glmrob is used to fit generalized linear models by robust methods. The models are specified by giving a symbolic description of the linear predictor and a description of the error distribution. Currently, robust methods are implemented for family = binomial, = poisson, = Gamma and = gaussian.

glmrob(formula, family, data, weights, subset, na.action,
       start = NULL, offset, method = c("Mqle", "BY", "WBY", "MT"),
       weights.on.x = c("none", "hat", "robCov", "covMcd"), control = NULL,
       model = TRUE, x = FALSE, y = TRUE, contrasts = NULL, trace.lev = 0, ...)

Arguments

formula

a formula, i.e., a symbolic description of the model to be fit (cf. glm or lm).

family

a description of the error distribution and link function to be used in the model. This can be a character string naming a family function, a family function or the result of a call to a family function. (See family for details of family functions.)

data

an optional data frame containing the variables in the model. If not found in data, the variables are taken from environment(formula), typically the environment from which glmrob is called.

weights

an optional vector of weights to be used in the fitting process.

subset

an optional vector specifying a subset of observations to be used in the fitting process.

na.action

a function which indicates what should happen when the data contain NAs. The default is set by the na.action setting in options. The “factory-fresh” default is na.omit.

start

starting values for the parameters in the linear predictor. Note that specifying start has somewhat different meaning for the different methods. Notably, for "MT", this skips the expensive computation of initial estimates via sub samples, but needs to be robust itself.

offset

this can be used to specify an a priori known component to be included in the linear predictor during fitting.

method

a character string specifying the robust fitting method. The details of method specification are given below.

weights.on.x

a character string (can be abbreviated), a function or list (see below), or a numeric vector of length n, specifying how points (potential outliers) in x-space are downweighted. If "hat", weights on the design of the form \(\sqrt{1-h_{ii}}\) are used, where \(h_{ii}\) are the diagonal elements of the hat matrix. If "robCov", weights based on the robust Mahalanobis distance of the design matrix (intercept excluded) are used where the covariance matrix and the centre is estimated by cov.rob from the package MASS.
Similarly, if "covMcd", robust weights are computed using covMcd. The default is "none".

If weights.on.x is a function, it is called with arguments (X, intercept) and must return an n-vector of non-negative weights.

If it is a list, it must be of length one, and as element contain a function much like covMcd() or cov.rob() (package MASS), which computes multivariate location and “scatter” of a data matrix X.

control

a list of parameters for controlling the fitting process. See the documentation for glmrobMqle.control for details.

model

a logical value indicating whether model frame should be included as a component of the returned value.

x, y

logical values indicating whether the response vector and model matrix used in the fitting process should be returned as components of the returned value.

contrasts

an optional list. See the contrasts.arg of model.matrix.default.

trace.lev

logical (or integer) indicating if intermediate results should be printed; defaults to 0 (the same as FALSE).

...

arguments passed to glmrobMqle.control when control is NULL (as per default).

Details

method="model.frame" returns the model.frame(), the same as glm().
method="Mqle" fits a generalized linear model using Mallows or Huber type robust estimators, as described in Cantoni and Ronchetti (2001) and Cantoni and Ronchetti (2006). In contrast to the implementation described in Cantoni (2004), the pure influence algorithm is implemented.
method="WBY" and method="BY", available for logistic regression (family = binomial) only, call BYlogreg(*, initwml= . ) for the (weighted) Bianco-Yohai estimator, where initwml is true for "WBY", and false for "BY".
method="MT", currently only implemented for family = poisson, computes an “[M]-Estimator based on [T]ransformation”, by Valdora and Yohai (2013), via (hidden internal) glmrobMT(); as that uses sample(), from R version 3.6.0 it depends on RNGkind(*, sample.kind). Exact reproducibility of results from R versions 3.5.3 and earlier, requires setting RNGversion("3.5.0").

weights.on.x= "robCov" makes sense if all explanatory variables are continuous.

In the cases,where weights.on.x is "covMcd" or "robCov", or list with a “robCov” function, the mahalanobis distances D^2 are computed with respect to the covariance (location and scatter) estimate, and the weights are 1/sqrt(1+ pmax.int(0, 8*(D2 - p)/sqrt(2*p))), where D2 = D^2 and p = ncol(X).

Value

glmrob returns an object of class "glmrob" and is also inheriting from glm.
The summary method, see summary.glmrob, can be used to obtain or print a summary of the results.
The generic accessor functions coefficients, effects, fitted.values and residuals (see residuals.glmrob) can be used to extract various useful features of the value returned by glmrob().

An object of class "glmrob" is a list with at least the following components:

coefficients

a named vector of coefficients

residuals

the working residuals, that is the (robustly “huberized”) residuals in the final iteration of the IWLS fit.

fitted.values

the fitted mean values, obtained by transforming the linear predictors by the inverse of the link function.

w.r

robustness weights for each observations; i.e., residuals \(\times\) w.r equals the psi-function of the Preason's residuals.

w.x

weights used to down-weight observations based on the position of the observation in the design space.

dispersion

robust estimation of dispersion paramter if appropriate

cov

the estimated asymptotic covariance matrix of the estimated coefficients.

tcc

the tuning constant c in Huber's psi-function.

family

the family object used.

linear.predictors

the linear fit on link scale.

deviance

NULL; Exists because of compatipility reasons.

iter

the number of iterations used by the influence algorithm.

converged

logical. Was the IWLS algorithm judged to have converged?

call

the matched call.

formula

the formula supplied.

terms

the terms object used.

data

the data argument.

offset

the offset vector used.

control

the value of the control argument used.

method

the name of the robust fitter function used.

contrasts

(where relevant) the contrasts used.

xlevels

(where relevant) a record of the levels of the factors used in fitting.

References

Eva Cantoni and Elvezio Ronchetti (2001) Robust Inference for Generalized Linear Models. JASA 96 (455), 1022–1030.

Eva Cantoni (2004) Analysis of Robust Quasi-deviances for Generalized Linear Models. Journal of Statistical Software, 10, https://www.jstatsoft.org/article/view/v010i04 Eva Cantoni and Elvezio Ronchetti (2006) A robust approach for skewed and heavy-tailed outcomes in the analysis of health care expenditures. Journal of Health Economics 25, 198–213.

S. Heritier, E. Cantoni, S. Copt, M.-P. Victoria-Feser (2009) Robust Methods in Biostatistics. Wiley Series in Probability and Statistics.

Marina Valdora and Víctor J. Yohai (2013) Robust estimators for Generalized Linear Models. In progress.

Author

Andreas Ruckstuhl ("Mqle") and Martin Maechler

See also

Examples

## Binomial response --------------
data(carrots)

Cfit1 <- glm(cbind(success, total-success) ~ logdose + block,
             data = carrots, family = binomial)
summary(Cfit1)
#> 
#> Call:
#> glm(formula = cbind(success, total - success) ~ logdose + block, 
#>     family = binomial, data = carrots)
#> 
#> Coefficients:
#>             Estimate Std. Error z value Pr(>|z|)    
#> (Intercept)   2.0226     0.6501   3.111  0.00186 ** 
#> logdose      -1.8174     0.3439  -5.285 1.26e-07 ***
#> blockB2       0.3009     0.1991   1.511  0.13073    
#> blockB3      -0.5424     0.2318  -2.340  0.01929 *  
#> ---
#> Signif. codes:  0 ‘***’ 0.001 ‘**’ 0.01 ‘*’ 0.05 ‘.’ 0.1 ‘ ’ 1
#> 
#> (Dispersion parameter for binomial family taken to be 1)
#> 
#>     Null deviance: 83.344  on 23  degrees of freedom
#> Residual deviance: 39.976  on 20  degrees of freedom
#> AIC: 128.61
#> 
#> Number of Fisher Scoring iterations: 4
#> 

Rfit1 <- glmrob(cbind(success, total-success) ~ logdose + block,
                family = binomial, data = carrots, method= "Mqle",
                control= glmrobMqle.control(tcc=1.2))
summary(Rfit1)
#> 
#> Call:  glmrob(formula = cbind(success, total - success) ~ logdose +      block, family = binomial, data = carrots, method = "Mqle",      control = glmrobMqle.control(tcc = 1.2)) 
#> 
#> 
#> Coefficients:
#>             Estimate Std. Error z value Pr(>|z|)    
#> (Intercept)   2.3883     0.6923   3.450 0.000561 ***
#> logdose      -2.0491     0.3685  -5.561 2.68e-08 ***
#> blockB2       0.2351     0.2122   1.108 0.267828    
#> blockB3      -0.4496     0.2409  -1.866 0.061989 .  
#> ---
#> Signif. codes:  0 ‘***’ 0.001 ‘**’ 0.01 ‘*’ 0.05 ‘.’ 0.1 ‘ ’ 1
#> Robustness weights w.r * w.x: 
#>  15 weights are ~= 1. The remaining 9 ones are
#>      2      5      6      7     13     14     21     22     23 
#> 0.7756 0.7026 0.6751 0.9295 0.8536 0.2626 0.8337 0.9051 0.9009 
#> 
#> Number of observations: 24 
#> Fitted by method ‘Mqle’  (in 9 iterations)
#> 
#> (Dispersion parameter for binomial family taken to be 1)
#> 
#> No deviance values available 
#> Algorithmic parameters: 
#>    acc    tcc 
#> 0.0001 1.2000 
#> maxit 
#>    50 
#> test.acc 
#>   "coef" 
#> 

Rfit2 <- glmrob(success/total ~ logdose + block, weights = total,
                family = binomial, data = carrots, method= "Mqle",
                control= glmrobMqle.control(tcc=1.2))
coef(Rfit2)  ## The same as Rfit1
#> (Intercept)     logdose     blockB2     blockB3 
#>   2.3882515  -2.0491078   0.2351038  -0.4496314 


## Binary response --------------
data(vaso)

Vfit1 <- glm(Y ~ log(Volume) + log(Rate), family=binomial, data=vaso)
coef(Vfit1)
#> (Intercept) log(Volume)   log(Rate) 
#>   -2.875422    5.179324    4.561675 

Vfit2 <- glmrob(Y ~ log(Volume) + log(Rate), family=binomial, data=vaso,
                method="Mqle", control = glmrobMqle.control(tcc=3.5))
coef(Vfit2) # c = 3.5 ==> not much different from classical
#> (Intercept) log(Volume)   log(Rate) 
#>   -2.753375    4.973897    4.388113 
## Note the problems with  tcc <= 3 %% FIXME algorithm ???

Vfit3 <- glmrob(Y ~ log(Volume) + log(Rate), family=binomial, data=vaso,
                method= "BY")
#> Convergence Achieved
coef(Vfit3)## note that results differ much.
#> (Intercept) log(Volume)   log(Rate) 
#>   -6.851509   10.734325    9.364316 
## That's not unreasonable however, see Kuensch et al.(1989), p.465

## Poisson response --------------
data(epilepsy)

Efit1 <- glm(Ysum ~ Age10 + Base4*Trt, family=poisson, data=epilepsy)
summary(Efit1)
#> 
#> Call:
#> glm(formula = Ysum ~ Age10 + Base4 * Trt, family = poisson, data = epilepsy)
#> 
#> Coefficients:
#>                     Estimate Std. Error z value Pr(>|z|)    
#> (Intercept)         1.968014   0.135929  14.478  < 2e-16 ***
#> Age10               0.243490   0.041297   5.896 3.72e-09 ***
#> Base4               0.085426   0.003666  23.305  < 2e-16 ***
#> Trtprogabide       -0.255257   0.076525  -3.336 0.000851 ***
#> Base4:Trtprogabide  0.007534   0.004409   1.709 0.087475 .  
#> ---
#> Signif. codes:  0 ‘***’ 0.001 ‘**’ 0.01 ‘*’ 0.05 ‘.’ 0.1 ‘ ’ 1
#> 
#> (Dispersion parameter for poisson family taken to be 1)
#> 
#>     Null deviance: 2122.73  on 58  degrees of freedom
#> Residual deviance:  556.51  on 54  degrees of freedom
#> AIC: 849.78
#> 
#> Number of Fisher Scoring iterations: 5
#> 

Efit2 <- glmrob(Ysum ~ Age10 + Base4*Trt, family = poisson,
                data = epilepsy, method= "Mqle",
                control = glmrobMqle.control(tcc= 1.2))
summary(Efit2)
#> 
#> Call:  glmrob(formula = Ysum ~ Age10 + Base4 * Trt, family = poisson,      data = epilepsy, method = "Mqle", control = glmrobMqle.control(tcc = 1.2)) 
#> 
#> 
#> Coefficients:
#>                     Estimate Std. Error z value Pr(>|z|)    
#> (Intercept)         2.036768   0.154168  13.211  < 2e-16 ***
#> Age10               0.158434   0.047444   3.339 0.000840 ***
#> Base4               0.085132   0.004174  20.395  < 2e-16 ***
#> Trtprogabide       -0.323886   0.087421  -3.705 0.000211 ***
#> Base4:Trtprogabide  0.011842   0.004967   2.384 0.017124 *  
#> ---
#> Signif. codes:  0 ‘***’ 0.001 ‘**’ 0.01 ‘*’ 0.05 ‘.’ 0.1 ‘ ’ 1
#> Robustness weights w.r * w.x: 
#>  26 weights are ~= 1. The remaining 33 ones are summarized as
#>    Min. 1st Qu.  Median    Mean 3rd Qu.    Max. 
#> 0.07328 0.30750 0.50730 0.49220 0.68940 0.97240 
#> 
#> Number of observations: 59 
#> Fitted by method ‘Mqle’  (in 14 iterations)
#> 
#> (Dispersion parameter for poisson family taken to be 1)
#> 
#> No deviance values available 
#> Algorithmic parameters: 
#>    acc    tcc 
#> 0.0001 1.2000 
#> maxit 
#>    50 
#> test.acc 
#>   "coef" 
#> 

## 'x' weighting:
(Efit3 <- glmrob(Ysum ~ Age10 + Base4*Trt, family = poisson,
            data = epilepsy, method= "Mqle", weights.on.x = "hat",
     control = glmrobMqle.control(tcc= 1.2)))
#> 
#> Call:  glmrob(formula = Ysum ~ Age10 + Base4 * Trt, family = poisson,      data = epilepsy, method = "Mqle", weights.on.x = "hat", control = glmrobMqle.control(tcc = 1.2)) 
#> 
#> Coefficients:
#>        (Intercept)               Age10               Base4        Trtprogabide  
#>          1.8712949           0.1898471           0.1014575          -0.2713479  
#> Base4:Trtprogabide  
#>          0.0007315  
#> 
#> Number of observations: 59 
#> Fitted by method  ‘Mqle’ 

try( # gives singular cov matrix: 'Trt' is binary factor -->
     # affine equivariance and subsampling are problematic
Efit4 <- glmrob(Ysum ~ Age10 + Base4*Trt, family = poisson,
                data = epilepsy, method= "Mqle", weights.on.x = "covMcd",
                control = glmrobMqle.control(tcc=1.2, maxit=100))
)
#> Warning: The covariance matrix has become singular during
#> the iterations of the MCD algorithm.
#> There are 33 observations (in the entire dataset of 59 obs.) lying on
#> the hyperplane with equation a_1*(x_i1 - m_1) + ... + a_p*(x_ip - m_p)
#> = 0 with (m_1, ..., m_p) the mean of these observations and
#> coefficients a_i from the vector a <- c(0, -0.3015113, -0.904534,
#> 0.3015113)
#> Error in solve.default(cov, ...) : 
#>   system is computationally singular: reciprocal condition number = 5.351e-18

##--> See  example(possumDiv)  for another  Poisson-regression


### -------- Gamma family -- data from example(glm) ---

clotting <- data.frame(
            u = c(5,10,15,20,30,40,60,80,100),
         lot1 = c(118,58,42,35,27,25,21,19,18),
         lot2 = c(69,35,26,21,18,16,13,12,12))
summary(cl <- glm   (lot1 ~ log(u), data=clotting, family=Gamma))
#> 
#> Call:
#> glm(formula = lot1 ~ log(u), family = Gamma, data = clotting)
#> 
#> Coefficients:
#>               Estimate Std. Error t value Pr(>|t|)    
#> (Intercept) -0.0165544  0.0009275  -17.85 4.28e-07 ***
#> log(u)       0.0153431  0.0004150   36.98 2.75e-09 ***
#> ---
#> Signif. codes:  0 ‘***’ 0.001 ‘**’ 0.01 ‘*’ 0.05 ‘.’ 0.1 ‘ ’ 1
#> 
#> (Dispersion parameter for Gamma family taken to be 0.002446059)
#> 
#>     Null deviance: 3.51283  on 8  degrees of freedom
#> Residual deviance: 0.01673  on 7  degrees of freedom
#> AIC: 37.99
#> 
#> Number of Fisher Scoring iterations: 3
#> 
summary(ro <- glmrob(lot1 ~ log(u), data=clotting, family=Gamma))
#> 
#> Call:  glmrob(formula = lot1 ~ log(u), family = Gamma, data = clotting) 
#> 
#> 
#> Coefficients:
#>               Estimate Std. Error z value Pr(>|z|)    
#> (Intercept) -0.0165260  0.0008369  -19.75   <2e-16 ***
#> log(u)       0.0153664  0.0003738   41.11   <2e-16 ***
#> ---
#> Signif. codes:  0 ‘***’ 0.001 ‘**’ 0.01 ‘*’ 0.05 ‘.’ 0.1 ‘ ’ 1
#> Robustness weights w.r * w.x: 
#> [1] 1.0000 0.6208 1.0000 1.0000 1.0000 1.0000 1.0000 1.0000 1.0000
#> 
#> Number of observations: 9 
#> Fitted by method ‘Mqle’  (in 3 iterations)
#> 
#> (Dispersion parameter for Gamma family taken to be 0.001869399)
#> 
#> No deviance values available 
#> Algorithmic parameters: 
#>    acc    tcc 
#> 0.0001 1.3450 
#> maxit 
#>    50 
#> test.acc 
#>   "coef" 
#> 

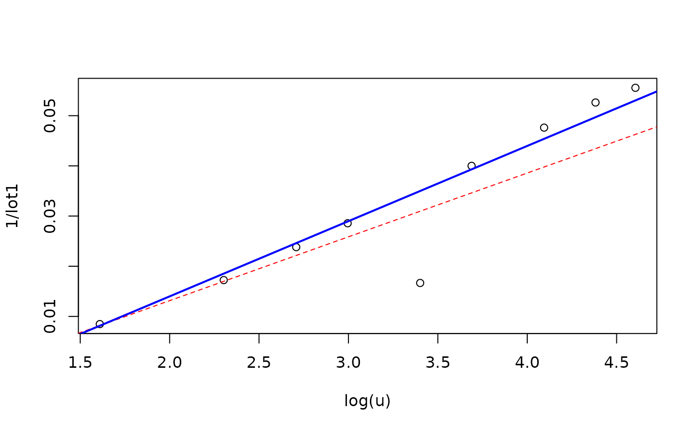
clotM5.high <- within(clotting, { lot1[5] <- 60 })
op <- par(mfrow=2:1, mgp = c(1.6, 0.8, 0), mar = c(3,3:1))
plot( lot1  ~ log(u), data=clotM5.high)
plot(1/lot1 ~ log(u), data=clotM5.high)

par(op)
## Obviously, there the first observation is an outlier with respect to both
## representations!

cl5.high <- glm   (lot1 ~ log(u), data=clotM5.high, family=Gamma)
ro5.high <- glmrob(lot1 ~ log(u), data=clotM5.high, family=Gamma)
with(ro5.high, cbind(w.x, w.r))## the 5th obs. is downweighted heavily!
#>       w.x        w.r
#>  [1,]   1 1.00000000
#>  [2,]   1 1.00000000
#>  [3,]   1 1.00000000
#>  [4,]   1 1.00000000
#>  [5,]   1 0.07239104
#>  [6,]   1 1.00000000
#>  [7,]   1 1.00000000
#>  [8,]   1 1.00000000
#>  [9,]   1 1.00000000

plot(1/lot1 ~ log(u), data=clotM5.high)
abline(cl5.high, lty=2, col="red")
abline(ro5.high, lwd=2, col="blue") ## result is ok (but not "perfect")