Take a list of survfit objects and produce a list of ggsurvplots.

ggsurvplot_list(
  fit,
  data,
  title = NULL,
  legend.labs = NULL,
  legend.title = "Strata",
  ...
)

Arguments

fit

a list of survfit objects.

data

data used to fit survival curves. Can be also a list of same length than fit.

title

title of the plot. Can be a character vector or a list of titles of same length than fit. If title is not specified and fit is a named list, then the names of fit list are used as title.

legend.labs

character vector specifying legend labels. Used to replace the names of the strata from the fit. Should be given in the same order as those strata. Can be a list when fit is a list.

legend.title

legend title for each plot. Can be a character vector or a list of titles of same length than fit.

...

other arguments passed to the core function ggsurvplot

Value

Returns a list of ggsurvplots.

See also

Examples


library(survival)

# Create a list of formulas
#:::::::::::::::::::::::::::::::::::::::::::::::::::::::
data(colon)
#> Warning: data set ‘colon’ not found
f1 <- survfit(Surv(time, status) ~ adhere, data = colon)
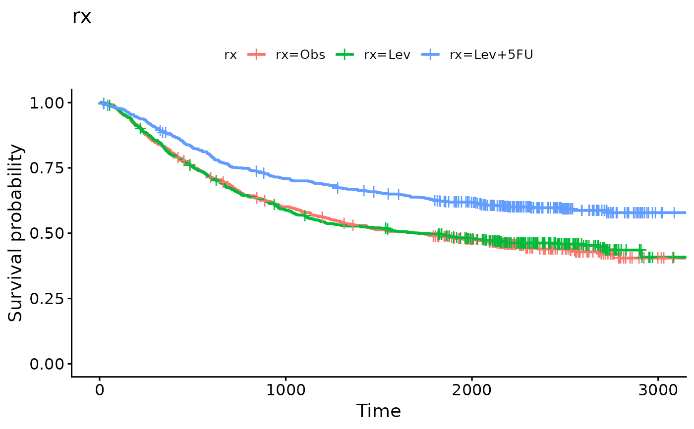
f2 <- survfit(Surv(time, status) ~ rx, data = colon)
fits <- list(sex = f1, rx = f2)

# Visualize
#:::::::::::::::::::::::::::::::::::::::::::::::::::::::
legend.title <- list("sex", "rx")
ggsurvplot_list(fits, colon, legend.title = legend.title)
#> $sex

#> 
#> $rx

#> 
#> attr(,"class")
#> [1] "list"            "ggsurvplot_list"