Skip to contents

Performs detrended correspondence analysis and basic reciprocal averaging or orthogonal correspondence analysis.

Usage

decorana(veg, iweigh=0, iresc=4, ira=0, mk=26, short=0,
         before=NULL, after=NULL)

# S3 method for class 'decorana'
plot(x, choices=c(1,2), origin=TRUE,
     display=c("both","sites","species","none"),
     cex = 0.7, cols = c(1,2), type, xlim, ylim, ...)

# S3 method for class 'decorana'
text(x, display = c("sites", "species"), labels,
     choices = 1:2, origin = TRUE, select,  ...)

# S3 method for class 'decorana'
points(x, display = c("sites", "species"),
       choices=1:2, origin = TRUE, select, ...)

# S3 method for class 'decorana'
scores(x, display="sites", choices=1:4,
       origin=TRUE, tidy=FALSE, ...)

downweight(veg, fraction = 5)

Arguments

veg

Community data, a matrix-like object.

iweigh

Downweighting of rare species (0: no).

iresc

Number of rescaling cycles (0: no rescaling).

ira

Type of analysis (0: detrended, 1: basic reciprocal averaging).

mk

Number of segments in rescaling.

short

Shortest gradient to be rescaled.

before

Hill's piecewise transformation: values before transformation.

after

Hill's piecewise transformation: values after transformation – these must correspond to values in before.

x

A decorana result object.

choices

Axes shown.

origin

Use true origin even in detrended correspondence analysis.

display

Display only sites, only species, both or neither.

cex

Plot character size.

cols

Colours used for sites and species.

type

Type of plots, partial match to "text", "points" or "none".

labels

Optional text to be used instead of row names. If select is used, labels are given only to selected items in the order they occur in the scores.

select

Items to be displayed. This can either be a logical vector which is TRUE for displayed items or a vector of indices or names (labels) of scores.

xlim, ylim

the x and y limits (min,max) of the plot.

fraction

Abundance fraction where downweighting begins.

tidy

Return scores that are compatible with ggplot2: all scores are in a single data.frame, score type is identified by factor variable score ("sites", "species"), the names by variable label. These scores are incompatible with conventional plot functions, but they can be used in ggplot2.

...

Other arguments for plot function.

Details

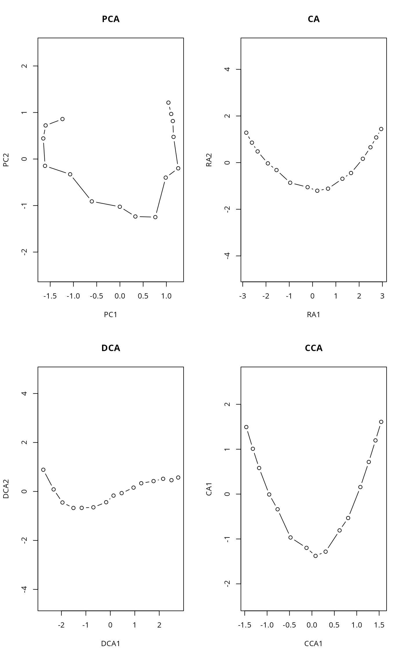
In late 1970s, correspondence analysis became the method of choice for ordination in vegetation science, since it seemed better able to cope with non-linear species responses than principal components analysis. However, even correspondence analysis can produce an arc-shaped configuration of a single gradient. Mark Hill developed detrended correspondence analysis to correct two assumed ‘faults’ in correspondence analysis: curvature of straight gradients and packing of sites at the ends of the gradient.

The curvature is removed by replacing the orthogonalization of axes with detrending. In orthogonalization successive axes are made non-correlated, but detrending should remove all systematic dependence between axes. Detrending is performed using a smoothing window on mk segments. The packing of sites at the ends of the gradient is undone by rescaling the axes after extraction. After rescaling, the axis is supposed to be scaled by ‘SD’ units, so that the average width of Gaussian species responses is supposed to be one over whole axis. Other innovations were the piecewise linear transformation of species abundances and downweighting of rare species which were regarded to have an unduly high influence on ordination axes.

It seems that detrending actually works by twisting the ordination space, so that the results look non-curved in two-dimensional projections (‘lolly paper effect’). As a result, the points usually have an easily recognized triangular or diamond shaped pattern, obviously an artefact of detrending. Rescaling works differently than commonly presented, too. decorana does not use, or even evaluate, the widths of species responses. Instead, it tries to equalize the weighted standard deviation of species scores on axis segments (parameter mk has no effect, since decorana finds the segments internally). Function tolerance returns this internal criterion and can be used to assess the success of rescaling.

The plot method plots species and site scores. Classical decorana scaled the axes so that smallest site score was 0 (and smallest species score was negative), but summary, plot and scores use the true origin, unless origin = FALSE.

In addition to proper eigenvalues, the function reports ‘decorana values’ in detrended analysis. These ‘decorana values’ are the values that the legacy code of decorana returns as eigenvalues. They are estimated during iteration, and describe the joint effects of axes and detrending. The ‘decorana values’ are estimated before rescaling and do not show its effect on eigenvalues. The proper eigenvalues are estimated after extraction of the axes and they are the ratio of weighted sum of squares of site and species scores even in detrended and rescaled solutions. These eigenvalues are estimated for each axis separately, but they are not additive, because higher decorana axes can show effects already explained by prior axes. ‘Additive eigenvalues’ are cleansed from the effects of prior axes, and they can be assumed to add up to total inertia (scaled Chi-square). For proportions and cumulative proportions explained you can use eigenvals.decorana.

Value

decorana returns an object of class "decorana", which has print, summary, scores, plot, points and text methods, and support functions eigenvals, bstick, screeplot, predict and tolerance. downweight is an independent function that can also be used with other methods than decorana.

References

Hill, M.O. and Gauch, H.G. (1980). Detrended correspondence analysis: an improved ordination technique. Vegetatio 42, 47–58.

Oksanen, J. and Minchin, P.R. (1997). Instability of ordination results under changes in input data order: explanations and remedies. Journal of Vegetation Science 8, 447–454.

Author

Mark O. Hill wrote the original Fortran code, the R port was by Jari Oksanen.

Note

decorana uses the central numerical engine of the original Fortran code (which is in the public domain), or about 1/3 of the original program. I have tried to implement the original behaviour, although a great part of preparatory steps were written in R language, and may differ somewhat from the original code. However, well-known bugs are corrected and strict criteria used (Oksanen & Minchin 1997).

Please note that there really is no need for piecewise transformation or even downweighting within decorana, since there are more powerful and extensive alternatives in R, but these options are included for compliance with the original software. If a different fraction of abundance is needed in downweighting, function downweight must be applied before decorana. Function downweight indeed can be applied prior to correspondence analysis, and so it can be used together with cca, too.

Github package natto has an R implementation of decorana which allows easier inspection of the algorithm and also easier development of the function.

vegan 2.6-6 and earlier had a summary method, but it did nothing useful and is now defunct. All its former information can be extracted with scores or weights.decorana.

See also

For unconstrained ordination, non-metric multidimensional scaling in monoMDS may be more robust (see also metaMDS). Constrained (or ‘canonical’) correspondence analysis can be made with cca. Orthogonal correspondence analysis can be made with decorana or cca, but the scaling of results vary (and the one in decorana corresponds to scaling = "sites" and hill = TRUE in cca.). See predict.decorana for adding new points to an ordination.

Examples

data(varespec)
vare.dca <- decorana(varespec)
vare.dca
#> 
#> Call:
#> decorana(veg = varespec) 
#> 
#> Detrended correspondence analysis with 26 segments.
#> Rescaling of axes with 4 iterations.
#> Total inertia (scaled Chi-square): 2.0832 
#> 
#>                        DCA1   DCA2    DCA3    DCA4
#> Eigenvalues          0.5235 0.3253 0.20010 0.19176
#> Additive Eigenvalues 0.5235 0.3217 0.17919 0.11922
#> Decorana values      0.5249 0.1572 0.09669 0.06075
#> Axis lengths         2.8161 2.2054 1.54650 1.64864
#> 
plot(vare.dca)


### the detrending rationale:
gaussresp <- function(x,u) exp(-(x-u)^2/2)
x <- seq(0,6,length=15) ## The gradient
u <- seq(-2,8,len=23)   ## The optima
pack <- outer(x,u,gaussresp)
matplot(x, pack, type="l", main="Species packing")

opar <- par(mfrow=c(2,2))
plot(scores(prcomp(pack)), asp=1, type="b", main="PCA")
plot(scores(decorana(pack, ira=1)), asp=1, type="b", main="CA")
plot(scores(decorana(pack)), asp=1, type="b", main="DCA")
plot(scores(cca(pack ~ x), dis="sites"), asp=1, type="b", main="CCA")


### Let's add some noise:
noisy <- (0.5 + runif(length(pack)))*pack
par(mfrow=c(2,1))
matplot(x, pack, type="l", main="Ideal model")
matplot(x, noisy, type="l", main="Noisy model")

par(mfrow=c(2,2))
plot(scores(prcomp(noisy)), type="b", main="PCA", asp=1)
plot(scores(decorana(noisy, ira=1)), type="b", main="CA", asp=1)
plot(scores(decorana(noisy)), type="b", main="DCA", asp=1)
plot(scores(cca(noisy ~ x), dis="sites"), asp=1, type="b", main="CCA")

par(opar)