The function calculates the distance from a set of points to all cells of a Raster* object.

The distance unit is in meters if the coordinate reference system (crs) of the Raster* object is (+proj=longlat) or assumed to be if the crs is NA. In all other cases it is in the units defined by the crs (which typically is meters).

distanceFromPoints(object, xy, filename='', ...)

Arguments

object

Raster object

xy

matrix of x and y coordinates, or a SpatialPoints* object.

filename

character. Optional filename for the output RasterLayer

...

Additional arguments as for writeRaster

Details

Distances for longlat data are computed on the WGS84 spheroid using GeographicLib (Karney, 2013)

References

C.F.F. Karney, 2013. Algorithms for geodesics, J. Geodesy 87: 43-55. doi:10.1007/s00190-012-0578-z .

Value

RasterLayer

Examples

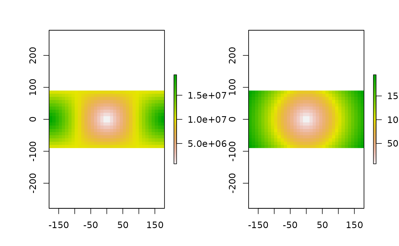
r <- raster(ncol=36,nrow=18)
xy <- c(0,0)
d1 <- distanceFromPoints(r, xy) 
crs(r) = '+proj=utm +zone=12 +datum=WGS84'
d2 <- distanceFromPoints(r, xy) 
par(mfrow=c(1,2))
plot(d1)
plot(d2)