Function linestack plots vertical one-dimensional plots for numeric vectors. The plots are always labelled, but the labels are moved vertically to avoid overwriting.

linestack(x, labels, cex = 0.8, side = "right", hoff = 2, air = 1.1,
          at = 0, add = FALSE, axis = FALSE, ...)

Arguments

x

Numeric vector to be plotted.

labels

Labels used instead of default (names of x). May be expressions to be drawn with plotmath.

cex

Size of the labels.

side

Put labels to the "right" or "left" of the axis.

hoff

Distance from the vertical axis to the label in units of the width of letter “m”.

air

Multiplier to string height to leave empty space between labels.

at

Position of plot in horizontal axis.

add

Add to an existing plot.

axis

Add axis to the plot.

...

Other graphical parameters to labels.

Value

The function returns invisibly the shifted positions of labels in user coordinates.

Author

Jari Oksanen with modifications by Gavin L. Simpson

Note

The function always draws labelled diagrams. If you want to have unlabelled diagrams, you can use, e.g., plot, stripchart or rug.

Examples

## First DCA axis
data(dune)
ord <- decorana(dune)
linestack(scores(ord, choices=1, display="sp"))
linestack(scores(ord, choices=1, display="si"), side="left", add=TRUE)
title(main="DCA axis 1")


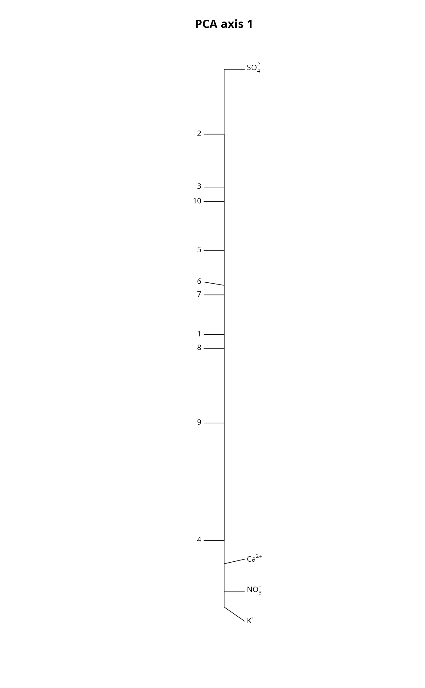
## Expressions as labels
N <- 10          # Number of sites
df <- data.frame(Ca = rlnorm(N, 2), NO3 = rlnorm(N, 4),
                 SO4 = rlnorm(N, 10), K = rlnorm(N, 3))
ord <- rda(df, scale = TRUE)
### vector of expressions for labels
labs <- expression(Ca^{2+phantom()},
                   NO[3]^{-phantom()},
                   SO[4]^{2-phantom()},
                   K^{+phantom()})
scl <- "sites"
linestack(scores(ord, choices = 1, display = "species", scaling = scl),
          labels = labs, air = 2)
linestack(scores(ord, choices = 1, display = "site", scaling = scl),
          side = "left", add = TRUE)
title(main = "PCA axis 1")