Individual (for count data) or incidence (for presence-absence data) based null models can be generated for community level simulations. Options for preserving characteristics of the original matrix (rows/columns sums, matrix fill) and restricted permutations (based on strata) are discussed in the Details section.

permatfull(m, fixedmar = "both", shuffle = "both", strata = NULL, 
    mtype = "count", times = 99, ...)
permatswap(m, method = "quasiswap", fixedmar="both", shuffle = "both",
    strata = NULL, mtype = "count", times = 99, 
    burnin = 0, thin = 1, ...)
# S3 method for class 'permat'
print(x, digits = 3, ...)
# S3 method for class 'permat'
summary(object, ...)
# S3 method for class 'summary.permat'
print(x, digits = 2, ...)
# S3 method for class 'permat'
plot(x, type = "bray", ylab, xlab, col, lty,
    lowess = TRUE, plot = TRUE, text = TRUE, ...)
# S3 method for class 'permat'
lines(x, type = "bray", ...)
# S3 method for class 'permat'
as.ts(x, type = "bray", ...)
# S3 method for class 'permat'
toCoda(x)

Arguments

m

A community data matrix with plots (samples) as rows and species (taxa) as columns.

fixedmar

character, stating which of the row/column sums should be preserved ("none", "rows", "columns", "both").

strata

Numeric vector or factor with length same as nrow(m) for grouping rows within strata for restricted permutations. Unique values or levels are used.

mtype

Matrix data type, either "count" for count data, or "prab" for presence-absence type incidence data.

times

Number of permuted matrices.

method

Character for method used for the swap algorithm ("swap", "tswap", "quasiswap", "backtrack") as described for function make.commsim. If mtype="count" the "quasiswap", "swap", "swsh" and "abuswap" methods are available (see details).

shuffle

Character, indicating whether individuals ("ind"), samples ("samp") or both ("both") should be shuffled, see details.

burnin

Number of null communities discarded before proper analysis in sequential ("swap", "tswap") methods.

thin

Number of discarded permuted matrices between two evaluations in sequential ("swap", "tswap") methods.

x, object

Object of class "permat"

digits

Number of digits used for rounding.

ylab, xlab, col, lty

graphical parameters for the plot method.

type

Character, type of plot to be displayed: "bray" for Bray-Curtis dissimilarities, "chisq" for Chi-squared values.

lowess, plot, text

Logical arguments for the plot method, whether a locally weighted regression curve should be drawn, the plot should be drawn, and statistic values should be printed on the plot.

...

Other arguments passed to simulate.nullmodel or methods.

Details

The function permatfull is useful when matrix fill is allowed to vary, and matrix type is count. The fixedmar argument is used to set constraints for permutation. If none of the margins are fixed, cells are randomised within the matrix. If rows or columns are fixed, cells within rows or columns are randomised, respectively. If both margins are fixed, the r2dtable function is used that is based on Patefield's (1981) algorithm. For presence absence data, matrix fill should be necessarily fixed, and permatfull is a wrapper for the function make.commsim. The r00, r0, c0, quasiswap algorithms of make.commsim are used for "none", "rows", "columns", "both" values of the fixedmar argument, respectively

The shuffle argument only have effect if the mtype = "count" and permatfull function is used with "none", "rows", "columns" values of fixedmar. All other cases for count data are individual based randomisations. The "samp" and "both" options result fixed matrix fill. The "both" option means that individuals are shuffled among non zero cells ensuring that there are no cell with zeros as a result, then cell (zero and new valued cells) are shuffled.

The function permatswap is useful when with matrix fill (i.e. the proportion of empty cells) and row/columns sums should be kept constant. permatswap uses different kinds of swap algorithms, and row and columns sums are fixed in all cases. For presence-absence data, the swap and tswap methods of make.commsim can be used. For count data, a special swap algorithm ('swapcount') is implemented that results in permuted matrices with fixed marginals and matrix fill at the same time.

The 'quasiswapcount' algorithm (method="quasiswap" and mtype="count") uses the same trick as Carsten Dormann's swap.web function in the package bipartite. First, a random matrix is generated by the r2dtable function retaining row and column sums. Then the original matrix fill is reconstructed by sequential steps to increase or decrease matrix fill in the random matrix. These steps are based on swapping 2x2 submatrices (see 'swapcount' algorithm for details) to maintain row and column totals. This algorithm generates independent matrices in each step, so burnin and thin arguments are not considered. This is the default method, because this is not sequential (as swapcount is) so independence of subsequent matrices does not have to be checked.

The swapcount algorithm (method="swap" and mtype="count") tries to find 2x2 submatrices (identified by 2 random row and 2 random column indices), that can be swapped in order to leave column and row totals and fill unchanged. First, the algorithm finds the largest value in the submatrix that can be swapped (\(d\)) and whether in diagonal or antidiagonal way. Submatrices that contain values larger than zero in either diagonal or antidiagonal position can be swapped. Swap means that the values in diagonal or antidiagonal positions are decreased by \(d\), while remaining cells are increased by \(d\). A swap is made only if fill doesn't change. This algorithm is sequential, subsequent matrices are not independent, because swaps modify little if the matrix is large. In these cases many burnin steps and thinning is needed to get independent random matrices. Although this algorithm is implemented in C, large burnin and thin values can slow it down considerably. WARNING: according to simulations, this algorithm seems to be biased and non random, thus its use should be avoided!

The algorithm "swsh" in the function permatswap is a hybrid algorithm. First, it makes binary quasiswaps to keep row and column incidences constant, then non-zero values are modified according to the shuffle argument (only "samp" and "both" are available in this case, because it is applied only on non-zero values). It also recognizes the fixedmar argument which cannot be "both" (vegan versions <= 2.0 had this algorithm with fixedmar = "none").

The algorithm "abuswap" produces two kinds of null models (based on fixedmar="columns" or fixedmar="rows") as described in Hardy (2008; randomization scheme 2x and 3x, respectively). These preserve column and row occurrences, and column or row sums at the same time. (Note that similar constraints can be achieved by the non sequential "swsh" algorithm with fixedmar argument set to "columns" or "rows", respectively.)

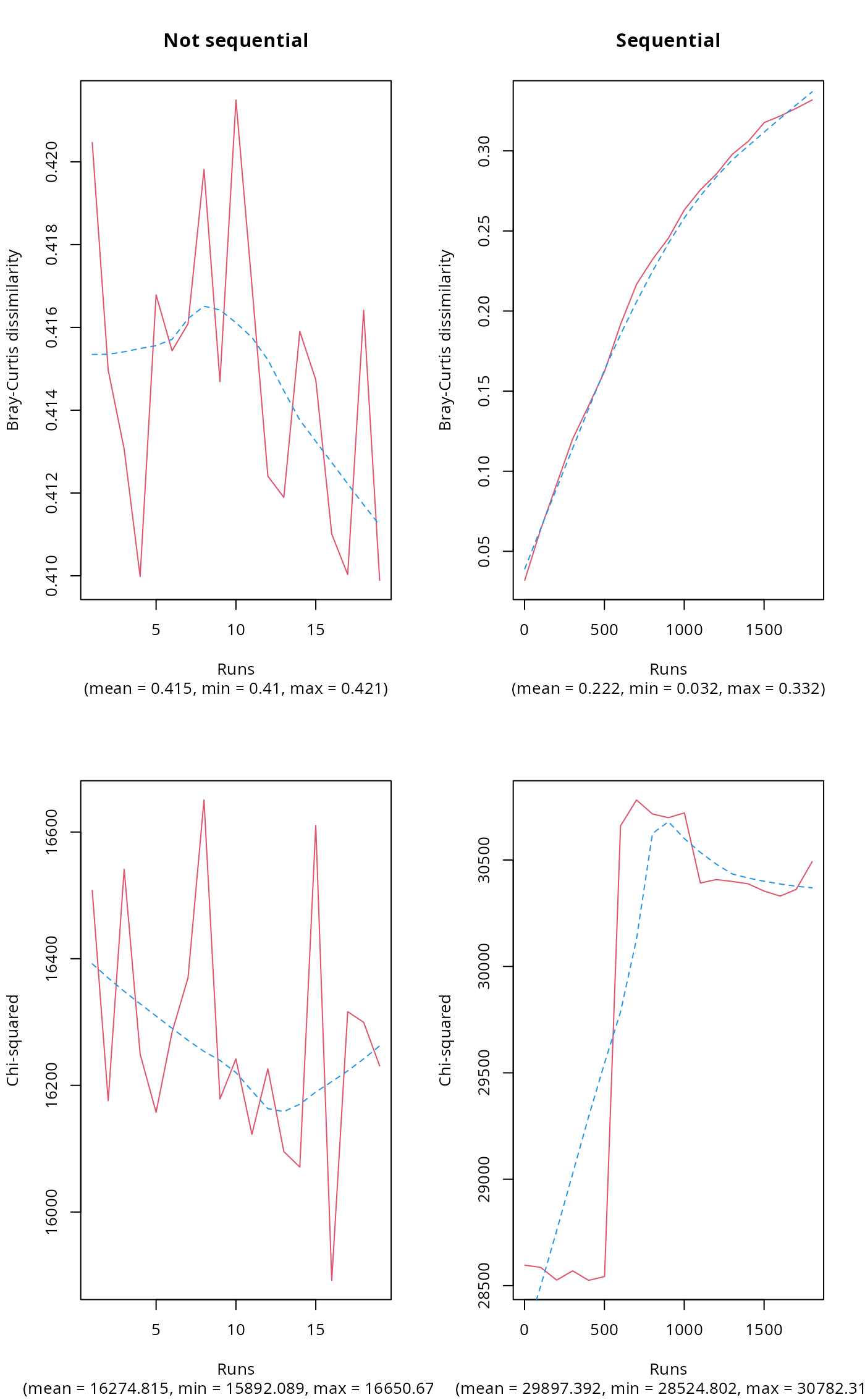
Constraints on row/column sums, matrix fill, total sum and sums within strata can be checked by the summary method. plot method is for visually testing the randomness of the permuted matrices, especially for the sequential swap algorithms. If there are any tendency in the graph, higher burnin and thin values can help for sequential methods. New lines can be added to existing plot with the lines method.

Unrestricted and restricted permutations: if strata is NULL, functions perform unrestricted permutations. Otherwise, it is used for restricted permutations. Each strata should contain at least 2 rows in order to perform randomization (in case of low row numbers, swap algorithms can be rather slow). If the design is not well balanced (i.e. same number of observations within each stratum), permuted matrices may be biased because same constraints are forced on submatrices of different dimensions. This often means, that the number of potential permutations will decrease with their dimensions. So the more constraints we put, the less randomness can be expected.

The plot method is useful for graphically testing for trend and independence of permuted matrices. This is especially important when using sequential algorithms ("swap", "tswap", "abuswap").

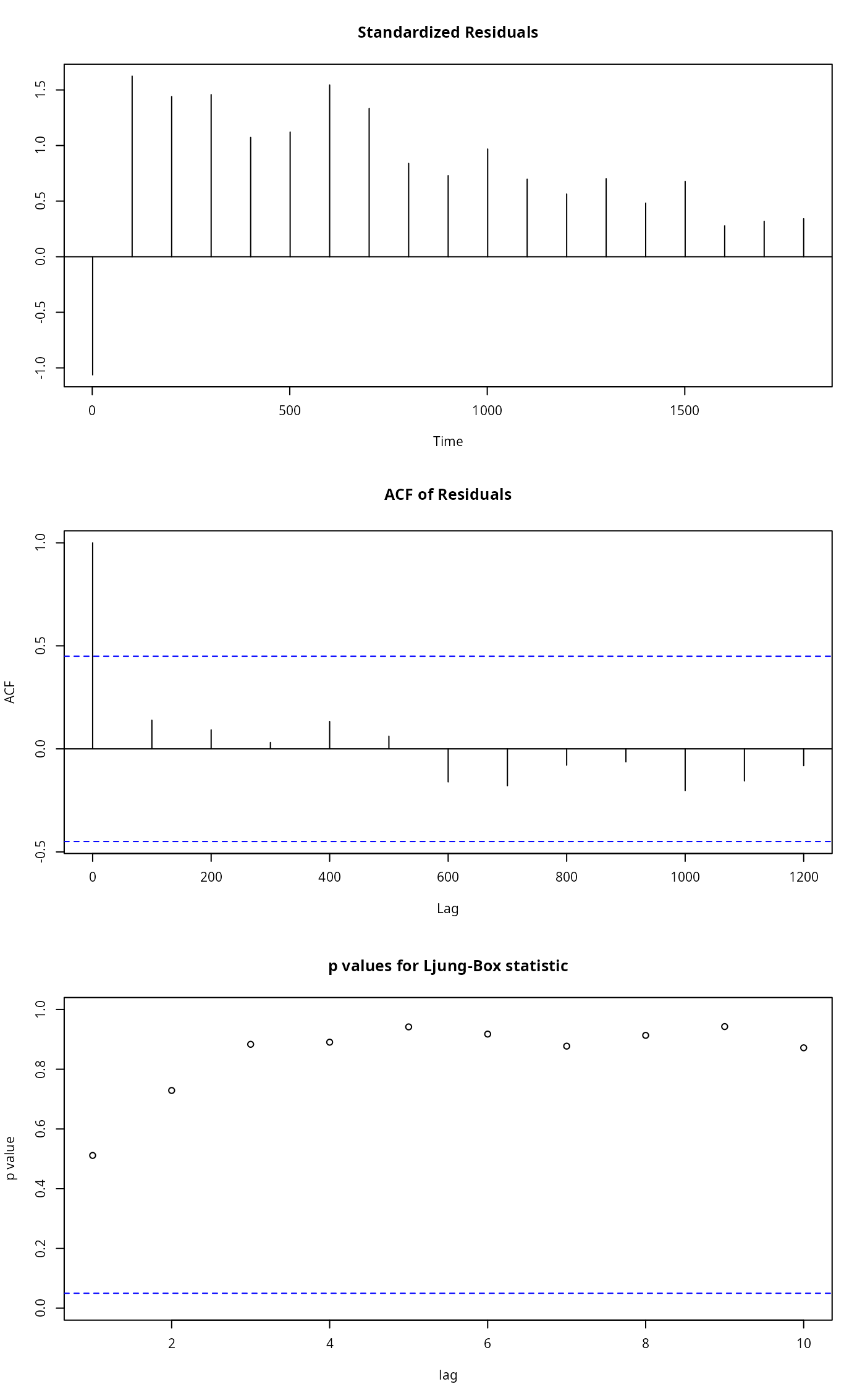
The as.ts method can be used to extract Bray-Curtis dissimilarities or Chi-squared values as time series. This can further used in testing independence (see Examples). The method toCoda is useful for accessing diagnostic tools available in the coda package.

Value

Functions permatfull and permatswap return an object of class "permat" containing the the function call (call), the original data matrix used for permutations (orig) and a list of permuted matrices with length times (perm).

The summary method returns various statistics as a list (including mean Bray-Curtis dissimilarities calculated pairwise among original and permuted matrices, Chi-square statistics, and check results of the constraints; see Examples). Note that when strata is used in the original call, summary calculation may take longer.

The plot creates a plot as a side effect.

The as.ts method returns an object of class "ts".

References

Original references for presence-absence algorithms are given on help page of make.commsim.

Hardy, O. J. (2008) Testing the spatial phylogenetic structure of local communities: statistical performances of different null models and test statistics on a locally neutral community. Journal of Ecology 96, 914–926.

Patefield, W. M. (1981) Algorithm AS159. An efficient method of generating r x c tables with given row and column totals. Applied Statistics 30, 91–97.

Author

Péter Sólymos, solymos@ualberta.ca and Jari Oksanen

See also

For other functions to permute matrices: make.commsim, r2dtable, sample.

For the use of these permutation algorithms: oecosimu, adipart, hiersimu.

For time-series diagnostics: Box.test, lag.plot, tsdiag, ar, arima

For underlying low level implementation: commsim and nullmodel.

Examples

## A simple artificial community data matrix.
m <- matrix(c(
    1,3,2,0,3,1,
    0,2,1,0,2,1,
    0,0,1,2,0,3,
    0,0,0,1,4,3
    ), 4, 6, byrow=TRUE)
## Using the quasiswap algorithm to create a 
## list of permuted matrices, where
## row/columns sums and matrix fill are preserved:
x1 <- permatswap(m, "quasiswap")
summary(x1)
#> Summary of object of class 'permat'
#> 
#> Call: permatswap(m = m, method = "quasiswap")
#> 
#> Matrix type: count 
#> Permutation type: swap
#> Method: quasiswap_count, burnin: 0, thin: 1
#> Restricted: FALSE 
#> Fixed margins: both
#> 
#> Matrix dimensions: 4 rows, 6 columns
#> Sum of original matrix: 30
#> Fill of original matrix: 0.62
#> Number of permuted matrices: 99 
#> 
#> Matrix sums retained: 100 %
#> Matrix fill retained: 100 %
#> Row sums retained:    100 %
#> Column sums retained: 100 %
#> Row incidences retained:    5.05 %
#> Column incidences retained: 11.11 %
#> 
#> Bray-Curtis dissimilarities among original and permuted matrices:
#>    Min. 1st Qu.  Median    Mean 3rd Qu.    Max. 
#>  0.2000  0.3333  0.4000  0.4027  0.4667  0.6000 
#> 
#> Chi-squared for original matrix: 18.55
#> Chi-squared values among expected and permuted matrices:
#>    Min. 1st Qu.  Median    Mean 3rd Qu.    Max. 
#>   15.75   19.04   21.17   21.44   23.43   29.19 
## Unrestricted permutation retaining
## row/columns sums but not matrix fill:
x2 <- permatfull(m)
summary(x2)
#> Summary of object of class 'permat'
#> 
#> Call: permatfull(m = m)
#> 
#> Matrix type: count 
#> Permutation type: full
#> Method: r2dtable
#> Restricted: FALSE 
#> Fixed margins: both
#> 
#> Matrix dimensions: 4 rows, 6 columns
#> Sum of original matrix: 30
#> Fill of original matrix: 0.62
#> Number of permuted matrices: 99 
#> 
#> Matrix sums retained: 100 %
#> Matrix fill retained: 12.12 %
#> Row sums retained:    100 %
#> Column sums retained: 100 %
#> Row incidences retained:    1.01 %
#> Column incidences retained: 0 %
#> 
#> Bray-Curtis dissimilarities among original and permuted matrices:
#>    Min. 1st Qu.  Median    Mean 3rd Qu.    Max. 
#>  0.2333  0.3333  0.4000  0.3919  0.4333  0.6000 
#> 
#> Chi-squared for original matrix: 18.55
#> Chi-squared values among expected and permuted matrices:
#>    Min. 1st Qu.  Median    Mean 3rd Qu.    Max. 
#>   9.003  12.193  14.586  15.420  18.217  26.153 
## Unrestricted permutation of presence-absence type
## not retaining row/columns sums:
x3 <- permatfull(m, "none", mtype="prab")
x3$orig  ## note: original matrix is binarized!
#>      [,1] [,2] [,3] [,4] [,5] [,6]
#> [1,]    1    1    1    0    1    1
#> [2,]    0    1    1    0    1    1
#> [3,]    0    0    1    1    0    1
#> [4,]    0    0    0    1    1    1
summary(x3)
#> Summary of object of class 'permat'
#> 
#> Call: permatfull(m = m, fixedmar = "none", mtype = "prab")
#> 
#> Matrix type: prab 
#> Permutation type: full
#> Method: r00
#> Restricted: FALSE 
#> Fixed margins: none
#> Individuals and samples are shuffled
#> 
#> Matrix dimensions: 4 rows, 6 columns
#> Sum of original matrix: 15
#> Fill of original matrix: 0.62
#> Number of permuted matrices: 99 
#> 
#> Matrix sums retained: 100 %
#> Matrix fill retained: 100 %
#> Row sums retained:    4.04 %
#> Column sums retained: 0 %
#> Row incidences retained:    4.04 %
#> Column incidences retained: 0 %
#> 
#> Bray-Curtis dissimilarities among original and permuted matrices:
#>    Min. 1st Qu.  Median    Mean 3rd Qu.    Max. 
#>  0.2000  0.3333  0.4000  0.3818  0.4000  0.5333 
#> 
#> Chi-squared for original matrix: 8.4
#> Chi-squared values among expected and permuted matrices:
#>    Min. 1st Qu.  Median    Mean 3rd Qu.    Max. 
#>   8.812  13.562  15.188  15.275  17.083  21.896 
## Restricted permutation,
## check sums within strata:
x4 <- permatfull(m, strata=c(1,1,2,2))
summary(x4)
#> Summary of object of class 'permat'
#> 
#> Call: permatfull(m = m, strata = c(1, 1, 2, 2))
#> 
#> Matrix type: count 
#> Permutation type: full
#> Method: r2dtable
#> Restricted: TRUE 
#> Fixed margins: both
#> 
#> Matrix dimensions: 4 rows, 6 columns
#> Sum of original matrix: 30
#> Fill of original matrix: 0.62
#> Number of permuted matrices: 99 
#> 
#> Matrix sums retained: 100 %
#> Matrix fill retained: 36.36 %
#> Row sums retained:    100 %
#> Column sums retained: 100 %
#> Row incidences retained:    0 %
#> Column incidences retained: 2.02 %
#> Sums within strata retained: 100 %
#> 
#> Bray-Curtis dissimilarities among original and permuted matrices:
#>    Min. 1st Qu.  Median    Mean 3rd Qu.    Max. 
#> 0.06667 0.20000 0.20000 0.23098 0.26667 0.40000 
#> 
#> Chi-squared for original matrix: 18.55
#> Chi-squared values among expected and permuted matrices:
#>    Min. 1st Qu.  Median    Mean 3rd Qu.    Max. 
#>   14.21   18.84   21.26   22.18   25.67   35.09 

## NOTE: 'times' argument usually needs to be >= 99
## here much lower value is used for demonstration

## Not sequential algorithm
data(BCI)
a <- permatswap(BCI, "quasiswap", times=19)
## Sequential algorithm
b <- permatswap(BCI, "abuswap", fixedmar="col",
    burnin=0, thin=100, times=19)
opar <- par(mfrow=c(2,2))
plot(a, main="Not sequential")
plot(b, main="Sequential")
plot(a, "chisq")
plot(b, "chisq")

par(opar)
## Extract Bray-Curtis dissimilarities
## as time series
bc <- as.ts(b)
## Lag plot
lag.plot(bc)

## First order autoregressive model
mar <- arima(bc, c(1,0,0))
mar
#> 
#> Call:
#> arima(x = bc, order = c(1, 0, 0))
#> 
#> Coefficients:
#>          ar1  intercept
#>       0.9914     0.1848
#> s.e.  0.0121     0.1387
#> 
#> sigma^2 estimated as 0.0003542:  log likelihood = 46.49,  aic = -86.98
## Ljung-Box test of residuals
Box.test(residuals(mar))
#> 
#> 	Box-Pierce test
#> 
#> data:  residuals(mar)
#> X-squared = 0.36966, df = 1, p-value = 0.5432
#> 
## Graphical diagnostics
tsdiag(mar)