
   fmt <- "%b-%d" # format for axis labels
   lines(x, y, ...)
   # if bottom panel
   if (with(pf, length(panel.number) == 0 || 
        panel.number %% nr == 0 || panel.number == nser)) { 
      # create ticks at x values and then label every third tick
      axis(side = 1, at = x, labels = FALSE)
      ix <- seq(1, length(x), 3)
      labs <- format(x, fmt)
      axis(side = 1, at = x[ix], labels = labs[ix], tcl = -0.7, cex.axis = 0.7)
   }
}
# 3. plot
plot(zz, panel = my.panel, xaxt = "n")


# with a single panel plot a fancy x-axis is just the same
# procedure as for the ordinary plot command
plot(zz, screen = 1, col = 1:2, xaxt = "n")
# axis(1, at = time(zz), labels = FALSE)
tt <- time(zz)
axis(side = 1, at = tt, labels = FALSE)
ix <- seq(1, length(tt), 3)
fmt <- "%b-%d" # format for axis labels
labs <- format(tt, fmt)
# axis(1, at = time(zz)[ix], labels = labs[ix], tcl = -0.7, cex.axis = 0.7)
axis(side = 1, at = tt[ix], labels = labs[ix], tcl = -0.7, cex.axis = 0.7)
legend("bottomright", colnames(zz), lty = 1, col = 1:2)


## plot a mulitple ts series with nice x-axis using panel function
tab <- ts(cbind(A = 1:24, B = 24:1), start = c(2006, 1), freq = 12)
pnl.xaxis <- function(...) {
     lines(...)
     panel.number <- parent.frame()$panel.number
     nser <- parent.frame()$nser
     # if bottom panel
     if (!length(panel.number) || panel.number == nser) { 
           tt <- list(...)[[1]]
           ym <- as.yearmon(tt)
     mon <- as.numeric(format(ym, "%m"))
     yy <- format(ym, "%y")
     mm <- substring(month.abb[mon], 1, 1)
       if (any(mon == 1))
      # axis(1, tt[mon == 1], yy[mon == 1], cex.axis = 0.7)
      axis(side = 1, at = tt[mon == 1], labels = yy[mon == 1], cex.axis = 0.7)
     # axis(1, tt[mon > 1], mm[mon > 1], cex.axis = 0.5, tcl = -0.3)
     axis(side = 1, at = tt[mon > 1], labels = mm[mon > 1], cex.axis = 0.5, tcl = -0.3)
     }
}
plot(as.zoo(tab), panel = pnl.xaxis, xaxt = "n", main = "Fancy X Axis")


## Another example with a custom axis
# test data
z <- zoo(matrix(1:25, 5), c(10,11,20,21))
colnames(z) <- letters[1:5]

plot(zoo(coredata(z)), xaxt = "n", panel = function(x, y, ..., Time = time(z)) {
    lines(x, y, ...)
    # if bottom panel
    pf <- parent.frame()
    if (with(pf, panel.number %% nr == 0 || panel.number == nser)) {
        axis(side = 1, at = x, labels = Time)
    }
})



## plot with left and right axes
## modified from http://www.mayin.org/ajayshah/KB/R/html/g6.html
suppressWarnings(RNGversion("3.5.0"))
set.seed(1)
z <- zoo(cbind(A = cumsum(rnorm(100)), B = cumsum(rnorm(100, mean = 0.2))))
opar <- par(mai = c(.8, .8, .2, .8))
plot(z[,1], type = "l", 
  xlab = "x-axis label", ylab = colnames(z)[1])
par(new = TRUE)
plot(z[,2], type = "l", ann = FALSE, yaxt = "n", col = "blue")
# axis(4)
axis(side = 4)
legend(x = "topleft", bty = "n", lty = c(1,1), col = c("black", "blue"),
  legend = paste(colnames(z), c("(left scale)", "(right scale)")))
usr <- par("usr")
# if you don't care about srt= in text then mtext is shorter:
#   mtext(colnames(z)[2], 4, 2, col = "blue")
text(usr[2] + .1 * diff(usr[1:2]), mean(usr[3:4]), colnames(z)[2],
  srt = -90, xpd = TRUE, col = "blue")

par(opar)


## another plot with left and right axes
## modified from https://stat.ethz.ch/pipermail/r-help/2014-May/375293.html
d1 <- c(38.2, 18.1, 83.2, 42.7, 22.8, 48.1, 81.8, 129.6, 52.0, 110.3)
d2 <- c(2.2, 0.8, 0.7, 1.6, 0.9, 0.9, 1.1, 2.8, 5.1, 2.1)
z1 <- zooreg(d1, start = as.POSIXct("2013-01-01 00:00:01"), frequency = 0.0000006)
z2 <- zooreg(d2, start = as.POSIXct("2013-01-01 00:00:20"), frequency = 0.0000006)
zt <- zooreg(rnorm(1050), start = as.POSIXct("2013-01-01 00:00:01"), frequency = 0.00007)
z <- merge(zt, z1, z2, all = TRUE)
z <- na.spline(z[,2:3], na.rm = FALSE)
## function to round up to a number divisible by n (2011 by Owen Jones)
roundup <- function(x, n) ceiling(ceiling(x)/n) * n
## plot how to match secondary y-axis ticks to primary ones
plot(z$z1, ylim = c(0, signif(max(na.omit(z$z1)), 2)), xlab = "")
## use multiplication for even tick numbers and fake sekondary y-axis
max.yl <- roundup(max(na.omit(z$z2)), par("yaxp")[3])
multipl.yl <- max(na.omit(z$z2)) / max.yl
multipl.z2 <- signif(max(na.omit(z$z1) * 1.05), 2)/max.yl
lines(z$z2 * multipl.z2, lty = 2)
at4 <- axTicks(4)
axis(4, at = at4, seq(0, max.yl, length.out = par("yaxp")[3] + 1))



# automatically placed point labels
if (FALSE) { # \dontrun{
library("maptools")
pointLabel(time(z), coredata(z[,2]), labels = format(time(z)), cex = 0.5)
} # }

## plot one zoo series against the other.
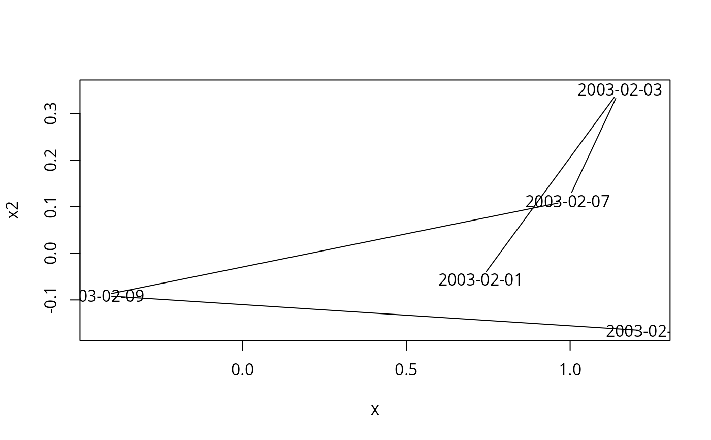
plot(x, x2)

plot(x, x2, xy.labels = TRUE)

plot(x, x2, xy.labels = 1:5, xy.lines = FALSE)


## shade a portion of a plot and make axis fancier

v <- zooreg(rnorm(50), start = as.yearmon(2004), freq = 12)

plot(v, type = "n")
u <- par("usr")
rect(as.yearmon("2007-8"), u[3], as.yearmon("2009-11"), u[4], 
   border = 0, col = "grey")
lines(v)
axis(1, floor(time(v)), labels = FALSE, tcl = -1)


## shade certain times to show recessions, etc.
v <- zooreg(rnorm(50), start = as.yearmon(2004), freq = 12)
plot(v, type = "n")
u <- par("usr")
rect(as.yearmon("2007-8"), u[3], as.yearmon("2009-11"), u[4], 
   border = 0, col = "grey")
lines(v)
axis(1, floor(time(v)), labels = FALSE, tcl = -1)


## fill area under plot

pnl.xyarea <- function(x, y, fill.base = 0, col = 1, ...) {
       lines(x, y, ...)
       panel.number <- parent.frame()$panel.number
     col <- rep(col, length = panel.number)[panel.number]
       polygon(c(x[1], x, tail(x, 1), x[1]), 
    c(fill.base, as.numeric(y), fill.base, fill.base), col = col)
}
plot(zoo(EuStockMarkets), col = rainbow(4), panel = pnl.xyarea)



## barplot
x <- zoo(cbind(rpois(5, 2), rpois(5, 3)), x.Date)
barplot(x, beside = TRUE)


## boxplot
boxplot(x)


## 3d plot
## The persp function in R (not part of zoo) works with zoo objects.
## The following example is by Enrico Schumann.
## https://stat.ethz.ch/pipermail/r-sig-finance/2009q1/003710.html
nC <- 10    # columns
nO <- 100 # observations
dataM <- array(runif(nC * nO), dim=c(nO, nC))
zz <- zoo(dataM, 1:nO)
persp(1:nO, 1:nC, zz)


# interactive plotting
if (FALSE) { # \dontrun{
library("TeachingDemos")
tke.test1 <- list(Parameters = list(
  lwd = list("spinbox", init = 1, from = 0, to = 5, increment = 1, width = 5),
  lty = list("spinbox", init = 1, from = 0, to = 6, increment = 1, width = 5)
))
z <- zoo(rnorm(25))
tkexamp(plot(z), tke.test1, plotloc = "top")
} # }

# setting ylim on a multi-panel plot - 2nd panel y axis range is 1-50
data("anscombe", package = "datasets")
ans6 <- zoo(anscombe[, 1:6])
screens <- c(1, 1, 2, 2, 3, 3)
ylim <- unname(tapply(as.list(ans6), screens, range))
ylim[[2]] <- 1:50 # or ylim[[2]] <- c(1, 50)
plot(ans6, screens = screens, ylim = ylim)