Take a list of survfit objects and produce a list of
ggsurvplots.
ggsurvplot_list(
fit,
data,
title = NULL,
legend.labs = NULL,
legend.title = "Strata",
...
)a list of survfit objects.
data used to fit survival curves. Can be also a list of same
length than fit.
title of the plot. Can be a character vector or a list of titles
of same length than fit. If title is not specified and
fit is a named list, then the names of fit list are used as title.
character vector specifying legend labels. Used to replace
the names of the strata from the fit. Should be given in the same order as
those strata. Can be a list when fit is a list.
legend title for each plot. Can be a character vector or a list of titles of same length than fit.
other arguments passed to the core function
ggsurvplot
Returns a list of ggsurvplots.
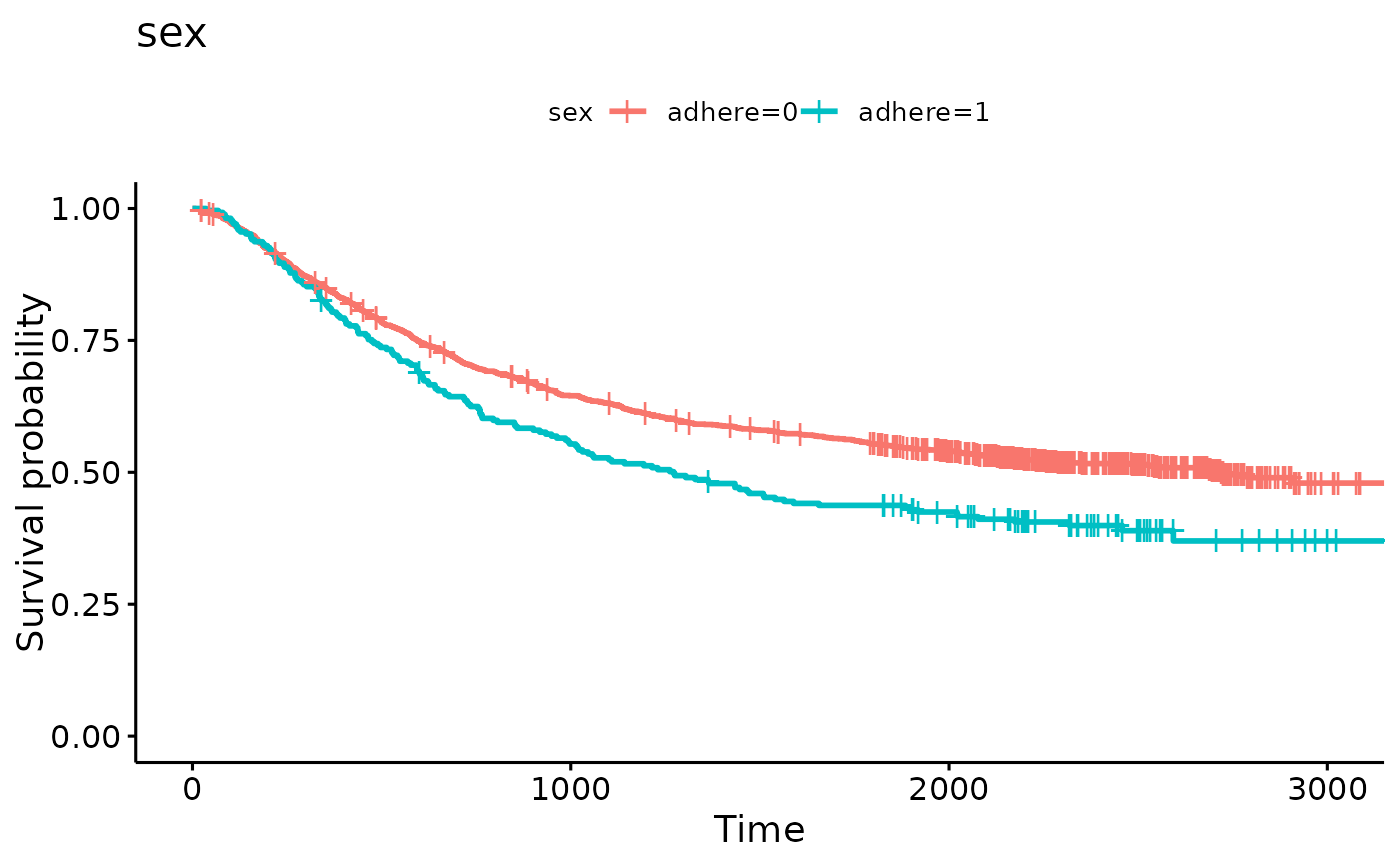
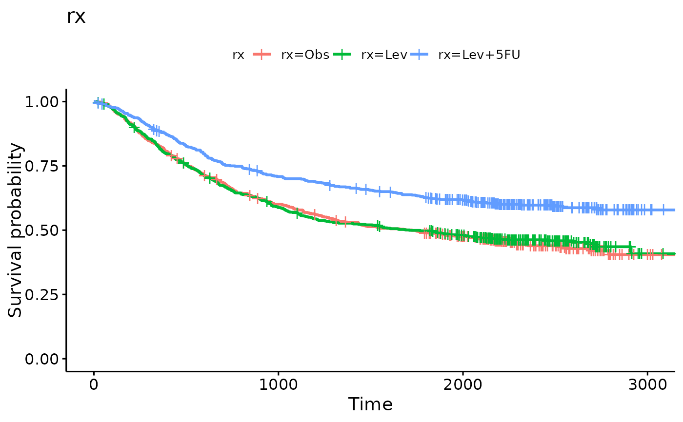
library(survival)
# Create a list of formulas
#:::::::::::::::::::::::::::::::::::::::::::::::::::::::
data(colon)
#> Warning: data set ‘colon’ not found
f1 <- survfit(Surv(time, status) ~ adhere, data = colon)
f2 <- survfit(Surv(time, status) ~ rx, data = colon)
fits <- list(sex = f1, rx = f2)
# Visualize
#:::::::::::::::::::::::::::::::::::::::::::::::::::::::
legend.title <- list("sex", "rx")
ggsurvplot_list(fits, colon, legend.title = legend.title)
#> $sex
#>
#> $rx
#>
#> attr(,"class")
#> [1] "list" "ggsurvplot_list"