Computes Weighted Averages scores of species for ordination configuration or for environmental variables.

wascores(x, w, expand = FALSE, stdev = FALSE)
eigengrad(x, w)
# S3 method for class 'wascores'
scores(x, display = c("wa", "stdev", "var", "se", "n2", "raw"), ...)

Arguments

x

Environmental variables or ordination scores, or for wascores object with stdev = TRUE.

w

Weights: species abundances.

expand

Expand weighted averages so that they have the same weighted variance as the corresponding environmental variables.

stdev

Estimate weighted standard deviation of WA scores.

display

Type of scores returned.

...

Other arguments passed to functions (currently ignored).

Details

Weighted Averages are a classical way of estimating the species optima along continuous environmental variables (a.k.a. gradients). Function wascores is a simple function that is mainly designed to add species scores to unimodal ordinations (metaMDS, sppscores) or ordering rows or columns to give diagonal pattern of tabulation (vegemite, tabasco). It can also be used to find species “optima” or sampling unit calibrations for community data. For this purpose, specialized packages such analogue are recommended (but see calibrate.cca).

First argument of wascores is the variable or a matrix of variables for which weighted averages are needed, and the second argument is the matrix of weights. In classical approaches weights are a community matrix, where taxon abundances define the weights. The number of rows must match. If the first argument is for taxa (columns), community weight matrix must be transposed.

Weighted averages “shrink”: they cannot be more extreme than values used for calculating the averages. With expand = TRUE, the function “deshrinks” the weighted averages making their weighted variance equal to the weighted variance of the corresponding input variable. Specialized packages (such as analogue) offer a wider range of deshrinking alternatives, but deshrinking can also made after the analysis (see Examples). Function eigengrad returns the strength of expansion as attribute shrinkage of the wascores result for each environmental gradient. The shrinkage equal to the constrained eigenvalue of cca when only this one gradient was used as a constraint, and describes the strength of the gradient.

With stdev = TRUE the function estimates the unbiased weighted standard deviation of the WA estimates using cov.wt. For unbiased standard deviation the virtual number of observations is equal to inverse Simpson index of diversity also known as Hill number N2 (see diversity). The numeric results can be accessed with scores function. Function tolerance uses the same algebra for weighted standard deviation, but bases the variance on linear combination scores (constaints) variables instead of the weighted averages of the sites like wascores.

Weighted averages are closely linked to correspondence analysis (ca, cca). Repeated use of wascores will converge to the first axis of unconstrained correspondence analysis (ca) which therefore is also known as Reciprocal Averaging (Hill 1973). Constrained correspondence analysis (cca) is equivalent to weighted averages and calibrate.cca will return weighted averages of the constraint with different deshrinking.

Value

If stdev = TRUE, function returns an object of class "wascores" with items

wa

A matrix of weighted averages with. If expand=TRUE, attribute shrinkage has the inverses of squared expansion factors or cca eigenvalues for the variable and attribute centre for the weighted means of the variables.

stdev

a matrix of weighted standard deviations

n2

effective sample sizes which are equal to inverse Simpson diversity or Hill number N2

If stdev = FALSE (default), only the plain matrix wa is returned. Function eigengrad returns only the shrinkage attribute. With stdev = TRUE only a brief summary of the result is printed, and the individvual scores can be accessed with scores function.

Author

Jari Oksanen

References

Hill, M.O. (1973) Reciprocal averaging: An eigenvector method of ordination. Journal of Ecology 61, 237–249.

Examples

data(mite, mite.env)
## add species points to ordination
mod <- monoMDS(vegdist(mite))
plot(mod)
## add species points; sppscores does the same and can also add the
## species scores to mod
points(wascores(scores(mod), mite, expand = TRUE), pch="+", col=2)

## Get taxon optima for WatrCont
head(wascores(mite.env$WatrCont, mite))
#>             [,1]
#> Brachy  360.4302
#> PHTH    292.0329
#> HPAV    392.4000
#> RARD    277.4195
#> SSTR    359.1609
#> Protopl 248.4969
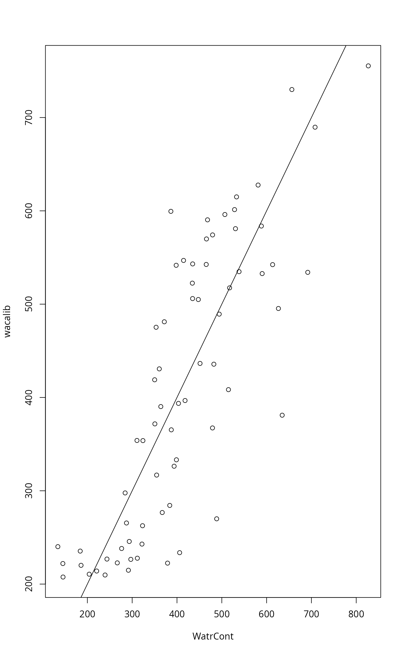
## WA calibration: site WA from species WA; NB using transpose for site WA
spwa <- wascores(mite.env$WatrCont, mite, expand = TRUE)
wacalib <- wascores(spwa, t(mite), expand = TRUE)
plot(wacalib ~ WatrCont, data=mite.env)
abline(0, 1)

## use traditional 'inverse' regression deshrinking instead of wascores
## 'expand'
wareg <- fitted(lm(WatrCont ~ wacalib, data=mite.env))
head(cbind("WatrCont" = mite.env$WatrCont, "expand" = drop(wacalib),
    "regression" = wareg))
#>   WatrCont   expand regression
#> 1   350.15 418.9468   418.3084
#> 2   434.81 505.9779   484.6130
#> 3   371.72 481.1096   465.6672
#> 4   360.50 430.6437   427.2198
#> 5   204.13 210.6019   259.5811
#> 6   311.55 227.7218   272.6239
## Reciprocal Averaging algorithm for Correspondence Analysis
## start with random values
u <- runif(nrow(mite))
## repeat the following steps so long that the shrinkage converges
v <- wascores(u, mite, expand = TRUE)
u <- wascores(v, t(mite), expand = TRUE)
attr(u, "shrinkage") # current estimate of eigenvalue
#> [1] 0.1076549
## The strengths of two continuous variables in the data set
eigengrad(mite.env[, 1:2], mite)
#>   SubsDens   WatrCont 
#> 0.09996798 0.39512786