[Stable]

Convenient function for calculating the mean confidence interval. It calculates the arithmetic as well as the geometric mean. It can be used as a ggplot helper function for plotting.

stat_mean_ci(
  x,
  conf_level = 0.95,
  na.rm = TRUE,
  n_min = 2,
  gg_helper = TRUE,
  geom_mean = FALSE
)

Arguments

x

(numeric)
vector of numbers we want to analyze.

conf_level

(proportion)
confidence level of the interval.

na.rm

(flag)
whether NA values should be removed from x prior to analysis.

n_min

(numeric(1))
a minimum number of non-missing x to estimate the confidence interval for mean.

gg_helper

(flag)
whether output should be aligned for use with ggplots.

geom_mean

(flag)
whether the geometric mean should be calculated.

Value

A named vector of values mean_ci_lwr and mean_ci_upr.

Examples

stat_mean_ci(sample(10), gg_helper = FALSE)
#> mean_ci_lwr mean_ci_upr 
#>    3.334149    7.665851 

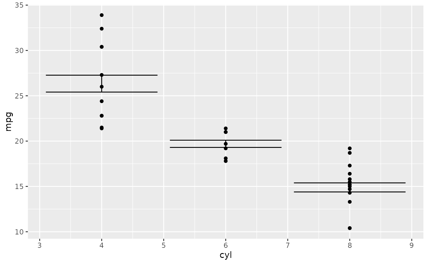
p <- ggplot2::ggplot(mtcars, ggplot2::aes(cyl, mpg)) +
  ggplot2::geom_point()

p + ggplot2::stat_summary(
  fun.data = stat_mean_ci,
  geom = "errorbar"
)


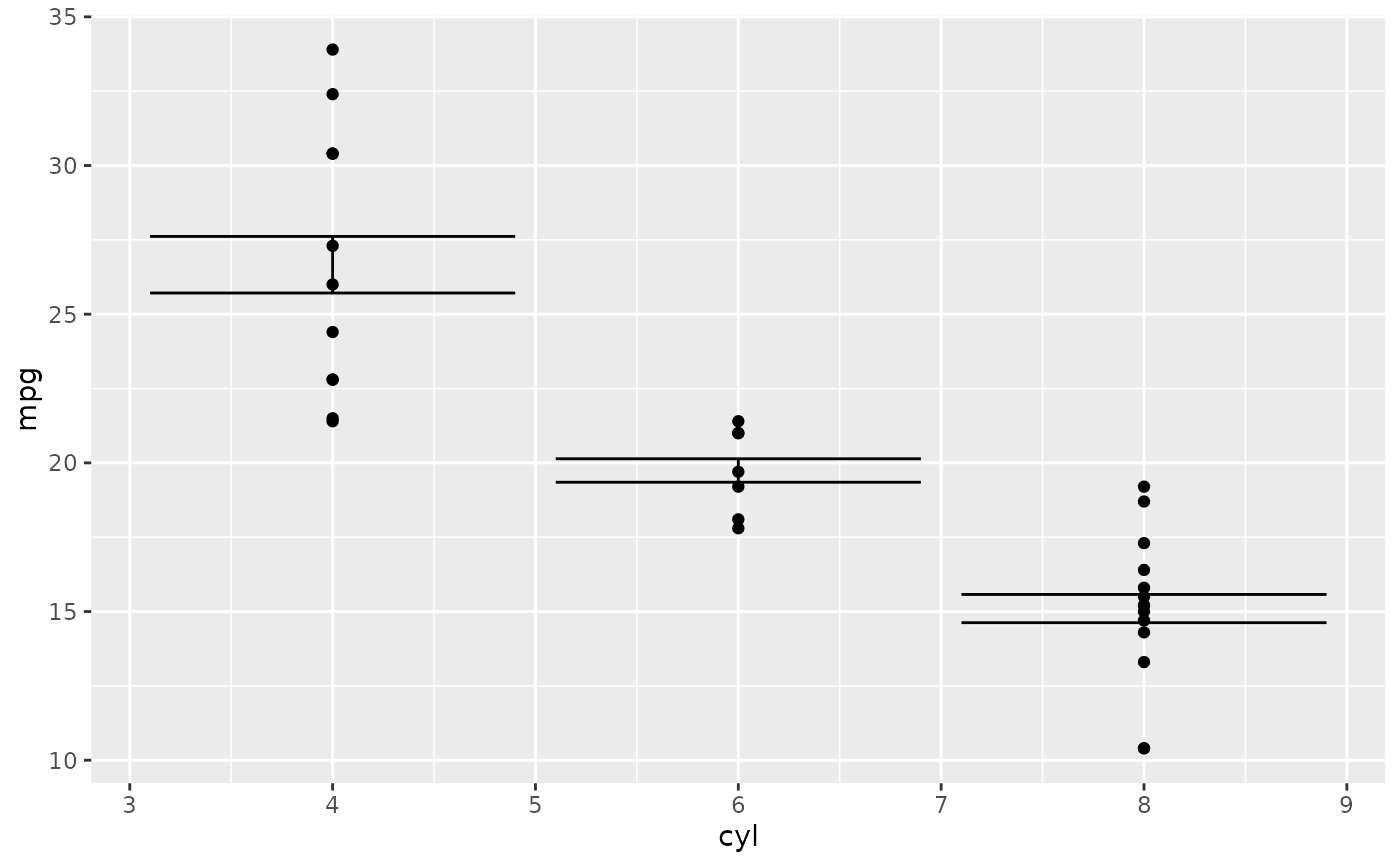
p + ggplot2::stat_summary(
  fun.data = stat_mean_ci,
  fun.args = list(conf_level = 0.5),
  geom = "errorbar"
)


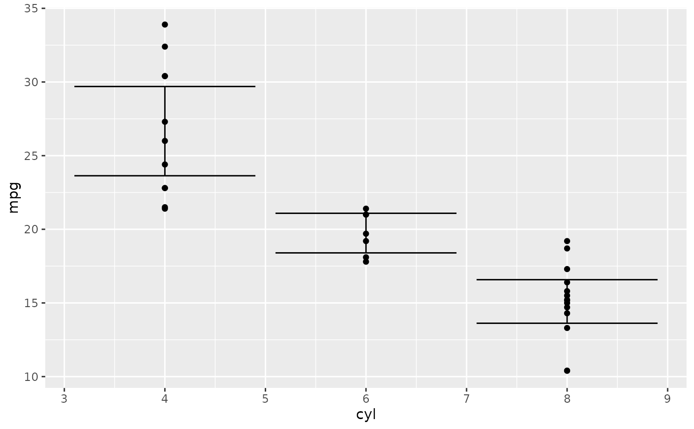
p + ggplot2::stat_summary(
  fun.data = stat_mean_ci,
  fun.args = list(conf_level = 0.5, geom_mean = TRUE),
  geom = "errorbar"
)